«上一篇
文章快速检索     高级检索
下一篇»
  雷达学报  2017, Vol. 6 Issue (1): 106-113  DOI: 10.12000/JR16082
0

引用本文  

魏民, 李小波, 王理. 减小距离模糊影响的机载双基地雷达配置方法[J]. 雷达学报, 2017, 6(1): 106-113. DOI: 10.12000/JR16082.
Wei Min, Li Xiaobo, Wang Li. A method for reducing the impact of range ambiguity[J]. Journal of Radars, 2017, 6(1): 106-113. DOI: 10.12000/JR16082.

基金项目

国家自然科学基金(61272333),安徽省自然科学基金(1308085QF99)

通信作者

魏民13215608602@163.com

作者简介

魏民 (1993-), 男, 硕士生, 研究方向为雷达信号处理、STAP信号处理;
李小波 (1970-), 男, 副教授, 硕士生导师, 研究方向为雷达信号处理、高速信号处理;
王理 (1985-), 男, 工程师, 研究方向为雷达信号处理、通信信号处理

文章历史

收稿日期:2016-07-01
改回日期:2016-08-20
网络出版:2016-09-19
减小距离模糊影响的机载双基地雷达配置方法
魏民, 李小波, 王理    
(电子工程学院502室 合肥 230037)
(95865部队 北京 102218)
摘要:该文针对距离模糊情况下机载双基地雷达杂波抑制难题,提出一种利用几何配置减轻距离模糊影响的方法。首先,利用任意双基配置下的杂波模型来分析距离模糊的影响;其次,建立机载双基地雷达杂波等距离环模型,分析几何配置与距离模糊的关系;最后,求解最大不模糊脉冲重复频率。仿真结果表明:距离模糊使得机载双基STAP杂波抑制性能严重下降;选择合适的双基配置能够有效减轻距离模糊的影响。仿真实验验证了所提方法的有效性
关键词机载双基地雷达    空时自适应处理 (STAP)    距离模糊    杂波抑制    
A Method for Reducing the Impact of Range Ambiguity
Wei Min, Li Xiaobo, Wang Li    
(502 Laboratory of Electronic Engineering Institution, Hefei 230037, China)
(95865 Army, Beijing 102218, China)
Foundation Item: The National Natural Science Foundation of China (61272333), Natural Science Foundation of Anhui Province (1308085QF99)
Abstract: In this paper, we study the clutter suppression problem of an airborne bistatic radar with range ambiguity and propose a novel method to reduce the impact of range ambiguity using geometric configuration. First, a clutter model, under any bistatic configuration is used to analyze the impact of range ambiguity. Second, a clutter equal-distance ring model of the airborne bistatic radar is established, and the relation between the geometric configuration and range ambiguity is analyzed. Third, the maximum pulse repetition frequency required to avoid range ambiguity is calculated. Simulation results show that the clutter suppression performance of an airborne bistatic STAP is greatly diminished with range ambiguity; however, this impact can effectively be reduced by selecting the appropriate radar configuration. Finally, simulation is performed to validate tests its validity.
Key words: Airborne bistatic radar    Space-Time Adaptive Processing (STAP)    Range ambiguity    Clutter suppression    
1 引言

空时自适应处理 (Space-Time Adaptive Processing, STAP) 利用杂波的空时耦合特性,在空时2维域联合滤波,大大提高了雷达在强杂波背景下检测目标的能力[1]。双基地雷达由于在“四抗”方面的潜在优势得到快速发展和广泛的应用,将STAP技术应用于机载双基地雷达已成为研究热门。机载双基地雷达杂波呈现严重的距离依赖性,这使得STAP杂波抑制性能严重下降,如果考虑距离模糊的影响,杂波抑制将变得更加困难。

为减轻杂波距离依赖对机载双基地STAP性能的影响,国内外学者提出了很多解决方法[2-6],主要分为1维补偿类、2维补偿类、权值调整类、协方差矩阵预测类和空时内插类方法。上述方法能够减轻杂波距离依赖对STAP杂波抑制性能的影响,但都假设雷达回波不存在距离模糊,而大多数脉冲多普勒雷达并不满足这个条件,文献[7]的研究表明距离模糊会使上述方法的性能下降。基于此,文献[8-11]提出了解决距离模糊影响的方法,比如对各次模糊距离的主杂波分别做角度多普勒补偿的方法等,这些方法可以在一定程度上减轻距离模糊的影响,不足是并没有减少模糊距离环的个数。文献[12]提出了减轻距离模糊影响的空天双基地几何配置方法,通过合理的几何配置可以减少距离模糊环的个数,但并不适用于机载双基地雷达。

