«上一篇
文章快速检索     高级检索
下一篇»
  雷达学报  2017, Vol. 6 Issue (6): 653-659  DOI: 10.12000/JR17068
0

引用本文  

李健兵, 高航, 王涛, 等. 飞机尾流的散射特性与探测技术综述[J]. 雷达学报, 2017, 6(6): 653-659. DOI: 10.12000/JR17068.
Li Jianbing, Gao Hang, Wang Tao, et al. [J]. Journal of Radars, 2017, 6(6): 653-659. DOI: 10.12000/JR17068.

基金项目

国家自然科学基金(61771479, 41375040, 61490649)

通信作者

李健兵   jianbingli@nudt.edu.cn 王雪松   wxs1019@vip.sina.com

作者简介

李健兵(1979–),男,籍贯湖南省邵东县。2010年于国防科技大学获信息与通信工程学科博士学位,IEEE senior member、电子学会高级会员,现任国防科技大学电子科学学院副研究员以及电子信息系统复杂电磁环境效应国家重点室特聘教授。以第一作者发表SCI论文19篇,获评第四届电子学会优秀科技工作者,入选国防科大首批“青年拔尖人才培养对象”,担任《雷达学报》编委。主要研究方向为分布式软目标的雷达特性与探测技术;
高   航(1995–),女,四川雅安人,2016年在西南交通大学获本科学位,现在国防科技大学电子科学学院攻读硕士学位。主要研究方向为雷达信号处理;
王   涛(1976–),男,河南南阳人,2006年在国防科技大学电子科学与工程学院获工学博士学位,国防科技大学电子科学与工程学院副研究员,主要研究兴趣为雷达信号处理;
王雪松(1972–),男,内蒙古人,博士,国防科技大学电子科学学院教授,主要研究方向为极化信息处理、雷达目标识别、新体制雷达技术

文章历史

收稿日期:2017-07-05
改回日期:2017-10-25
网络出版:2017-11-16
飞机尾流的散射特性与探测技术综述
李健兵, 高航, 王涛, 王雪松    
(国防科技大学电子科学学院    长沙    410073)
摘要:飞机尾流是飞机飞行时在其后方形成的一对反向旋转的强烈旋涡,是航空安全和大气物理等领域的特别关注的研究对象,飞机尾流的特性和探测是其行为预测和危害评估等研究的基础。该文首先根据气象条件,将飞机尾流分类为晴空尾流(包括尾湍流和凝结尾迹)和降水条件下尾流(包括雨雾雪等)。然后介绍了不同气象条件下飞机尾流的动力学特性和散射特性,总体认为:晴空下的尾湍流的微波雷达散射能力较弱,但其因包括浮尘等微粒而具有较好的激光雷达散射能力;凝结尾迹及降水条件下的尾流因包括丰富的冰晶或降水粒子而具有较强的微波雷达散射能力。进一步地,针对不同气象条件,介绍了飞机尾流的激光雷达和微波雷达联合探测方案,以及相应的特征参数反演算法。最后进行了总结和展望。
关键词晴空飞机尾流    湿性飞机尾流    激光雷达    微波雷达    特征参数反演    
Li Jianbing, Gao Hang, Wang Tao, Wang Xuesong    
(${affiVo.addressStrEn})
Foundation Item: The National Natural Science Foundation of China (61771479, 41375040, 61490649)
Abstract: Aircraft wake vortex is a pair of strong counter-rotating vortices and has attracted considerable attention in various fields including aviation safety and atmospheric physics. The characteristics and detection of wake vortex act as the basis for both behavior prediction as well as hazard assessment. This paper provides a short survey of the characteristics and detection researches. Initially, the wake vortex is classified as clear-air wake vortex (i.e., wake turbulence and contrail) and precipitation wake vortex (i.e., under rainy, foggy or snowy condition). Subsequently, the dynamics and scattering are introduced, and the main verdicts are: the radar (radio detection and ranging) scattering of wake vortex is relatively weak under clear air conditions, but the Lidar (Light detection and ranging) scattering is appreciable owing to the presence of particles such as aerosols. Wake vortices under precipitation conditions and contrails possess relatively good radar reflectivity owing the strong scattering characteristics of precipitation droplets and ice crystals. Furthermore, we have introduced a joint detection scheme of Lidar and radar for wake vortex along with parameter-retrieval algorithms. Finally, we have presented our conclusions and intended future research.
Key words: Clear-air wake vortex    Precipitation wake vortex    Light detection and ranging (Lidar)    Radar    Parameter-retrieval    
1 引言

飞机尾流是飞机飞行时因机翼上下翼面压力差而在其后方形成的一种反向旋转的强烈气流(如图1所示)[1],具有空间尺度大(横向上百米量级,纵向上千米量级)、持续时间长(数分钟至十几分钟)、旋转强烈(切向速度可达几十米每秒)等特点,在航空安全和大气物理等领域涌现出诸多重要的研究需求。

