«上一篇
文章快速检索     高级检索
下一篇»
  雷达学报  2018, Vol. 7 Issue (2): 220-234  DOI: 10.12000/JR17046
0

引用本文  

王杰, 丁赤飚, 梁兴东, 等. 机载同时同频MIMO-SAR系统研究概述[J]. 雷达学报, 2018, 7(2): 220-234. DOI: 10.12000/JR17046.
Wang Jie, Ding Chibiao, Liang Xingdong, et al. Research outline of airborne mimo-sar system with same time-frequency coverage[J]. Journal of Radars, 2018, 7(2): 220-234. DOI: 10.12000/JR17046.

基金项目

国家863计划项目(2013AA122201)

通信作者

梁兴东   xdliang@mail.ie.ac.cn

作者简介

王 杰(1986–),男,博士,现为中国科学院电子学研究所传感技术联合国家重点实验室博士后,主要从事多输入多输出合成孔径雷达、多维统一信号、雷达通信一体化等领域的研究工作。E-mail: wangjie110_ucas@sina.com;
丁赤飚(1969–),男,研究员,博士生导师,现任中国科学院电子学研究所副所长,主要从事合成孔径雷达、遥感信息处理和应用系统等领域的研究工作,先后主持多项国家863重点项目和国家级遥感卫星地面系统工程建设项目,曾获国家科技进步一等奖、二等奖各一项。E-mail: cbding@mail.ie.ac.cn;
梁兴东(1973–),男,研究员,博士生导师,现任中国科学院电子学研究所微波成像技术重点实验室常务主任,主要从事高分辨率合成孔径雷达系统、干涉合成孔径雷达系统、成像处理及应用和实时数字信号处理等领域的研究工作。E-mail: xdliang@mail.ie.ac.cn;
陈龙永(1979–),男,研究员,硕士生导师,现任中国科学院电子学研究所微波成像技术重点实验室常务副主任,主要从事高分辨率合成孔径雷达系统、干涉合成孔径雷达系统、微波成像新概念、新体制和新技术等领域的研究工作。E-mail: lychen@mail.ie.ac.cn;
祁志美(1967–),男,研究员,博士生导师,现任中国科学院电子学研究所传感技术联合国家重点实验室常务副主任,主要从事纳米光电功能材料、光MEMS技术、集成光波导传感器与系统、表界面光谱分析技术与仪器等领域的研究工作。E-mail: zhimei-qi@mail.ie.ac.cn

文章历史

收稿日期:2017-04-11
改回日期:2017-06-02
网络出版:2017-07-21
机载同时同频MIMO-SAR系统研究概述
王杰①②, 丁赤飚, 梁兴东, 陈龙永, 祁志美    
(中国科学院电子学研究所微波成像技术重点实验室   北京   100190)
(中国科学院电子学研究所传感技术联合国家重点实验室   北京   100190)
摘要:针对传统合成孔径雷达(SAR)体制带来的模式单一、核心指标已接近极限等瓶颈问题,近年来提出了一种新体制多输入多输出合成孔径雷达(MIMO-SAR)。该雷达系统通过更多的收发阵元获得更为丰富的系统自由度,并以此突破传统SAR体制限制,实现高分辨率宽测绘带跨越发展和多模式协同。该文深度剖析了MIMO-SAR概念内涵与技术特点,概括了国内外研究现状与技术发展趋势,总结归纳了国际首部同时同频MIMO-SAR研制经验与飞行试验结果,并展望分析了MIMO SAR应用前景,以期为我国未来SAR技术奠定基础。
关键词同时同频MIMO-SAR    多维正交波形    多模式协同    飞行试验    
Research Outline of Airborne MIMO-SAR System with Same Time-frequency Coverage
Wang Jie①②, Ding Chibiao, Liang Xingdong, Chen Longyong, Qi Zhimei    
(Science and Technology on Microwave Imaging Laboratory, Institute of Electronics, Chinese Academy of Sciences, Beijing 100190, China)
(State Key Laboratory of Transducer Technology, Institute of Electronics, Chinese Academy of Sciences, Beijing 100190, China)
Foundation Item: The National 863 Program of China (2013AA122201)
Abstract: To solve the bottlenecks associated with traditional Synthetic Aperture Radar (SAR) systems related to the limitations of single working models and core indexes, a new system known as Multi-Input Multi-Output (MIMO) SAR was recently proposed. This novel radar system obtains greater freedom by the use of more equivalent transceivers. As such, it is not constrained by the limitations of traditional SAR systems and can achieve high-resolution wide-swath imaging and mean-time multi-mode operation. In this paper, we analyze the connotations and characteristics of MIMO-SAR in depth, and summarize the current research situation and future development trends. To lay a foundation for China’s future SAR technology, we have also developed the first MIMO-SAR prototype with the same time-frequency coverage. We summarize the key technologies and flight results and analyze the prospects for MIMO-SAR applications.
Key words: Multi-Input Multi-Output Synthetic Aperture Radar (MIMO-SAR)    Multi-dimensional waveform encoding    Multi-mode    Flight experiment    
1 引言

合成孔径雷达(Synthetic Aperture Radar, SAR)技术已经广泛应用于军事侦察、农业勘查、环境监测、地质勘探和灾情调查等方面[1,2]。然而,随着技术的发展、研究的深入和应用需求的拓展,传统合成孔径雷达(SAR)体制带来的模式单一、核心指标已接近极限等瓶颈问题日益突出,诸如难以实现高分辨率宽测绘带成像以及多任务协同等已在国际学术界形成共识。在此背景下,德国高频物理实验室的J. R. Ender在2007年国际雷达会议上提出了多输入多输出(Multi-Input Multi-Output, MIMO)合成孔径雷达概念[3]。融合MIMO技术与SAR系统各自特点而构成的新体制多输入多输出合成孔径雷达,不仅能获得远多于实际天线数目的等效观测通道,还可显著提升功率孔径积,为解决传统SAR面临的高分辨与测绘带宽相互矛盾以及多任务协同等实际问题提供了更为有效的技术途径[4]