鉴于此,本文通过研究机载双基地雷达杂波模型以及几何配置与距离模糊的关系,提出了减轻距离模糊影响的机载双基地雷达几何配置方法,本文方法结合已有的距离模糊解决方法,可以达到更好的效果。

2 机载双基地雷达杂波模型

图 1所示为机载双基地雷达的几何模型,T代表发射机,速度和高度分别为vtHt, R为接收机,速度和高度分别为vrHr,双基地基线长度为DTR, P为杂波散射点,RtRr为发射机和接收机到杂波点的距离,双基地探测距离和为L,天线均为线性均匀正侧视面阵,θtθr为发射机和接收机天线波束指向相对于y轴的方位角,φtφr为发射机和接收机相对于散射点的俯仰角,δtδr为发射机和接收机飞行方向相对于y轴的方位角,ψtψr分别为发射空间锥角和接收空间锥角。

图 1 机载双基地雷达几何模型 Fig.1 Geometric model of airborne bistatic radar

机载双基地雷达的杂波多普勒频率表示为:

$ {{f}_{\text{d}}}=\frac{{{v}_{\text{t}}}}{\lambda }\cos {{\psi }_{\text{t}}}+\frac{{{v}_{\text{r}}}}{\lambda }\cos {{\psi }_{\text{r}}} $ (1)

图 1的几何模型,结合式 (1) 可以得到任意几何配置和飞行方向下,杂波多普勒频率fd关于参变量θr的依赖于ψrL两个变量的函数表达式如式 (2)[11]

$ \begin{align} & {{f}_{\text{d}}}=\frac{{{v}_{\text{r}}}}{\text{ }\lambda \text{ }{{R}_{\text{r}}}}\cos {{\theta }_{\text{r}}}\sqrt{R_{\text{r}}^{2}-H_{\text{r}}^{2}} \\ & \ \ \ \ \ \ \ \ \ +\frac{{{v}_{\text{t}}}}{\text{ }\lambda \text{ }(L-{{R}_{\text{r}}})}\left\{ \cos {{\theta }_{\text{r}}}\sqrt{R_{\text{r}}^{2}-H_{\text{r}}^{2}} \right. \\ & \ \ \ \ \ \ \ \ -\left. \sqrt{D_{\text{TR}}^{2}-{{({{H}_{\text{t}}}-{{H}_{\text{r}}})}^{2}}} \right\} \\ \end{align} $ (2)

其中,Rr可以表示为:

$ \left. \begin{array}{*{35}{l}} {{R}_{\text{r}}}=\frac{-b\pm \sqrt{{{b}^{2}}-4ac}}{2a} \\ a=4{{L}^{2}}-4\left( D_{\text{TR}}^{2}-{{({{H}_{\text{t}}}-{{H}_{\text{r}}})}^{2}} \right){{\cos }^{2}}{{\theta }_{\text{r}}} \\ b=4L\left( D_{\text{TR}}^{2}+2{{H}_{\text{t}}}{{H}_{\text{r}}}-2H_{\text{r}}^{2}-{{L}^{2}} \right) \\ c={{\left( D_{\text{TR}}^{2}+2{{H}_{\text{t}}}{{H}_{\text{r}}}-2H_{\text{r}}^{2}-{{L}^{2}} \right)}^{2}} \\ \quad \quad +4(D_{\text{TR}}^{2}-{{({{H}_{\text{t}}}-{{H}_{\text{r}}})}^{2}})H_{\text{r}}^{2}{{\cos }^{2}}{{\theta }_{\text{r}}} \\ \end{array} \right\} $ (3)

由上述分析可知,机载双基地雷达的杂波呈现严重的距离依赖性,这导致STAP杂波抑制性能下降。第4节仿真实验中,采用文献[5]方法补偿杂波多普勒距离相关,通过分析存在距离模糊和不存在距离模糊两种情况,说明距离模糊对STAP杂波抑制性能的影响。

3 最优几何配置的求解 3.1 等距离环的求解

机载单机地雷达的等距离环是一系列同心圆,而机载双基地雷达的等距离环则是以发射机和接收机为焦点的椭球与地面相交所得的椭圆环。图 2给出了坐标转换示意图,不失一般性,假设接收机和发射机都位于oxz平面,坐标分别为$\left( {{R_{{x}}}, {R_{{y}}}, {R_{{z}}}} \right)$$\left( {{T_{{x}}}, {T_{{y}}}, {T_{{z}}}} \right)$,其中${R_{{x}}}, {R_{{y}}}, {T_{{y}}}$均为0, ${{R}_{z}}={{H}_{\text{r}}}, {{T}_{z}}={{H}_{\text{t}}}, {{T}_{x}}=\sqrt{D_{\text{TR}}^{2}-{{({{T}_{z}}-{{R}_{z}})}^{2}}}$