图 1 飞机尾流示意图

首先,飞机尾流是航空安全领域特别关注的问题。由于飞机尾流是一种强烈的非规则气流,其对后续飞机的飞行安全具有严重影响,可能发生翻滚、抖动、失速等,如图2所示。据美国国家交通安全委员会的统计,1993年到2000年间美国境内约三分之一的航空事故与尾流相关[2];另外,美国航空公司一架Airbus A300客机于2001年11月在纽约肯尼迪机场起飞后不久坠毁,导致265人死亡,即是因为前机尾流影响所致,这也是美国迄今第二大航空事故。为了减小此类事故发生的概率,国际民航组织(International Civil Aviation Organization, ICAO)根据机型、起飞重点和尺寸制定了两架飞机起飞和降落的最小安全距离。该规则虽然可以在很大程度上保证每架飞机的安全,但往往过于保守,限制了机场跑道的起飞密度。为在保证飞机飞行安全的前提下有效提升机场的起降容量和降低飞机晚点率,亟需发展飞机尾流的探测和危害评估方法,以对飞机的起降进行实时调整;这亦是欧洲统一天空空管计划[3](Single European Sky ATM Research, SESAR)和美国下一代航空运输系统[4](Next Generation Air Transportation System, NGATS)等重大科技计划的重要组成部分,中国民航近年来也提出了类似的空中交通管理系统计划[5]。当前,飞机尾流的研究引起了法国Thales公司,法国国家航天航空研究中心(French National Aerospace Research Center, ONERA),德国宇航中心(German Aerospace Center, DLR),美国国家航空航天局(U. S. National Aeronautics and Space Administration, NASA)、交通运输部(U. S. Department of Transportation, US-DOT)等机构强烈的研究兴趣,一年一度的WakeNet会议即是以航空安全中飞机尾流的影响和探测为主题的专题会议。

图 2 飞机尾流及其对飞行安全的影响

在大气物理方面,飞机尾流是一种重要的人工影响天气的目标,其特性和探测技术研究可为评估航空业对地球热平衡影响提供重要的理论支撑[6]。比如,Nature[7]和Science[8]文献称飞机尾流的存在会改变大气中水的相态,产生凝结尾迹、管道云、穿孔云等自然现象,大量这类现象的存在可能影响地球热辐射平衡和小范围的天气。美国多个大型机场周边天气变化的长期观测数据表明,飞机尾流对机场周边小范围区域的天气具有显著影响。

针对上述需求,国际上开展了长期的探索研究,逐渐形成了以激光雷达和微波雷达相结合的探测方式,以解决不同气象条件下的飞机尾流探测问题。本文对尾流的特性与探测技术进行介绍,主要包括:飞机尾流的简单分类,不同条件下飞机尾流的动力学特性和散射特性,飞机尾流探测以及不同气象条件下飞机尾流的特征参数反演算法。

2 飞机尾流的分类

在论及飞机尾流时,通常根据气象条件来将其分成两类,一类是晴空条件下飞机尾流[9],另一类是降水条件下飞机尾流[10],如图3所示。晴空条件下,飞机尾流按产生的条件分成尾湍流(Wake turbulence[11])和凝结尾迹(Contrail[12]),其中尾湍流即是通常所说的翼尖尾涡,也是尾流里最受关注的情况;凝结尾迹是指处于水汽易饱和状态下的空气受飞机尾流影响,内部水汽发生相态变化成为视觉上直接可见的冰晶和液滴等,这种现象在高纬度地区、秋冬季节的高空经常发生,人们常见的飞机飞过后拖出的长长尾巴即是凝结尾迹。在降水条件下,则通常需区分雨、雾、雪等不同的天气情况。在上述不同的气象条件下产生的尾流往往具有不同的动力学和散射特性,中国幅原辽阔,各种气象条件非常复杂,因此研究这些不同气象条件下尾流的特性与探测手段具有特别重要的意义。

图 3 飞机尾流分类及其研究现状

下面根据不同气象条件,从特性和探测两个层面结合各个研究团队的工作对飞机尾流的研究现状进行介绍。

3 飞机尾流的动力学特性和散射特性

从尾流的特性研究层面来看,通常关注动力学特性和散射特性研究两个方面,这两个方面的技术途径各异。

● 动力学特性的研究途径通常包括3类:①使用计算流体力学(Computational Fluid Dynamics, CFD)方法对全尺寸飞机的尾流直接进行模拟,典型的代表是使用大涡模拟方法(Large Eddy Simulation, LES),这类方法可以得到尾流较精细的结构和变化情况,但是耗费的计算资源非常大,通常的计算机难以承受。②通过大量的实验和数值模拟总结出一系列尾流的速度及演化模型[13,14],这些模型给出了飞机尾流的主要特征,计算量非常小,成为当前尾流动力学特性初步分析常用的方法。③利用总结得到的尾流速度模型作为尾涡运动的初始条件,继而采用大涡模拟方法(或平均雷诺数方法)对后续尾流演化进行模拟,这类方法兼顾效率和精度,成为尾流动力学特性研究中广受欢迎的方法[12,15,16]