MIMO-SAR概念自提出以来,便受到了欧美许多军事强国的广泛关注,日益成为SAR领域的研究热点[58]。然而,作为一种新体制雷达系统,无论在国外还是在国内,MIMO-SAR都处于起步研究阶段,其关键技术和系统研制方面的报导不多,限制MIMO-SAR从理论走向实际应用的同频干扰抑制问题没有得到有效解决[9]。因此,现有的研究大多数集中于理论概念和探索性实验,还没有原理性验证系统。但最近几年,正交波形的研究取得了突破性进展。其中,德宇航G. Krieger等人提出的多维波形编码思路[10],北京理工大学许稼等人提出的脉间相位编码方案[11],中国科学院电子学研究所陈龙永等人提出的正交频分复用(Orthogonal Frequency Division Multiplexing, OFDM)Chirp信号[12]与空时编码[13](Space Time Coding, STC)等方案在抑制MIMO-SAR同频干扰方面表现出一定的潜力。鉴于此,中国科学院电子学研究所梁兴东研究员于2013年承担科技部支撑计划“基于多输入多输出(MIMO)体制的先进微波成像技术”,研制新体制同时同频MIMO-SAR系统,挖掘时间、空间、频率、极化等多个维度的波形自由度,突破多维正交波形信号设计与产生、MIMO天线一体化快速波控、多通道重建成像等关键技术,重点解决制约MIMO-SAR实际应用的同频干扰抑制难题,实现高分辨率宽测绘带成像的跨越式发展和多模式协同等新功能。

本文围绕国际首部同时同频MIMO-SAR系统,论述MIMO-SAR概念内涵与技术特点,对当前国内外研究现状与技术发展趋势进行了归纳和评述,并凝练了当前研究中涉及的若干关键技术问题。重点针对同频干扰抑制的核心难题,分析了传统正交波形的限制与多维正交波形的可行性,介绍了OFDM Chirp和STC多维波形,并通过飞行试验验证了系统效能。最后,综合考虑MIMO-SAR的体制优势以及当前实际应用需求,对MIMO-SAR应用前景进行展望,以期为相关研究学者提供参考。

2 MIMO-SAR概念内涵与技术特点

根据收发端的天线数目,可将雷达系统分成单发单收、单发多收及多发多收体制。随着天线数目的增加,系统自由度逐步提高,雷达性能稳健增长。然而,受平台尺寸与功率孔径积限制,不能单纯依靠提高接收天线数目来提升雷达的性能。需要挖掘发射端的潜力,引入空间并存的发射天线,进一步开发系统的潜能。MIMO-SAR就是一种通过多发射天线多接收天线来获取丰富系统自由度的先进合成孔径雷达系统。

依据多个收发天线之间的位置和布局关系,MIMO-SAR可分为分布式和紧凑式两大类[14]。分布式MIMO是指多个收发天线之间稀疏布阵,各条信道之间近似独立,如图1(a)所示。在这种模式下,雷达能获取目标多个方向的散射信息,成倍提高信息量,进而提高目标的分辨率、解译能力、识别能力和抗打击能力等[15];紧凑式MIMO是指所有收发射单元位于同一平台上或相互之间非常靠近(如图1(b)所示),该模式接收的都是目标同一方向上的散射信息,因而各收发通道相关性很强。这种配置下,不仅能通过顺轨稀疏阵列大幅提高分辨率、测绘带、动目标检测等性能,还可以结合交轨向分布式阵列实现大范围详查、局部普查、高精度3维成像等能力。典型配置如同一平台上的多发多收系统、分布式小卫星多发多收系统等。

图 1 MIMO-SAR分类示意图 Fig.1 Diagrammatic sketch of MIMO-SAR

依据发射波形特征,紧凑式MIMO-SAR可进一步分为分时同频、同时分频和同时同频3大类。分时同频MIMO-SAR通过时序控制,在不同的脉冲重复周期(PRI)内发射多路同频信号,如乒乓模式的全极化干涉SAR系统[17,18] 和ARTINO下视3维成像系统[19,20]。这类系统用时间资源换取空间资源,往往导致系统PRF过高,对测绘带宽度构成限制[21];同时分频MIMO-SAR通过频率分集来隔离同时发射的多路信号[22,23],再运用子带拼接实现高分辨率,如德国FGAN-FHR开发的机载PAMIR系统[24,25]。这类系统虽能降低发射端带宽,但仍是全带宽接收,并不能降低系统成本。另外,可获得的有效相位中心数目并不多于单发多收SAR系统,因此性能有限;同时同频MIMO-SAR利用多个天线同时辐射相互正交的同频信号,在成倍提高雷达功率孔径积的同时,获得远多于实际物理阵元数目的观测通道。相对于分时同频和同时分频MIMO-SAR而言,同时同频MIMO-SAR面临严重的同频干扰问题。但该类系统在时间、空间、频率、极化等多个维度内的自由度更高,是更为严格意义上的多输入多输出合成孔径雷达系统,也是国内外学者的研究重点。本文主要考虑紧凑式同时同频MIMO-SAR系统技术。

3 MIMO-SAR国内外研究现状与技术发展 趋势

多输入多输出最早是控制系统中的一个概念,上世纪90年代中期,由贝尔实验室的G. J. Foschini首先提出[26],主要用于提升无线通信系统的信道容量。本世纪初,人们鉴于MIMO技术在通信领域取得的成果,开始将MIMO概念拓展到雷达探测,并在2003年的国际雷达会议上设立讨论专题,提出了MIMO雷达统一信号模型和体系架构,指明了MIMO雷达在波形低截获、强杂波下弱小目标和隐身目标检测、多目标探测和抗饱和攻击等方面具备的潜力[2729]。受MIMO雷达空间分集和虚拟阵元等体制优势启发,高频物理实验室的J. R. Ender在2007年进一步将MIMO技术与合成孔径雷达系统相结合,提出了MIMO-SAR概念,并初步讨论了该雷达面临的同频干扰抑制核心难题以及提升星载高分辨率宽测绘带成像能力的潜在优势,进而引起了国内外专家学者的广泛关注。围绕MIMO-SAR同频干扰抑制难题,研究人员将目光聚焦到正交波形设计与分离,并逐步从传统的单维度编码走向多维联合调制的多维度正交。