图 2 坐标转换示意图 Fig.2 The diagram of coordinate transformation

o1x1y1z1坐标系下,双基椭球的数学表达式为:

$ \frac{{x_{\rm{1}}^2}}{{{a^2}}} + \frac{{y_1^2}}{{{b^2}}} + \frac{{z_1^2}}{{{b^2}}} = 1 $ (4)

其中,a=L/2, $b = \sqrt {{a^2} - {{\left( {{D_{{\rm{TR}}}}/2} \right)}^2}}$,根据图 2的几何关系推导出坐标系o1x1y1z1oxyz的关系如下:

$ \left. \begin{array}{*{35}{l}} {{x}_{1}}=x\cos \beta-{{S}_{x}}+z\sin \beta \\ {{y}_{1}}=y \\ {{z}_{1}}=-x\sin \beta-{{S}_{z}}+z\cos \beta \\ \end{array} \right\} $ (5)
$ \left. \begin{array}{*{35}{l}} \beta =\arctan \left( \frac{{{T}_{z}}-{{R}_{z}}}{{{T}_{x}}-{{R}_{x}}} \right) \\ {{S}_{x}}=\frac{1}{2}\left( {{T}_{x}}+{{R}_{x}} \right)\cos \beta +\frac{1}{2}\left( {{T}_{z}}+{{R}_{z}} \right)\sin \beta \\ {{S}_{z}}=-\frac{1}{2}\left( {{T}_{x}}+{{R}_{x}} \right)\sin \beta +\frac{1}{2}\left( {{T}_{z}}+{{R}_{z}} \right)\cos \beta \\ \end{array} \right\}\ $ (6)

结合式 (4),式 (5) 和式 (6),令z=0,得到等距离环的数学表达式如式 (7):

$ \left. \begin{array}{*{35}{l}} y=\frac{\pm \sqrt{-A{{x}^{2}}+Bx+C}}{a} \\ A={{\left( {{a}^{2}}{{\sin }^{2}}\beta +{{b}^{2}}{{\cos }^{2}}\beta \right)}^{2}} \\ B=2{{b}^{2}}{{S}_{x}}\cos \beta-2{{a}^{2}}{{S}_{z}}\sin \beta \\ C={{a}^{2}}{{b}^{2}}-{{a}^{2}}S_{z}^{2}-{{b}^{2}}S_{x}^{2} \\ \end{array} \right\} $ (7)

根据式 (7) 可以看出,等距离环的位置和形状与双基距离和,以及发射机和接收机的坐标有关。由于无人机飞行高度较低,可以将接收机对地面的覆盖范围看作一个圆平面,定义为接收圆,半径为:

$ r = \sqrt {{R_{\rm e}}{H_{\rm{r}}}} $ (8)

其中,Re为地球半径。

接收机只能接收圆内的回波信号,机载单基地雷达等距离环是圆环,在接收圆内是完整的,而机载双基雷达的等距离环为椭圆环,在接收圆内可能并不是一个完整椭圆,使得距离模糊可能仅仅存在于某些方位上,因此可以通过优化几何配置来消除距离模糊的影响。

3.2 距离模糊数目的求解

雷达信号处理是按距离门进行的,存在距离模糊时,同一距离门的杂波由若干个等距离环杂波反射信号叠加组成。机载双基地雷达的杂波呈现距离依赖性,叠加后的杂波将更加复杂,研究距离模糊尤为重要。

机载双基地雷达最大不模糊距离间隔${R_{\rm{u}}} = c/{f_{\rm{r}}}$,其中fr为脉冲重复频率。假设接收机在整个接收圆内都可以接收到信号,则总的距离模糊数目为[12]

$ K = {\mathop{\rm int}} \left( {\frac{{{L_{\max }} - {L_{\min }}}}{{{R_{\mathop{\rm u}\nolimits} }}}} \right) $ (9)

其中,${\mathop{\rm int}} \left( \bullet \right)$表示下取整,Lmax表示最大的双基探测距离,Lmin表示最小的双基探测距离。LmaxLmin的求解如图 3所示。