● 散射特性的研究途径通常需要区分不同的气象条件:①在晴空条件下,尾流的雷达散射主要是由尾流内部的折射率不均匀所致,因而需要求解分布式软目标对应的散射积分方程;对飞机尾流这类超电大尺寸目标,按通常的快速多极等方法计算时耗费资源太大,难以承受,所以学术界发展了以振荡积分快速计算为代表的一类计算方法[17,18]。②在降水条件下,尾流的散射则主要由受到尾流速度场调制的降水粒子所致,因而需要求解海量粒子所对应的粒子群散射的问题,学术界相应地发展了以粒子的数密度为散射分析基础的一类散射计算方法[19]

根据上述技术途径,人们对尾流的动力学和散射特性进行了较深入的研究,得到了不同条件下产生的尾流的一系列特性。

(1) 晴空尾湍流:在晴空尾湍流动力学特性研究方面,具有代表性的研究团队有德国宇航中心(DLR)、比利时天主教鲁汶大学(Belgian Catholic University of Leuven, UCL)、美国国家航空宇航局(NASA)等,他们通过长期研究逐渐形成了一系列实用的飞机尾流动力学模型。在常用的飞机尾流速度模型(如Rankine模型、Lamb-Oseen模型、Hallock-Burnham模型等[20])的基础上,DLR的Frank Holzapfel等结合大涡模拟(LES)提出了D2P/P2P (Deterministic/Probabilistic 2-phase) 尾流演化模型[11,18,21,22],比利时天主教鲁汶大学的Winckelmans等提出了DVM/PVM (Deterministic/Probabilistic wake Vortex Model) 模型[23],NASA的Proctor等提出了TDAWP (TASS Driven Algorithmfor Wake Prediction)模型[24]等等,这些模型总体上来说在特定的环境下与真实情况吻合较好。近年来有专家提出将各种快速预测模型结合起来,并验证认为这可更好地对不同的条件的尾流行为进行预测[25]

晴空尾湍流的散射主要由尾流内部介电常数的起伏所致,其特性研究通常分两类方法。一类是基于Tatarskii随机湍流介质散射的理论,代表性的研究是美国NASA的Marshall等利用TASS仿真系统计算得到了晴空中飞机尾流的体散射率等重要散射参量[26],但相关特性结果与实验数据出入较大,有待进一步改进。另一类方法是近些年更受关注的基于飞机尾流层流特性的散射激励计算方法,主要的研究机构有美国NASA、Virginia理工大学、国防科技大学、法国国家航天航空研究中心(ONERA)、法国Thales公司等。在这类方法中,飞机尾流的散射场可表示为:

(1)

其中,Es是场点r处散射场, $ \displaystyle\prod\left( {{r}} \right) = \displaystyle\int \!\!\!{\int \!\!\!{\int_\varOmega {\Delta {\varepsilon _{\rm{r}}}} } } \left( {{{r}}'} \right)$ $\cdot {{E}}\left( {{{r}}'} \right){{G}}\left( {{{r}},{{r}}'} \right){{\rm{d}}^{\rm{3}}}{{r}}'$ 为Hertz矢量,W为尾流所在体积, ${\Delta {\varepsilon _{\rm{r}}}}$ 为尾流内部某点 $ {r}'$ 处的介电常数,E为总电场, ${{G}}\left( {{{r}},{{r}}'} \right) = {{\rm{e}}^{{\rm{i}}k\left| {{{r}}-{{r}}'} \right|}}{\large /} \left( 4{{π}} \left| {{{r}}-{{r}}'} \right| \right) $ 为Green函数,k为入射波波数。从Hertz矢量可以看出,飞机尾流的散射最终归结为3个关键问题的研究:①如何获得尾流介电常数 $\Delta {\varepsilon _{\rm{r}}}\left( {{{r}}'} \right)$ 的分布;②如何获得尾流体内电场E( $ {r}'$ )的分布;③如何快速精确地计算由Green函数导致的3维高振荡积分。从这个方程出发,美国NASA的K.Shariff研究尾流密度变化对应的 $\Delta {\varepsilon _{\rm{r}}}$ 对尾流散射的贡献[9],Virginia理工大学的T. J. Myers则研究了尾流水蒸汽浓度对应的 $\Delta {\varepsilon _{\rm{r}}}$ 对尾流散射的贡献[21,22];国防科技大学的李健兵等人在修正和改进K. Shariff和T. J. Myers等人工作的基础上,进一步提出了一种较完善的散射计算方案(建立了一种尾流的多因素混合介电常数模型[18],使用Born近似获取尾流内部电场并证明了Born近似的适用频率上限可达X波段[2729],发展了一套振荡积分快速计算方法[3034]),实现了全尺寸飞机尾流在常规雷达频段内的散射特性计算,发现了飞机尾流一系列重要的散射机理(如飞机尾流的RCS频率特性、RCS时域演化特性、飞机尾流的距离高分辨特性等等)[17,18,3538](如图4给出了飞机尾流RCS的频率特性、RCS时域演化特性)。此后,比利时天主教鲁汶大学(UCL)和法国国家航天航空研究中心(ONERA)使用类似方案对晴空尾流的散射特性进行了扩展研究[39]