起初,部分学者建议改善利用传统通信编码信号、MIMO脉冲多普勒雷达正交信号来设计MIMO-SAR正交信号。然而,通过深入研究发现,这类波形仅将失配的能量散开到时域,没有达到滤除效果,导致脉压旁瓣水平过高。由于来自大量分布式目标的过高旁瓣必然会积累起来,进而会大幅度降低图像的整体质量。因此,该类波形不满足MIMO-SAR成像要求。德国宇航局的J. Mittermayer和J. M. Martinez曾于2003年以正负线性调频信号为例,从理论推导和仿真分析等角度对此问题展开了深入探讨[30]

为了解决传统单维度编码信号的限制,德国宇航局的J. Kim于2007年提出了用于MIMO SAR干涉成像的空时编码方案[31]。沿俯仰向使用双天线发射空时编码正交波形,结合方位向多天线接收(如图2所示),可保证基线长度和高程精度不变的同时,降低系统PRF,增大测绘带宽度。Kim在时频调制的基础上,加入了慢时间的空域调制,初步体现了多维正交调制思想,为MIMO-SAR成像开辟了一条新的道路。然而,这种方案严重依赖于雷达信道的时不变性,非匀速飞行、大气扰动和角闪烁等因素都会降低正交性能[13]

图 2 空时编码MIMO-SAR示意图[30] Fig.2 Diagrammatic sketch of space-time coding MIMO-SAR[30]

2008年,德国宇航局G. Krieger等人在J. Kim的基础上进一步提出了“多维波形编码”概念[10],即综合利用空间维、时间维及频率维的调制来抑制并行观测通道模糊能量(如图3所示)。他不仅从信息论的角度探讨了MIMO-SAR信号接收过程,分析了多通道SAR系统的挑战和常规解决方案,还首次探讨了MIMO-SAR系统优化和多模式协同工作的实现方式。

图 3 MIMO-SAR多维波形编码示意图[10] Fig.3 Diagrammatic sketch of multidimensional waveform coding MIMO-SAR[10]

近年来,在多维波形编码概念的牵引下,MIMO-SAR正交波形技术取得了长足的发展。G. Krieger等人系统分析了当前较为典型的正交波形方案[5],指明了MIMO-SAR波形设计误区,细化了多维波形编码思路,并设计了短时移正交(Short-Term Shift-Orthogonal, STSO)波形与OFDM Chirp信号。G. Krieger指出,通过时频域调制技术将失配的能量搬移到扩展函数远端,并结合空域滤波予以去除,可有效抑制同频干扰(如图4所示)。多维波形编码思想不仅变革了MIMO-SAR波形设计方法,同时还是未来技术发展趋势。

图 4 基于DBF的多维波形解码成像示意图[5] Fig.4 Diagrammatic sketch of multidimensional waveform decoding MIMO-SAR using DBF[5]

国内对MIMO-SAR的研究尚处于起步阶段,主要集中于理论层面。其中,井伟等在多维波形编码的基础上研究了方位向的解多普勒模糊问题[32]。王文钦等在Kim的基础上对空时编码技术进行了改进[33],并探讨了MIMO-SAR在高分辨率宽测绘带成像与动目标检测等方面的优势[34,35]。林月冠等基于压缩感知,将多个正交波形的回波信号吸收到观测矩阵,在降低数据率的同时消除了多个发射信号非理想正交模糊的影响[36]。武其松等将离散频率编码信号(Discrete Fourier Coding, DFC)应用到MIMO-SAR中,以提高相位编码信号的距离分辨率[37]。许稼等人提出的脉间相位编码方案对同频干扰抑制同样具备指导性意义。梁甸农等人从综合积分旁瓣比的角度论述了常规正交编码在MIMO-SAR中的限制[38]

综观国内外研究现状与发展趋势,国内外学者对MIMO-SAR已基本形成了统一的认识,在同频干扰抑制、阵列构型优化、运动补偿及成像处理等方面积累了丰富研究成果。特别地,多维波形编码、阵列空间卷积[39,40]和方位信号重建[41]等技术为MIMO-SAR系统研制提供了条件。

4 多维正交波形技术

从MIMO-SAR体制特征、国内外文献研究热点和雷达系统研制经验等方面着手,本文总结MIMO-SAR系统研制面临的关键技术问题包括多维正交波形设计与分离技术、MIMO天线一体化快速波控、宽带多通道射频技术、同步多通道数字技术与多通道重建成像技术等。其中,多维正交波形设计与分离技术是核心,是抑制同频干扰的有效解决手段,是MIMO-SAR从理论研究走向实际应用的关键,下面将对此展开深入讨论。

4.1 MIMO-SAR多维正交准则

正交信号最初应用于通信领域,用于反演多用户信源信息,对与信道反演密切相关的峰值旁瓣比和积分旁瓣比等指标没有严格的约束。因此,通信信号的正交准则与数学上的正交定义保持一致,仅要求信号之间的内积为零:

常规的单维度编码正交波形可以满足通信系统的正交准则,并且已得到了成熟的应用。然而,对于相参雷达系统而言,其目的在于反演信道信息,对信号峰值旁瓣比和积分旁瓣比有着严格的约束。因此,雷达信号的正交准则要求同频信号间的零多普勒模糊函数为零[42]

将式(2)变换至频域可知,该正交准则要求两路同频段信号的频谱积为零,这明显不满足能量守恒定理,不可实现。因此,传统脉冲多普勒雷达对该准则做出了近似:

该准则认为,当两个信号之间的互相关电平接近为零时,可视为正交。需要说明的是,传统脉冲多普勒雷达探测的是稀疏分布的目标,散开到杂波背景中的失配能量并不会影响雷达性能。因此,这种弱化的正交准则可以满足传统雷达要求。但对于SAR而言,探测的是目标及目标所处的场景,即囊括了传统意义上的目标及背景杂波。此时,弱化正交准则(式(3))无法满足成像要求。这主要是因为,该准则仅将互相关信号的能量散开到时域,并没有去除这些模糊能量。来自于海量散射点的模糊能量必然会积累起来,进而大幅度降低SAR图像的信杂比,使SAR图像信息淹没到噪声中,如图5所示。因此,弱化正交准则不满足MIMO-SAR成像要求。