图 3 双基探测距离计算 Fig.3 Bistatic detection distance calculation

图 3可知,${{L}_{\max }}=AR+AT, {{L}_{\min }}=BT+BR $,具体表达式为:

$ \left. \begin{array}{*{35}{l}} {{L}_{\max }}=\sqrt{T_{z}^{2}+{{\left( {{T}_{x}}+r \right)}^{2}}}+\sqrt{R_{z}^{2}+{{r}^{2}}} \\ {{L}_{\min }}=\sqrt{T_{x}^{2}+{{\left( {{T}_{z}}+{{R}_{z}} \right)}^{2}}} \\ \end{array} \right\} $ (10)

由式 (8) 看出,接收圆的大小由接收机的纵坐标决定,即由接收机的高度决定。由式 (9) 和式 (10) 看出,距离模糊数目由接收机和发射机的坐标决定;而等距离环的位置和形状也与发射机和接收机的坐标有关,因此可以预测通过调整接收机的高度可有效减小距离模糊的影响,第4节的仿真实验验证了这一点。

3.3 最大不模糊脉冲重频设计

由前面分析得出,在重复频率一定的情况下,选择合适的接收机飞行高度可以减轻距离模糊的影响,本节将求解最大不模糊脉冲重复频率。

图 3所示,设待检测目标的方位角为$ \alpha, \rho \in [0, r]$,则目标点的坐标为$\left( {\rho \cos \alpha, \rho \sin \alpha, 0} \right)$,此时对应的双基探测距离为:

$ L=\sqrt{{{\rho }^{2}}+R_{z}^{2}+\sqrt{{{\left( {{T}_{x}}-\rho \cos \alpha \right)}^{2}}+{{\left( \rho \sin \alpha \right)}^{2}}+T_{z}^{2}}} $ (11)

根据式 (11) 变化ρ可求出任意方位角的最大双基探测距离Lmax和最小双基探测距离Lmin,根据式 (12) 可求出任意方位不出现距离模糊的最大脉冲重复频率,第4节的仿真实验将给出不同接收机高度下的最大不模糊脉冲重复频率。

$ {f_{\rm{r}}} \le c/({L_{\max }} - {L_{\min }}) $ (12)
4 仿真实验

本节首先通过仿真说明距离模糊对机载双基地STAP杂波抑制性能的影响;然后验证了所提方法的有效性。

实验1  距离模糊的影响  实验参数:几何模型如图 1所示,天线行阵元数、列阵元数均为16,相干处理间隔内的脉冲数M=16,杂噪比为60 dB,载机飞行高度Ht, Hr都为8 km,飞行速度vt, vr为140 km,波长l为0.23 m,阵元间距d=0.5l,脉冲重复频率fr为2434.8 Hz,双基地基线长度DTR为80 km,接收主波束指向阵面方向,不考虑天线后瓣接收,天线采用16阶30 dB切比雪夫加权,且旁瓣等波纹,快拍数据个数为512,目标对应的双基探测距离为130 km,信噪比为10 dB,距离模糊个数为3个,采用文献[5]方法补偿杂波距离依赖。对配置1(${\delta _{\rm{t}}} = {\delta _{\rm{r}}} = {0^ \circ }$) 和配置2(${\delta _{\rm{t}}} = {90^ \circ }, {\delta _{\rm{r}}} = {0^ \circ } $) 两种情况下仿真,得到距离模糊影响如图 4图 5所示。

图 4 配置1距离模糊影响分析 Fig.4 The impact of range ambiguity in configuration 1
图 5 配置2距离模糊影响分析 Fig.5 The impact of range ambiguity in configuration 2

图 4图 5给出了距离模糊对双基STAP杂波抑制性能影响分析图。从图中可以看出,存在距离模糊时,杂波特征值个数 (杂波自由度) 急剧增加,配置1由38个变为102个,配置2由65个变为159个;存在距离模糊时,配置1和配置2的功率谱都大大展宽。杂波自由度的增加和功率谱的展宽,使得机载双基STAP的杂波抑制性能下降严重。从改善因子仿真图看出,配置1和配置2主杂波凹口被展宽,这进一步验证了距离模糊对机载双基STAP杂波抑制性能的影响。

实验2   几何配置对距离模糊的影响  实验1的结果说明了距离模糊对机载双基STAP杂波抑制性能的影响,实验2对几何配置与距离模糊的关系进行仿真说明。

实验参数:脉冲重复频率fr为2434.8 Hz,双基地基线长度DTR为80 km,目标点P与坐标原点的距离为60 km,地球半径Re为6371 km,仿真结果如图 6所示。