图 4 晴空飞机尾流的散射特性

根据上述散射研究结果,虽然飞机尾流在不同的频段呈现很特殊的散射机理,但其散射强度总体而言较弱,这对发展相应的尾流探测雷达提出了严峻的挑战。因此在晴空条件下,人们关注更多的是使用激光雷达探测,因为其散射是基于空气里的浮尘和胶质体等,散射相对更强。

(2) 凝结尾迹:凝结尾迹研究的主要难点是其尾流运动对其内部成分相态变化影响的微物理过程,主要的研究团队包括欧洲科学计算研究中心和德国宇航中心。欧洲科学计算研究中心的科学家Paoli在NASA访学期间即与K.Shariff就凝结尾迹的动力学特性进行了较深入的研究[12,40],DLR科学家Schumann等则对凝结尾迹的微物理过程及组成进行了较深入的研究[6];此后经过若干年研究,相关成果更加精细[41],并已面向人工影响气象等领域开展了初步的应用研究。但当前的研究主要集中在动力学和组成分析层面,尚未见对其散射特性的研究。由于凝结尾迹内部包括丰富的水滴和冰晶,可望通过雷达进行探测,但亟需进行这些成分的雷达散射特性的分析。

(3) 降水条件下的尾流:降水条件通常包括雾、雨、雪等,其中雾和雨的研究比较充分,主要的研究团队包括Thales公司、国防科技大学等。总体上来说,对于降水条件下的飞机尾流,其动力学特性主要关注被卷入尾流的降水粒子(雾滴、雨滴、雪花/冰晶等)受尾流速度场的调制特征,此调制效应由粒子的尺度谱、阻力系数、牛顿曳力、重力等相关的运动微分方程主导[19,4245]

$\!\!\!\ \left\{ {\begin{aligned}& {\frac{{{\rm{d}}{{X}}}}{{{\rm{d}}t}} = {{V}}}\\& {\frac{{{\rm{d}}{{V}}}}{{{\rm{d}}t}} = {g}\left( {1 - \frac{{{\rho _{\rm{a}}}}}{{{\rho _{\rm{w}}}}}} \right) + \frac{{3{C_{\rm{d}}}}}{{4D}}\left| {{{V}} - {{U}}} \right|\left( {{{V}} - {{U}}} \right)}\\& {{{\left. {{X}} \right|}_{t{\rm{ = }}0}}{\rm{ = }}{{{X}}_0}}\\& {{{\left. {{V}} \right|}_{t{\rm{ = }}0}}{\rm{ = }}{{{V}}_{\rm{b}}} + {{{V}}_{\rm{T}}}}\end{aligned}} \right.$ (2)

其中,X是降水粒子所在位置,V是粒子速度,g是重力速度, $ \rho_{\rm a}$ $\rho_{\rm w} $ 分别为空气和水的密度,D为粒子尺寸,Cd为阻力系数,U是飞机尾流的速度场,X0为粒子初始分布,VT为降水粒子的下落末速度,Vb为速度背景风场。利用Runge-Kutta方法对上述运动方程进行仿真,可得到尾流中各种特征粒子的尺度、密度、速度等的时空分布。在此过程中,为减小海量粒子逐个计算所带来的巨大计算开销,可采用粒子数密度方法来对海量粒子的动力学特性进行高效处理[46]。另外需要注意的是,对于雾中尾流,由于雾滴的Stokes数(描述粒子受周围流场影响的一个无量纲数,当Stokes数远小于1时认为粒子具有弱惯性,否则应考虑粒子的惯性[47,48])非常小,所以可视为弱惯性粒子,其运动速度可直接由背景速度场(尾流和背景风场)描述。

根据动力学特征研究得到的不同天气条件下各种特征粒子的分布,结合数密度方法可以进一步计算得到相应的散射特性及雷达回波S

$S = \sqrt {\frac{{{P_{\rm{t}}}{G^2}{\lambda ^2}}}{{{{\left( {4{{π}} } \right)}^3}L}}} \sum\limits_\zeta {\frac{{{{\rm{e}}^{ - {\rm{i}}2 k{R_\zeta }}}}}{{R_\zeta^{\!2}}}} H\left( {{\theta _\zeta }} \right)\sqrt {\bar \sigma \left( {{R_\zeta }} \right)} $ (3)

其中,Pt, G, $ \lambda$ , k, L, H分别为雷达的发射功率、天线增益、波长、波数、损耗和天线方向系数, $ {{R_\zeta }}$ 为某体积单元离雷达天线的距离, ${\bar \sigma }$ 为体积单元内各粒子的等效雷达散射截面(RCS)