图 5 弱化正交准则对SAR成像能力的影响示意图 Fig.5 Diagrammatic sketch of weakened orthogonality criterion impact on SAR imaging

然而,在弱化正交准则的基础上结合利用旁瓣优化与消除技术[4345],可在一定程度上抑制同频干扰引入的模糊能量,但该类方法的计算资源消耗过多。一种更为优良的解决方案是,联合优化时间 $\tau $ 、空间a、频率f、极化c等多个维度,将多个波形变量引入到理想的正交准则(式(2)),将多路同时同频正交信号分散到多维空间,并设计接收端的多维滤波器h,分离多路信号。因此,可构建如下的广义多维正交准则,在满足理想正交的基础上,不违背能量守恒约束。

多维正交波形概念示意如图6所示[5]。以空间、时间、频率构成的3维空间为例,线性调频信号在立体空间内体现为一个曲面。发射端通过合理的优化设计,可在相同的时间、空间和频率支撑域内实现多个曲面并存。接收端依据多维空间信号分布情况设计多维滤波器,可滤出并行收发信号,进而避免同频干扰。

为进一步量化表征多维正交信号的同频干扰抑制能力,定义同频干扰抑制比如下:

其中, ${S_1}\left( f \right)$ ${S_2}\left( f \right)$ 为两路正交信号的频谱, ${\tilde S_1}\left( f \right)$ 表示从混叠回波中滤出的 ${S_1}\left( f \right)$ 回波成分, ${\tilde S_2}\left( f \right)$ 表示从混叠回波中滤出的 ${S_2}\left( f \right)$ 回波成分。需要说明的是,受系统误差、多普勒频偏、天线方向图旁瓣等因素影响, ${\tilde S_1}\left( f \right)$ ${\tilde S_2}\left( f \right)$ 分别含有 ${S_2}\left( f \right)$ ${S_1}\left( f \right)$ 的残余成分。

图 6 多维正交波形概念示意图[5] Fig.6 Diagrammatic sketch of multidimensional orthogonal waveform[5]
4.2 具备物理可实现性的OFDM Chirp多维信号

作为第4代数字通信的核心技术,OFDM信号最突出的优点在于频谱利用率高、抗干扰能力强、时域波形可塑,可完全无模糊地提取出正交子载频的权值。然而,OFDM信号峰值旁瓣比和积分旁瓣比过高(见图7),频域加窗的方法也无法压低旁瓣[46,47],因而该信号难以直接用于雷达成像。可将Chirp信号调制到OFDM频谱中,构成多维度联合调制的OFDM Chirp信号,在继承OFDM优越正交性的基础上,兼顾Chirp信号良好的成像性能。

图 7 线性调频信号与OFDM信号成像结果比较图 Fig.7 Comparison between chirp and OFDM imaging results

OFDM Chirp信号在数字频域实现调制,传统的OFDM Chirp信号首先将Chirp信号的离散频率值作为OFDM信号的偶数子载频权值矩阵,其次对该Chirp信号的离散频率值频移一个子带带宽构成OFDM信号的奇数子载频权值矩阵,最后将这两个子载频权值矩阵变换至时域,可得相互正交的两路OFDM Chirp信号的时域形式[48]

因此,OFDM Chirp信号的权值矩阵如下:

其中,

上式中 $p = 1,2, ·\!·\!· ,2N,$ ${p_1} = 1,2, ·\!·\!· ,N,$ n =1,2, $ ·\!·\!· ,N$ , $N = {F_\rm{s}} \cdot T \ $ Fs表示采样率,T为Chirp信号的时宽,kr为Chirp信号的调频率。

将式(6)变换到时域可得相互正交的OFDM Chirp信号的时域形式:

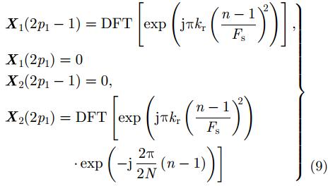
由上式可见,两路OFDM Chirp信号的正交性靠一个很小的频偏量保证,该频偏量不仅使得信号之间非严格同频段,还会导致系统实现难度大。需要对其进行改进,以去除频偏量。可改进两路信号的子载频权值矩阵如下[12]

将式(9)变换至时域,可得对应的时域信号形式为:

由式(10)可知,改进的OFDM Chirp信号之间没有相对频偏量,是严格同频段的,具备物理可实现性,改进前后的频谱示意图如图8所示。

图 8 OFDM Chirp信号改进前后的频谱比较图 Fig.8 Comparison between the original and improved OFDM Chirp spectrum

对应于数字点频调制过程,OFDM Chirp解调可在频域通过抽取不同子带载频处的权值来提取出预先调制的Chirp信号。而子带载频间的频率成分,主要体现为干扰和噪声,予以去除。此时,频率信息利用不充分,导致时域测绘带宽度受限[49]。然而,可以结合空域DBF技术,将整个测绘带划分为多个子测绘带,并对子测绘带进行MIMO成像。

4.3 STC多维编码方案

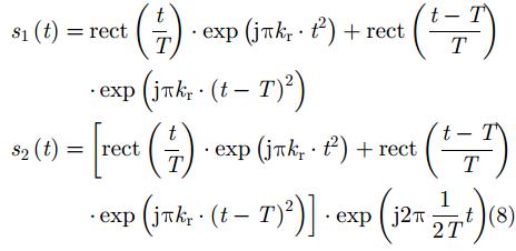
STC从多个维度出发,利用时间、空间、编码等维度,在SAR相连的两个慢时间发射不同Chirp波形,其信号模型是基于Alamouti编码矩阵而设计的[30],即

${s_1} = s_2^*$ ,则式(11)变为:

重构发射矩阵,可得两路发射信号为:

其中,ta为慢时间,fac为第2路发射信号的多普勒载频,m (m=0, 1, 2, ···)为方位向慢时间点,且有如下关系:

因此,第n个接收天线的回波可表示为:

将式(15)变换至距离-多普勒域,可得

由上式可见,来自于不同发射天线的信号在距离多普勒域中处于不同的多普勒频率中心(见图9),因此可在距离多普勒域中采用带通滤波方法,有效分离多路发射天线的信号。

图 9 并行观测通道发射信号的多普勒频谱示意图 Fig.9 Diagrammatic sketch of Doppler spectrum simultaneously radiated by two channels

然而,由于该波形方案在多普勒域调制了两路信号,且通过滤波分离这两路信号,这就要求将系统的PRF提高一倍,即系统的PRF大于两倍的多普勒带宽。因此,这种解调处理算法以牺牲PRF来换取同频干扰抑制能力,适用于机载系统[13]

5 MIMO-SAR原理样机研制

在突破同时同频MIMO-SAR关键技术的基础上,研制了国际首部C波段原理样机。该系统的框架及挂载图分别如图10图11所示。为了满足多模式协同工作要求,该雷达是一个可重构的MIMO系统,主要包括相控阵天线、低功率射频、实时成像、数据记录以及本地控制单元。其中,低功率射频包含两个发射通道和4个接收通道。相控阵天线分别在发射和接收时重构为2个和4个子阵,对应的方位向波束宽度分别为4.2°和8.4°。数据记录最大数据率为3 GB/s。具体系统参数如表1所示。

图 10 MIMO-SAR系统框图 Fig.10 MIMO-SAR system topology
图 11 MIMO-SAR挂载图 Fig.11 MIMO-SAR mounted on the plane
表 1 同时同频MIMO-SAR系统参数 Tab.1 Parameter of MIMO-SAR system with same time-frequency coverage
6 MIMO-SAR飞行试验验证

为了验证同时同频MIMO-SAR原理样机的系统效能,中国科学院电子学研究所于2016年4月份在天津分别针对高分辨率宽测绘带成像和多模式协同开展了飞行试验,取得了良好的效果,如图12图16所示。其中,高分辨率宽测绘带模式的像素点宽度为0.2 m,距离向总像素点数目为171060;宽幅模式的像素点宽度为0.6 m,距离向总像素点数目为84040;聚束模式的像素点在距离向和方位向的宽度分别为0.20 m和0.15 m,对应的总像素点数目分别为53995和41043;动目标检测模式的两个合作式目标相向而行,对应的GPS测速分别为–3.13 m/s和1.69 m/s。

图 12 高分宽幅成像结果 Fig.12 Imaging results of high resolution wide swath mode
图 13 高分宽幅定标点扩展函数 Fig.13 Calibrated point spread function of high resolution wide swath mode
图 14 多模式协同成像结果 Fig.14 Imaging results of multimodal operation
图 15 宽幅模式定标点扩展函数 Fig.15 Calibrated point spread function of wide swath mode
图 16 聚束模式定标点扩展函数 Fig.16 Calibrated point spread function of spotlighting mode

图12可知,相对于传统时频调制的正交波形,多维正交编码方案可将同频干扰抑制比从0 dB提高到38 dB,进而有效抑制了同频干扰,保证了机载MIMO-SAR成像性能。经计算,该系统最高可实现0.3 m分辨率34 km测绘带。若进一步考虑分辨率与测绘带宽之间的矛盾,构建测绘带/分辨率的考量因子,则该系统的高分辨率宽测绘带成像性能是德国F-SAR系统[50](12.5 km测绘带宽/0.4 m分辨率)的3倍以上。

图14可知,同时同频机载MIMO-SAR可基于丰富的系统自由度,同时实现宽测绘带成像、聚束成像与动目标检测。经计算,宽幅模式的分辨率为1.5 m,测绘带宽度为50 km;聚束模式的方位分辨率为0.15 m,幅宽为6 km;动目标检测模式的估计速度分别为–3.21 m/s和1.49 m/s,测速误差分别为0.8 m/s和0.2 m/s。该同时同频多模式成像试验是国内外首次开展的,对我国未来机载、星载SAR系统设计具有指导性意义。

综上所述,同时同频MIMO-SAR系统可基于丰富的系统自由度,在不明显增加系统消耗资源的同时大大提升系统分辨率、测绘带等核心性能指标,并具备实现同时多模式的潜力,可为我国未来SAR的研发从系统体制方面奠定基础。

7 MIMO-SAR应用前景浅析

(1) MIMO-SAR是高分辨率宽测绘带的最佳解决手段之一。

对于传统的SAR体制,SAR的分辨率和测绘带之间是彼此制约的。SAR系统的分辨率越高,测绘带就越小,其约束主要体现在受限的功率孔径积和波位设计困难两点。高分辨率、宽测绘带SAR一方面要求天线的宽度和高度都尽可能小,以获取方位向和距离向的宽波束,另一方面又要求回波信噪比高,即通过尽可能大的天线辐射大功率信号,显然高分辨率、宽测绘带与功率孔径积之间存在矛盾。单通道SAR可采用扫描的方法实现宽测绘带,但付出的代价是提高了PRF,造成波位设计困难。多通道SAR虽然能够在一定程度上解决波位设计难题,但面临严重的功率孔径积限制,不具备实现高分辨率、宽测绘带的能力。

MIMO技术利用多路收发天线,不仅能够显著提高功率孔径积,还能在方位向虚拟出更多的等效采样点,成倍降低脉冲重复频率,从而突破波位设计的约束。因此,MIMO-SAR是实现高分辨率宽测绘带的最有前景的技术之一。

(2) MIMO-SAR是实现多模式协同工作的最佳解决手段之一。

不同模式协同工作,特别是在实现大范围普查的同时实现对重点关注区域进行高分辨率详查是众多行业用户的迫切需求。例如,海洋维权需要对大范围的领海和专属经济区进行观测,掌握区域内船舶分布的整体情况。同时对于可疑侵权舰船需要进行连续、高分辨率观测,实现对可疑船只的识别。传统SAR技术由于系统自由度有限,无法对系统资源进行灵活分配,不能满足多模式协同成像的需求。例如,在普查模式下,传统SAR的功率、频谱、增益等资源平均分配给观察区域内的目标,无法同时针对特定目标进行重点观测。而在详查模式,系统所有的资源都分配给了特定目标,无法同时兼顾全局,大范围的观测。