图 6给出了不同几何配置下的距离模糊图,蓝色的为接收圆,红色的为等距离环,P为目标点。通过图 6(a)图 6(b)看出,此时距离模糊个数都为3,但在AR'B扇形区域,只有两个距离模糊环在接收圆内;改变发射机的高度并不能解决距离模糊的影响,这是因为接收圆的半径只与接收机的高度有关。通过图 6(a)图 6(c)图 6(d)图 6(e)看出,降低接收机的高度使得距离模糊数变小,而且AR'B区域的距离模糊数目依然小于其他区域,尤其在图 6(e)中,在AR'B区域不存在距离模糊。因此我们得出如下结论:(1) 降低发射机的高度不能有效减小距离模糊的影响;(2) 降低接收机的高度可以减轻距离模糊的影响;(3) 当待检测目标位于0°方位角附近的扇形区域时,距离模糊的影响较小,尤其在0°方位角影响最小。

图 6 不同几何配置下的距离模糊图 Fig.6 Range ambiguity with different geometric configurations

需要注意的是,降低接收机的高度减轻了距离模糊的影响,但这使得接收圆的半径变小,从而导致雷达的探测距离变小,图 6(a)图 6(c)图 6(d)图 6(e)对应的最大探测距离分别为531.77 km, 437.10 km, 363.36 km和305.72 km。在实际应用中,远程搜索雷达可以确定目标大致位置,再将本文方法应用到机载双基地雷达,对目标进行精确的检测。

实验3   性能改善分析  实验3对本文方法的有效性进行验证,实验参数与实验1相同,在不同的配置下对杂波特征谱以及改善因子仿真如图 7所示。

图 7 机载双基STAP性能变化曲线 Fig.7 The curve of airborne bistatic STAP performance

图 7给出了不同几何配置下的机载双基STAP性能仿真曲线。从图中可以看出配置1情况下,当接收机高度为8 km, 5 km和2 km时,对应的杂波特征值个数分别为102, 87和64;配置2情况下,对应的杂波特征值个数分别为159, 149和114。杂波自由度的降低,代表着杂波抑制性能的提高,改善因子变化曲线验证了这一点。实验3验证了所提方法的有效性,即选择合理的几何配置可以有效地改善机载双基STAP性能。

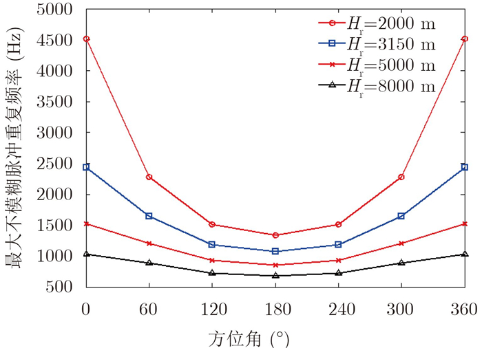
实验4  最大不模糊脉冲重复频率  实验3在脉冲重复频率一定的情况下,对所提方法的有效性进行了验证。实验4在不同的几何配置情况下,对最大不模糊脉冲重复频率仿真如图 8所示。

图 8 最大不模糊脉冲重复频率变化曲线 Fig.8 The curve of maximum unambiguous pulse repetition frequency

图 8给出了最大不模糊脉冲重复频率变化曲线。从图中可以看出:(1) 相同的方位角情况下,接收机高度越低,最大不模糊脉冲重复频率越大;(2) 在0°方位角附近的扇形区域,最大不模糊脉冲重复频率较大,在0°时达到最大值,在180°方位角达到最小值。因此在实际应用中应尽量降低接收机的高度,并将待检测目标置于0°方位角扇形区域,这与实验2的分析保持一致。

5 结束语

本文研究了机载双基地雷达的杂波模型以及几何配置与距离模糊的关系,进而提出了利用几何配置消除距离模糊影响的方法。通过仿真实验看出:(1) 距离模糊导致机载双基STAP的杂波抑制性能严重下降;(2) 当待检测目标位于0°方位角附近的扇形区域时,距离模糊影响较小,在0°方位角影响最小;(3) 降低接收机的高度可有效地减轻距离模糊的影响。本文方法利用几何配置减轻距离模糊的影响,结合已有的解决距离模糊的方法,可以获得更好的效果。