$\bar \sigma = \sum\limits_{{D_v}} N \left( {{D_v}} \right)\sigma \left( {{D_v}} \right)$ (4)

其中,N(Dv)为粒子尺度谱, $ \sigma$ (Dv)为尺寸Dv的单个粒子的RCS。需要注意的是,在计算粒子的RCS时,应针对不同的粒子尺寸和雷达波段采用合适的散射计算方法。当粒子的电尺寸远小于1时,可以采用Rayleigh散射进行计算,但当粒子的电尺寸较大时,需采用扩展的Mie散射方法进行计算[49]

利用上述技术途径,可仿真分析降雨条件下飞机尾流内部雨滴的运动特性(粒子运动轨迹和粒子数密度分布等),如图5(a)所示)[10,50,51];进一步地,在雨滴运动和分布特性的基础上得到了尾流的散射率分布,发现了两个涡核处雨滴空洞现象所对应的弱散射和涡核侧下方所呈现的强散射现象(如图5(b)所示),以及雨中尾流独特的多普勒特性[52,53]等等,很好地表明了尾流的近程可探测性。对雾中的尾流,理论上可以使用雨中尾流的研究方法,但考虑到雾滴的弱惯性,其动力学特性相对简单直接,结合散射特性研究得到了雾中尾流的多普勒特性等[43,54];对于雪中的情况,当前气象学领域虽有不少雪花本身的运动和散射分析[5557],但与尾流相结合的动力学和散射特性研究尚未见诸报导。

图 5 降雨条件下飞机尾流内部雨滴的动力学特征及散射回波[50]
4 飞机尾流的探测技术 4.1 探测实验

为验证飞机尾流的特性并对进一步的特性研究提供指导,人们进行了一系列的飞机尾流探测实验,采用的传感器主要包括微波雷达和激光雷达两类。

激光雷达的飞机尾流探测主要面向晴空大气条件(在雨雾条件下其往往因衰减过大而导致探测性能显著下降),其主要原理是通过探测尾流内部的浮尘和胶质体等来间接探测尾流,主要的研究团队包括德国DLR、俄罗斯科学院(Russian Academy of Sciences, RAS)、法国ONERA和Leosphere、英国QinetQ、日本JAXA等[5860];他们通过探测实验得到结论,激光雷达可以对晴空条件下的飞机尾流在近程上实现很好的探测。近些年来,国内在激光雷达的探风等方面亦有较突出的成果,相关设备和技术亦可应用于晴空飞机尾流的探测上来[61,62]

与激光雷达相比,微波雷达往往具有气象适应性好、衰减弱、造价低等优点,其主要通过尾流内部介电常数起伏(晴空条件下)和降水粒子(降水条件下)的散射来探测尾流,具有代表性的探测实验如下。

● 对于晴空飞机尾流,1980年Noonkester等就利用S波段雷达(3 GHz)探测了100~300 m距离上起航飞机的尾流[63]。1984年,Chadwick等利用相似的雷达(功率200 W)探测到起航飞机和降落飞机的尾流,探测距离小于1 km[64]。1994年,Nespor等利用C波段的1 MW脉冲雷达(5.6 GHz)探测到了2.7 km远处小型飞机的尾流[65]。最具代表性的实验是美国Lincoln实验室的Gilson等于1991年左右在太平洋的夸贾林环礁利用最高峰值功率2~7 MW的多普勒雷达测量了距离15 km的C-5A飞机尾流的RCS,该实验使用的雷达覆盖VHF, UHF, L, S, C, Ka波段,其中在Ka波段没有探测到尾流[66]。后来NASA的R. E. Marshall等利用9.3 GHz的X波段雷达所作的探测实验也未探测到飞机尾流,他们总结的原因一方面是当时使用的雷达获得回波的SNR低于预测值,另一方面是晴空尾流散射具有的高频截断特性使得其在X波段的散射率过低[67]。总体而言,晴空飞机尾流的雷达散射很弱,探测难度比较大。

● 对于降水条件下的尾流,自2006年以来,法国Thales公司在巴黎Orly机场和戴高乐机场利用X波段BOR-A550雷达进行了起飞和降落阶段飞机尾流测量实验,实现了500 m至7 km距离上尾流的雷达探测,得到了不同演化阶段的飞机尾流的时频特性[51,6877]。美国运输部于2009年使用W波段(94 GHz)雷达在Boston的Logan机场对附近的尾流进行了探测,并根据探测结果对尾流的散射强度、多普勒速度谱等进行了初步分析[78],如图6所示。这些探测实验表明,降水条件下飞机尾流的可探测性比较好,可为反演尾流的其他特征参数提供有力支撑。

图 6 美国交通运输部于2009年在Boston的Logan机场进行的W波段雷达探测尾流实验结果,从上图中可以看出尾流两涡心附近的低散射区域以及涡心下方的强散射区域,从下图则可以看出尾流速度分布的正负交错的双对顶结构