MIMO技术可利用丰富的系统自由度,灵活调度系统功率、频谱、增益、波形等多种资源,根据目标的重要程度对资源进行动态分配,在保持大范围普查能力的同时兼顾对多个不同位置重点目标的高分辨率成像。因此,MIMO-SAR是实现宽幅成像、聚束成像、动目标检测等多模式协同工作的最佳解决手段之一。

(3) MIMO技术是实现探测通信一体化的最佳解决手段之一。

在频谱、功率、设备、平台空间等资源有限的情况下,对单一平台遂行探测通信等多样化信息获取任务尤为迫切。传统的简单将通信电台和雷达加载于飞机平台的方式,不仅无法满足大数据量通信要求,还会带来成本的增加和新的电磁干扰,影响整体性能。

MIMO技术能在不增加带宽和发射功率的情况下利用雷达的有源相控阵天线进行通信,进而成倍提高通信系统的容量、频谱利用率和可靠性,克服传统多平台多功能多手段孤立工作的劣势。因此,MIMO技术是实现探测通信一体化的最佳解决手段之一。

(4) MIMO技术是实现3维成像的最佳解决手段之一。

传统SAR是对3维场景的2维成像,图像中所有的像素点实际是具有相同距离的所有俯仰向散射体的迭加,因而存在着圆柱对称模糊、叠掩现象等问题,难以满足越来越高的成像精度和复杂环境侦查的要求。

MIMO技术能够在距离向宽带分辨和方位合成孔径分辨的基础上增加俯仰向实孔径的分辨能力[51]。通过俯仰向并行收发以及优化布阵,可以获取目标的第3维信息,避免3维空间到2维平面投影的信息损失。因此,MIMO技术是实现3维成像的最佳解决手段之一。

(5) MIMO技术的进一步发展是广域稀疏分布式网络。

传统的单站雷达或简单的雷达组网日益无法满足目前与未来的民用或军事需求。一方面,单站雷达单纯依靠增大孔径、功率来提升雷达性能和威力;另一方面,简单的雷达组网在信号域的耦合度不够,仅停留在情报级同步,在雷达的作用距离、探测精度、功能模式等方面面临制约。因此,迫切需要新的技术途径来实现雷达探测能力的飞跃。

基于广域稀疏分布的、信号级同步的多平台雷达,构建MIMO分布式雷达网,虚拟大规模立体基线,扩大时间、空间、视角、频率上的有效覆盖范围,不仅能够提高重叠区探测概率,还能对目标进行瞬态成像,实现雷达信息获取能力的飞跃,是MIMO技术的未来发展方向。

8 结束语

传统合成孔径雷达(SAR)受体制限制,难以实现高分辨率宽测绘带成像、多模式协同工作等功能。研究学者开始广泛地关注系统自由度更为丰富的MIMO-SAR。将单天线发射拓展到多天线并行发射,将传统的时频2维编码波形拓展到多维正交调制,从而形成同时同频多天线并行收发的合成孔径雷达系统,可同时满足高分辨率、宽测绘带和多模式成像等要求,是未来SAR系统发展的主要方向之一。中国科学院电子学研究所研制的国际首部同时同频MIMO-SAR系统已经初步验证了应用潜力,并将改造成通用的多维正交波形测试验证平台,以期为我国新体制微波成像技术提供支撑条件。