参考文献
[1] Brennan L E and Reed L S Theory of adaptive radar[J]. IEEE Transactions on Aerospace and Electronic Systems, 1973, 9(2): 237-252. DOI:10.1109/TAES.1973.309792 (0)
[2] 赵军, 沈明威, 朱岱寅, 等. 一种改进的机载双基雷达多普勒频移算法[J]. 郑州大学学报:(工学版), 2015, 36(2): 75-79.
Zhao Jun, Shen Mingwei, Zhu Daiyin, et al. An improved doppler warping for airborne bistatic radar[J]. Journal of Zhengzhou University (Engineering Science), 2015, 36(2): 75-79. (0)
[3] 李迎春, 李景文. 改进的非均匀频率采样配准双基杂波抑制方法[J]. 电波科学学报, 2011, 26(1): 102-107.
Li Yingchun and Li Jingwen Modified registration-based nonuniform frequency sampling method of clutter suppression in bistatic radar[J]. Chinese Journal of Radio Science, 2011, 26(1): 102-107. DOI:10.13443/j.cjors.2011.01.023 (0)
[4] Ries P, Lapierre F D and Verly J G Geometry-Induced range-dependence compensation for bistatic STAP with conformal arrays[J]. IEEE Transactions on Aerospace and Electronic Systems, 2011, 47(1): 275-294. DOI:10.1109/TAES.2011.5705675 (0)
[5] 张永顺, 冯为可, 赵杰, 等. 时变加权的机载双基雷达降维空时自适应处理[J]. 电波科学学报, 2015, 30(1): 194-200.
Zhang Yongshun, Feng Weike, Zhao Jie, et al. A dimension-reduced STAP method for airborne bistatic radar based on time-varying weighting techniques[J]. Chinese Journal of Radio Science, 2015, 30(1): 194-200. DOI:10.13443/j.cjors.2014040701 (0)
[6] 郭佳佳, 廖桂生, 杨志伟, 等. 利用广义内积值迭代加权的空时协方差矩阵估计方法[J]. 电子与信息学报, 2014, 36(2): 422-427.
Guo Jiajia, Liao Guisheng, Yang Zhiwei, et al. Iterative weighted covariance matrix estimation method for STAP based on generalized inner products[J]. Journal of Electronics & Information Technology, 2014, 36(2): 422-427. DOI:10.3724/SP.J.1146.2013.00426 (0)
[7] 张柏华, 谢文冲, 王永良, 等. 机载双基地雷达距离模糊杂波抑制方法性能研究[J]. 电光与控制, 2010, 17(9): 38-41.
Zhang Baihua, Xie Wenchong, Wang Yongliang, et al. On performance of range ambiguous clutter suppression method for airborne bistatic radar[J]. Electronics Optics & Control, 2010, 17(9): 38-41. (0)
[8] Xie W, Wang Y, Zhang B, et al.. Clutter suppression for bistatic airborne radar with range ambiguity[C]. IEEE CIE International Conference on Radar, Chendu, China, 2011:1893-1897. DOI:10.1109/CIE-Radar.2011.6159944. (0)
[9] 孟祥东, 吴建新, 王彤, 等. 机载双基雷达杂波分析及其距离模糊杂波的抑制[J]. 西安电子科技大学学报 (自然科学版), 2008, 35(6): 992-998.
Meng Xiangdong, Wu Jianxin, Wang Tong, et al. Clutter analysis and range-ambiguous clutter suppression for bistatic airborne radar[J]. Journal of Xidian University (Natural Science), 2008, 35(6): 992-998. (0)
[10] Xie W, Zhang B, Wang Y, et al. Range ambiguity clutter suppression for bistatic STAP radar[J]. EURASIP Journal on Advances in Signal Processing, 2013, 75 DOI:10.1186/1687-6180-2013-75 (0)
[11] 张柏华, 谢文冲, 王永良, 等. 基于最大似然估计的机载双基地雷达距离模糊杂波抑制方法[J]. 电子学报, 2011, 39(12): 2836-2841.
Zhang Baihua, Xie Wenchong, Wang Yongliang, et al. Clutter suppression method for airborne bistatic radar with range ambiguity based on maximum likelihood estimation[J]. Acta Electronica Sinica, 2011, 39(12): 2836-2841. (0)
[12] 李华, 汤俊, 彭应宁. 空天双基地雷达中的距离模糊及重频设计[J]. 系统工程与电子技术, 2008, 30(1): 61-63.
Li Hua, Tang Jun and Peng Yingning Range ambiguity and design of pulse repetition frequencyin HB-SBR[J]. Systems Engineering and Electronics, 2008, 30(1): 61-63. (0)