另外,NASA科学家K. Shariff针对晴空飞机尾流雷达散射较弱的问题,提出在飞机的机翼上加装水滴喷洒装置,喷洒的水滴进入尾流后将显著增加尾流的雷达散射,为相应的探测和参数反演提供有力支持[79]

通过上述一系列探测,人们普遍认为:①激光雷达对晴空尾流的探测性能较好(散射主要来自尾流中的浮尘、胶质体等),但在降水条件其衰减过强而难于满足尾流探测需求;②微波雷达在降水等条件下适用性较好。因此,当前主要采用的是激光雷达和微波相结合的尾流探测方案,以适应不同的天气条件。

4.2 飞机尾流的参数反演

在飞机尾流特性与探测实验的基础上,人们进一步研究了飞机尾流的特征参数反演技术。反演的主要特征参数包括尾流的速度环量及其衰减、涡心位置及涡间距等,其中速度环量是描述飞机尾流强度的一个最直接的量,备受关注。

对于晴空条件下的飞机尾流,比较常见的特征参数反演方法是基于激光雷达探测进行的[5860,8084],主要分两类:第1类属于速度包络匹配算法,通常首先根据速度包络估计涡心位置,再基于速度模型估计环量值;第2类属于模板匹配算法,这类算法通常建立尾流参数之间的数学模型,并通过多个测量单元数据,反求此模型得到尾流的特征参数。但需要说明的是,背景空气的参数估计(如风切变、湍流耗散率EDR等[74,85,86])对上述方法的参数反演质量具有重要的影响。

对于降水条件下的尾流,当前国际上主要集中在雨雾中尾流的环量反演。对于雾中的情况,国防科技大学的李健兵等基于Stokes理论和粒子弱惯性理论,提出了一种单站W波段雷达的雾中飞机尾流环量反演技术,可为航空安全中基于飞机尾流环量评估的自适应飞行、起降间隔管理提供重要的支撑[42,43]。因晴空条件下悬浮的浮尘亦具有类似的弱惯性,此方法亦可应用于晴空尾流的激光雷达探测中,并已成功应用于香港国际机场的激光雷达尾流探测数据上[87]

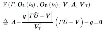
对于雨中的情况,法国Thales公司的F. Barbaresco等人在忽略雨滴惯性的情况下,建立了多普勒谱各阶谱矩与尾流环量的比例关系,但这种方法未考虑雨滴的变加速特性,对于毛毛雨以上降雨量的情况下将不再适用;另一方面,他们构建了不同条件下尾流的特性模板,继而基于模板匹配的方法研究了尾流的环量反演[51,74,77],这种方法可应用的降雨率范围增大,但对模板的依赖性很大,对于复杂条件下的鲁棒性仍难于保证。近年来,李健兵等人针对有降雨但无侧风条件下的飞机尾流,提出了一种基于尾流中特征散射尺寸雨滴变加速特性的环量反演技术,其主要原理是[50]:①利用雨滴谱和等效RCS方法获取给定降雨率下的特征尺寸雨滴,以及其对应的下落末速度;②基于特征尺寸雨滴的运动方程和尾流速度模型等建立一个与涡环量(G)、涡心位置(OLOR)、特征尺寸雨滴的速度(V)和加速度(A)的目标方程:

(5)

③基于多普勒分析和尾流的对称性,得到特征尺寸粒子的速度V,并进一步利用物质导数从速度V计算得到特征尺寸粒子相应的加速度A;④基于多个距离单元的数据,利用最优化理论求解目标方程估计得到特征参数涡环量( $\varGamma$ )和涡心位置(OLOR)。仿真实验表明该方法的反演精度和鲁棒性高,当前正在开展相关的探测实验对算法的性能进行验证,并进一步深入研究有背景风等相对复杂情况下尾流的参数反演问题。

从上述尾流探测与参数反演研究的现状来看,人们对晴空条件下基于激光雷达探测已有较深入的研究,但在雨雾条件下更适于采用天气适应性更好的微波雷达探测。通常地,雨雾等湿性条件下飞机尾流的微波雷达可探测性已得到验证,但基于微波雷达的尾流参数反演技术仅开展了无侧风等简单情况的研究。实际的天气情况往往相对复杂,这对相关的尾流参数反演提出了较大的挑战。以中国为例,南方易受雨雾影响,北方冬天易受降雪影响,而且霾的现象近年来也非常普遍,因此需要结合尾流最新的动力学、散射特性,发展上述典型气象条件下尾流最优的探测和参数反演方法。

5 总结与展望

综上所述,飞机尾流的探测是航空安全等领域新兴的科学问题。历经几十年的发展,人们在飞机尾流的探测方面已取得了诸多的研究成果,但离在航空安全等领域中的成功应用仍有一定的差距。

一方面,当前对于飞机尾流的研究已深入到各个角度,比如:

● 晴空条件下的尾湍流:研究比较充分,一般认为在近程探测时激光雷达具有较好的效果,并已逐渐在航空安全领域开展了验证性应用。

● 凝结尾迹:当前只在特性层面有一定的研究,后续的探测及参数反演技术还未有相关报导。

● 雾中尾流:特性、探测和参数反演方面均有一定的研究,一般认为高频段雷达(如W波段)具有较好的探测效果,这些理论还可应用到霾中尾流的雷达探测上来。

● 雨中尾流:主要研究了其特性并开展了一些探测实验,Thales公司在参数反演方向开展了一定的工作,但其方法并不鲁棒;国防科技大学李健兵等提出了新的参数反演方法,但当前主要是针对无侧风和尾流具有对称性等相对简单的情况。

● 雪中尾流:当前未见报导,由于中国北方的冰雪现象非常普遍,雪中的情况是一个需要特别关注的方向。

从雷达探测的角度总体来看,雨雾雪霾情况下飞机尾流的特性、探测和参数反演技术研究仍不充分,是需要重点关注的科学问题。

另一方面,当前尾流探测研究考虑的背景风场条件大多是平静空气或者简单的侧向风的情况,而实际情况下,背景风场往往包括复杂的湍流、风切变、近地面效应等,这些效应对尾流探测能力的影响是现有研究成果走向实用所必须回答的问题。

1 Introduction

Aircraft wake vortices are a pair of strong counter-rotating vortices produced by the pressure difference between the upper and lower wing surface during the flight (as shown in Fig. 1)[1], with characteristics of: large spatial size (hundreds of meters in cross section and thousands of meters in length), long duration (several to more than a dozen minutes), and intense rotation (velocity can be tens of meters per second). Investigations of the characteristics and detection of wake vortices have been urgently demanded in fields such as aviation safety and atmospheric physics.

图 1 Image of aircraft wake

Aircraft wake has attracted much attention in aviation safety field. As is known, aircraft wake is a strong irregular airflow. It could be very dangerous in aviation since it may cause a following aircraft to roll out of control (see Fig. 2). According to the statistics of National Transportation Safety Board, abut 1/3 of US aviation accidents were related to wake vortices between 1993 and 2000[2]; For example, an American Airlines Airbus A300 crashed shortly after taking-off at J. F. Kennedy Airport in New York in November 2001. It was caused by the wake of the previous aircraft and led 265 people to death, making it the second deadliest US aviation accident to date. To avoid such accidents, the International Civil Aviation Organization (ICAO) released a series of regulations about the minimum safety distance between flights based on the aircraft characteristics such as type, weight and size. These regulations can generally ensure the safety of flights most of time, but they are very conservative and are believed to have limited the flights’ density of the runway to a certain degree. In order to improve the airport capacity and reduce the delay rate, it is necessary to develop methods of aircraft wake detection and hazard assessment to adjust the taking-off and landing of aircraft in real time. Major ATM (Air Traffic Management) programs such as Single European Sky ATM Research (SESAR)[3] and Next Generation Air Transportation System (NGATS)[4] have supported many researches on this issue; China Civil Aviation has also put forward a similar ATM plan for air traffic management system[5]. At present, the main research institutions include Thales company, the French National Aerospace Research Center (ONERA), the German Aerospace Center (DLR), the U.S. National Aeronautics and Space Administration (NASA), the U.S. Department of Transportation (US-DOT), etc.. WakeNet conference is an annual symposium aims at bringing together experts from all over the world to discuss the impact and detection of aircraft wakes in aviation safety.

图 2 Aircraft wake and its impact on flight safety

In atmospheric physics, aircraft wake is an important object that can affect the local weather. Investigations on its characteristics and detection technology can provide important theoretical support for evaluating the impact of aviation industry on the thermal balance of the earth[6]. For example, Nature[7] and Science[8] papers reported that the presence of aircraft wake can change the phase of atmospheric water, resulting in very special natural phenomena such as condensation trails, piping cloud, and perforate cloud, etc. A great amount of them may affect the thermal radiation balance of the earth and the weather in a small area. Long term observations of weather changes around several large airports in the United States verify that aircraft wake has a significant influence on the weather in the small area around the airport.

To address the above problems, a lot of researches have been carried out in the past decades across the world, and a joint detection scheme of Lidar and radar has been gradually developed to adapt different weather conditions. In order to promote the research on aircraft wake, this paper gives a survey of the characteristics and detection technologies of wake, including: a simple classification of aircraft wake, dynamics and scattering characteristics of aircraft wake under different conditions, the detection of aircraft wake and parameter-retrieval of aircraft wake under different weather conditions.

2 The Classification of Aircraft Wakes

As shown in Fig. 3, aircraft wake vortices are typically classified into two categories in terms of meteorological conditions: clear air condition[9] and precipitation condition[10]. Under clear air condition, aircraft wake is further classified into wake turbulence[11] and contrail[12]. Wake turbulence, which attracts most attention in wake research, generally refers to “wingtip vortex turbulence”. Contrail is a phenomenon that the saturated water vapor inside wake turns into visible ice crystals and droplets after being cooled down by wake; it occurs frequently in high latitude areas in autumn and winter, and the visible long tail following a flight is a contrail. Under precipitation condition, there are rain, fog and snow cases. The wake generated under these different weather conditions tends to have different dynamics and scattering characteristics. China is a country with vast territory and complicated weather conditions, and it is of particular importance to study the characteristics and detection methods of aircraft wake under all these different meteorological conditions.