参考文献
[1] 邓云凯, 赵凤军, 王宇. 星载SAR技术的发展趋势及应用浅析[J]. 雷达学报, 2012, 1(1): 1-10.
Deng Yun-kai, Zhao Feng-jun, and Wang Yu. Brief analysis on the development and application of spaceborne SAR[J]. Journal of Radars, 2012, 1(1): 1-10. DOI:10.3724/SP.J.1300.2012.20015 (0)
[2] Moreira A, Prats-Iraola P, Younis M, et al. A tutorial on synthetic aperture radar[J]. IEEE Geoscience and Remote Sensing Magazine, 2013, 1(1): 6-43. DOI:10.1109/MGRS.2013.2248301 (0)
[3] Ender J H G. MIMO-SAR[C]. Proceedings of International Radar Symposium, Cologne, Germany, 2007: 580–588. (0)
[4] 周伟, 刘永祥, 黎湘, 等. MIMO-SAR技术发展概况及应用浅析[J]. 雷达学报, 2014, 3(1): 10-18.
Zhou Wei, Liu Yong-xiang, Li Xiang, et al. Brief analysis on the development and application of multi-input multi-output synthetic aperture radar[J]. Journal of Radars, 2014, 3(1): 10-18. DOI:10.3724/SP.J.1300.2013.13074 (0)
[5] Krieger G. MIMO-SAR: Opportunities and pitfalls[J]. IEEE Transactions on Geoscience and Remote Sensing, 2014, 52(5): 2628-2645. DOI:10.1109/TGRS.2013.2263934 (0)
[6] Cristallini D, Pastina D, and Lombardo P. Exploiting MIMO SAR potentialities with efficient cross-track constellation configurations for improved range resolution[J]. IEEE Transactions on Geoscience and Remote Sensing, 2011, 49(1): 38-52. DOI:10.1109/TGRS.2010.2053715 (0)
[7] Zhuge Xiao-dong and Yarovoy A G. A sparse aperture MIMO-SAR-based UWB imaging system for concealed weapon detection[J]. IEEE Transactions on Geoscience and Remote Sensing, 2011, 49(1): 509-518. DOI:10.1109/TGRS.2010.2053038 (0)
[8] Wang Jie, Chen Long-yong, Liang Xing-dong, et al. Multi-input multi-output frequency-modulated continuous wave synthetic aperture radar system using beat-frequency division waveforms[J]. Measurement Science & Technology, 2013, 24(7): 074016 (0)
[9] Krieger G, Younis M, Huber S, et al.. MIMO-SAR and the orthogonality confusion[C]. Proceedings of 2012 IEEE International Geoscience and Remote Sensing Symposium (IGARSS), Munich, 2012: 1533–1536. (0)
[10] Krieger G, Gebert N, and Moreira A. Multidimensional waveform encoding: A new digital beamforming technique for synthetic aperture radar remote sensing[J]. IEEE Transactions on Geoscience and Remote Sensing, 2008, 46(1): 31-46. DOI:10.1109/TGRS.2007.905974 (0)
[11] Meng C Z, Xu J, Xia X G, et al. MIMO-SAR waveform separation based on inter-pulse phase modulation and range-Doppler decouple filtering[J]. Electronics Letters, 2013, 49(6): 420-422. DOI:10.1049/el.2013.0016 (0)
[12] Wang Jie, Liang Xing-dong, Ding Chi-biao, et al. An improved OFDM chirp waveform used for MIMO SAR system[J]. Science China Information Sciences, 2014, 57(6): 1-9. (0)
[13] Wang Jie, Liang Xing-dong, Chen Long-yong, et al. A novel space-time coding scheme used for MIMO-SAR systems[J]. IEEE Geoscience and Remote Sensing Letters, 2015, 12(7): 1156-1560. (0)
[14] Li Jian and Stoica P. MIMO Radar Signal Processing[M]. New York, US: Wiley-IEEE Press, 2009: 2–10. (0)
[15] Marechal R, Amiot T, Attia S, et al.. Distributed SAR for performance improvement[C]. Proceedings of 2005 IEEE International Geoscience and Remote Sensing Symposium, Seoul, Korea, 2005: 4077–4079. (0)
[16] Martin M, Klupar P, Kilberg S, et al.. TechSat 21 and revolutionizing space missions using microsatellites[C]. Proceedings of the 15th AIAA/USU Conference on Small Satellites, Logan, UT, USA, 2001. (0)
[17] Cloude S R and Papathanassiou K P. Polarimetric SAR interferometry[J]. IEEE Transactions on Geoscience and Remote Sensing, 1998, 36(5): 1551-1565. DOI:10.1109/36.718859 (0)
[18] Papathanassiou K P and Cloude S R. Single-baseline polarimetric SAR interferometry[J]. IEEE Transactions on Geoscience and Remote Sensing, 2001, 39(11): 2352-2363. DOI:10.1109/36.964971 (0)
[19] Klare J, Weiss M, Peters O, et al.. ARTINO: A new high resolution 3D imaging radar system on an autonomous airborne platform[C]. Proceedings of IEEE International Conference on Geoscience and Remote Sensing Symposium, Denver, USA, 2006: 3842–3845. (0)
[20] Klare J, Brenner A R, and Ender J H. A new airborne radar for 3D imaging-image formation using the ARTINO principle[C]. Proceedings of the 6th European Conference on Synthetic Aperture Radar, Dresden, Germany, 2006: 103–107. (0)
[21] Currie A and Brown M A. Wide-swath SAR[J]. IEE Proceedings F, Radar and Signal Processing, 1992, 139(2): 122-135. DOI:10.1049/ip-f-2.1992.0016 (0)
[22] 周高杯, 宋红军, 邓云凯. MIMO-SAR中虚拟径相位校正与子带合成方法研究[J]. 电子与信息学报, 2011, 33(2): 484-488.
Zhou Gao-bei, Song Hong-jun, and Deng Yun-kai. Investigation of virtual aperture phase correction and sub band synthesis algorithms in MIMO-SAR[J]. Journal of Electronics & Information Technology, 2011, 33(2): 484-488. DOI:10.3724/SP.J.1146.2010.00435 (0)
[23] 邓云凯, 陈倩, 祁海明, 等. 一种基于频域子带合成的多发多收高分辨率SAR成像算法[J]. 电子与信息学报, 2011, 33(5): 1082-1087.
Deng Yun-kai, Chen Qian, Qi Hai-ming, et al. A high-resolution imaging algorithm for MIMO SAR based on the sub-band synthesis in frequency domain[J]. Journal of Electronics & Information Technology, 2011, 33(5): 1082-1087. DOI:10.3724/SP.J.1146.2010.01067 (0)
[24] Ender J H G and Brenner A R. PAMIR—a wideband phased array SAR/MTI system[J]. IEE Proceedings-Radar, Sonar and Navigation, 2003, 150(3): 165-172. DOI:10.1049/ip-rsn:20030445 (0)
[25] Brenner A R and Ender J H G. Demonstration of advanced reconnaissance techniques with the airborne SAR/GMTI sensor PAMIR[J]. IEE Proceedings-Radar, Sonar and Navigation, 2006, 153(2): 152-162. DOI:10.1049/ip-rsn:20050044 (0)
[26] Foschini G J. Layered space-time architecture for wireless communication in a fading environment when using multi-element antennas[J]. Bell Labs Technical Journal, 1996, 1(2): 41-59. (0)
[27] Fishler E, Haimovich A, Blu R, et al.. MIMO radar: An idea whose time has come[C]. Proceedings of the IEEE Radar Conference, Philadelphia, PA, 2004: 71–78. (0)
[28] Robey F C, Coutts S, Weikle D, et al.. MIMO radar theory and experimental results[C]. Proceedings of Conference Record of the 38th Asilomar Conference on Signals, Systems and Computers, Pacific Grove, CA, USA, 2004: 300–304. (0)
[29] Fishler E, Haimovich Alex, Blum Rick, et al.. Performance of MIMO radar systems: Advantages of angular diversity[C]. Proceedings of Conference Record of the 38th Asilomar Conference on Signals, Systems and Computers, Pacific Grove, CA, USA, 2004: 305–309. (0)
[30] Mittermayer J and Martinez J M. Analysis of range ambiguity suppression in SAR by up and down chirp modulation for point and distributed targets[C]. Proceedings of 2003 IEEE International Geoscience and Remote Sensing Symposium, Toulouse, France, 2003: 4077–4079. (0)
[31] Kim J, Ossowska A, and Wiesbeck W. Investigation of MIMO SAR for interferometry[C]. Proceedings of European Radar Conference, Munich, Germany, 2007: 51–54. (0)
[32] 井伟. 关于星载合成孔径雷达距离和方位模糊的研究[D]. [硕士论文], 西安电子科技大学, 2005.
Jing Wei. Study of range and azimuth ambiguities in synthetic aperture radar[D]. [Master dissertation], Xidian University, 2005. (0)
[33] Wang Wen-qin. MIMO SAR imaging: Potential and challenges[J]. IEEE Aerospace and Electronic Systems Magazine, 2013, 28(8): 18-23. DOI:10.1109/MAES.2013.6575407 (0)
[34] Wang Wen-qin. Space-time coding MIMO-OFDM SAR for high-resolution imaging[J]. IEEE Transactions on Geoscience and Remote Sensing, 2011, 49(8): 3094-3104. DOI:10.1109/TGRS.2011.2116030 (0)
[35] Wang Wen-qin. MIMO-based SAR ground moving target detection approach[C]. Proceedings of 2011 International Conference on Intelligent Computation Technology and Automation, Shenzhen, Guangdong, 2011: 608–611. (0)
[36] 林月冠. 基于压缩感知的多通道雷达成像技术研究[D]. [博士论文], 中国科学院研究生院, 2012.
Lin Yue-guan. Research on multi channel radar imaging technology based on compressed sensing[D]. [Ph.D. dissertation], Institute of Electronics, Chinese Academy of Sciences, 2012. (0)
[37] 武其松, 井伟, 邢孟道, 等. 多维波形编码信号大测绘带成像[J]. 西安电子科技大学学报(自然科学版), 2009, 36(5): 801-806.
Wu Qi-song, Jing Wei, Xing Meng-dao, et al. Wide swath imaging with multidimensional waveform encoding[J]. Journal of Xidian University (Natural Science), 2009, 36(5): 801-806. (0)
[38] Zou Bo, Dong Zhen, and Liang Diannong. Design and performance analysis of orthogonal coding signal in MIMO-SAR[J]. Science China Information Sciences, 2011, 54(8): 1723-1737. DOI:10.1007/s11432-011-4284-x (0)
[39] 粟毅, 朱宇涛, 郁文贤, 等. 多通道雷达天线阵列的设计理论与算法[J]. 中国科学: 信息科学, 2010, 53(7): 1470-1480.
Su Yi, Zhu Yu-tao, Yu Wen-xian, et al. Multi-channel radar array design method and algorithm[J]. Science China Information Sciences, 2010, 53(7): 1470-1480. (0)
[40] Wang Li-bao, Xu Jia, Peng Shi-bao, et al. Optimal linear array configuration and DOF tradeoff for MIMO-SAR[J]. Chinese Journal of Electronics, 2011, 20(2): 380-384. (0)
[41] Krieger G, Gebert N, and Moreira A. Unambiguous SAR signal reconstruction from nonuniform displaced phase center sampling[J]. IEEE Geoscience and Remote Sensing Letters, 2004, 1(4): 260-264. DOI:10.1109/LGRS.2004.832700 (0)
[42] Woodward P M. Radar ambiguity analysis[R]. Technical Report RRE, Technical Note 731, Malvern, Worcs: Oyal Radar Estab-Lishment Ministry of Technology, 1967. (0)
[43] Wang Jie, Liang Xing-dong, Ding Chi-biao, et al. A novel scheme for ambiguous energy suppression in MIMO-SAR systems[J]. IEEE Geoscience and Remote Sensing Letters, 2015, 12(2): 344-348. DOI:10.1109/LGRS.2014.2340898 (0)
[44] 孟藏珍, 许稼, 王力宝, 等. 基于Clean处理的MIMO-SAR正交波形分离[J]. 电子与信息学报, 2013, 35(12): 2809-2814.
Meng Cang-zhen, Xu Jia, Wang Li-bao, et al. An orthogonal waveform separation method based on clean processing in MIMO-SAR[J]. Journal of Electronics & Information Technology, 2013, 35(12): 2809-2814. DOI:10.3724/SP.J.1146.2013.00311 (0)
[45] He Hao, Stoica P, and Li Jian. Designing unimodular sequence sets with good correlations-including an application to MIMO radar[J]. IEEE Transactions on Signal Processing, 2009, 57(11): 4391-4405. DOI:10.1109/TSP.2009.2025108 (0)
[46] Garmatyuk D and Brenneman M. Adaptive multicarrier OFDM SAR signal processing[J]. IEEE Transactions on Geoscience and Remote Sensing, 2011, 49(10): 3780-3790. DOI:10.1109/TGRS.2011.2165546 (0)
[47] Garmatyuk D. Cross-range SAR reconstruction with multicarrier OFDM signals[J]. IEEE Geoscience and Remote Sensing Letters, 2012, 9(5): 808-812. DOI:10.1109/LGRS.2011.2182176 (0)
[48] Kim J H, Younis M, Moreira A, et al. A novel OFDM chirp waveform scheme for use of multiple transmitters in SAR[J]. IEEE Geoscience and Remote Sensing Letters, 2013, 10(3): 568-572. DOI:10.1109/LGRS.2012.2213577 (0)
[49] Wang Jie, Chen Long-yong, Liang Xing-dong, et al. Implementation of the OFDM chirp waveform on MIMO SAR systems[J]. IEEE Transactions on Geoscience and Remote Sensing, 2015, 53(9): 5218-5228. DOI:10.1109/TGRS.2015.2419271 (0)
[50] Reigber A, Jäger M, Fischer J, et al.. System status and calibration of the F-SAR airborne SAR instrument[C]. Proceedings of 2011 IEEE International Geoscience and Remote Sensing Symposium, Vancouver, Canada, 2011: 1520–1523. (0)
[51] Klare J. Digital beamforming for a 3D MIMO SAR-improvements through frequency and waveform diversity[C]. Proceedings of IEEE International Geoscience and Remote Sensing Symposium, Boston, MA, USA, 2008: 17–20. (0)