图 3 Classification and state-of-art of aircraft wake researches

The following part of this paper introduces the state-of-art of researches on characteristic and detection for wake under different meteorological conditions.

3 Dynamics and Scattering Characteristics of Aircraft Wake

The characteristics of wake vortices include two aspects: dynamics and scattering; their corresponding research methods are quite different.

● Research methods for the dynamics of wake vortices can be classified into three categories: ①Simulate the wake vortices of a full-size aircraft by Computational Fluid Dynamics (CFD) methods, such as Large Eddy Simulation (LES) method. Methods in this category can characterize the fine structures of wake vortices, but the extremely huge computation cost is generally beyond the capability of normal computers. ②Based on a good number of experiments and numerical simulations, some wake velocity and evolution models were proposed[13,14]; these models can provide the main characteristics of aircraft wake and the computation cost is small, so they are favorable in the preliminary analysis of wake dynamics characteristics. ③Utilize the LES method to simulate the wake vortices upon the initial conditions defined by the existing wake velocity profile models. This approach doesn’t have to mesh the aircraft and balances well between efficiency and accuracy, so it becomes more and more popular in wake dynamics simulations[12,15,16].

● Research methods of the scattering characteristics of wake vortices are classified into the following two categories in terms of different weather conditions: ①In clear air, the radar scattering of wake is mainly caused by the fluctuation of refractive index inside wake, therefore, it is necessary to solve the scattering integral equation of distributed soft target. However, due to the large scale, the wake vortices’ scattering calculation cost exceeds beyond the ability of conventional Computational Electro Magnetics (CEM) methods, so some new methods such as oscillatory integral calculation method have been developed[17,18]. ②In precipitation, the scattering of wake is dominated by the precipitation particles modulated by wake velocity. Therefore, it is necessary to calculate the scattering of massive particles, and the number concentration method has been proposed to simplify the calculation[19].

According to the above methods, the dynamics and scattering characteristics of wake have been studied in-depth, and a series of characteristics of wake generated under different conditions have been obtained.

(1) Wake vortices in clear air: For the dynamics characteristics of wake in clear air, the representative research institutes include the German Aerospace Center (DLR), Belgian Catholic University of Leuven (UCL), NASA, etc.. They have developed a series of practical wake dynamics models through long-term researches. Based on the existing aircraft wake velocity models (such as Rankine model, Lamb-Oseen model, Hallock-Burnham model, etc..[20]), Frank Holzapfel, et al. of DLR developed a D2P/P2P (Deterministic/Probabilistic, 2-phase) wake evolution model through a lot of Large Eddy Simulations (LES)[11,18,21,22], Winckelmans, et al. of Katholieke Universiteit Leuven proposed a DVM/PVM (Deterministic/Probabilistic wake Vortex Model) model[23], Proctor et al. of NASA provided a TDAWP (TASS Driven Algorithm for Wake Prediction) model[24], etc.. On the whole, each of these models agrees well with a certain practical scenario. In recent years, combination of these models has attracted special attention, and it is asserted that this can give good prediction of wake vortices’ behavior for different conditions[25].

The scattering of wake turbulence in clear air is mainly caused by the fluctuation of the dielectric constant in the wake, and researches on the characteristics are usually classified into two categories. One is based on the Tatarskii scattering theory of random turbulence medium, and the representative study was done by Marshall et al. of NASA based on TASS simulation system[26]. They obtained the radar reflectivity and many other characteristics, but some of them did not agree well with the experimental data. The other category is the scattering calculation method based on the laminar characteristics of wake vortices, and the main research institutions include: NASA, Virginia University of technology, National University of Defense Technology (NUDT), France National Aerospace Research Center (ONERA), Thales company, etc.. For methods in this category, the scattered electric field of wake can be expressed as:

(1)

where Es is the scattering filed at the point r, $ \displaystyle\prod \left( {{r}} \right) = \displaystyle\int \!\!\!{\int \!\!\!{\int_\varOmega {\Delta {\varepsilon _{\rm{r}}}} } } \left( {{{r}}'} \right)\cdot{{E}}\left( {{{r}}'} \right){{G}}\left( {{{r}},{{r}}'} \right){{\rm{d}}^{\rm{3}}}{{r}}'$ is the Hertz vector, W is the volume of wake, $ \Delta {\varepsilon _{\rm{r}}}$ is the dielectric constant at the point r’ in the wake, E is the total electric field, ${{G}}\left( {{{r}},{{r}}'} \right) \!=\! {{\rm{e}}^{{\rm{i}}k\left| {{{r}}-{{r}}'} \right|}}{\large /}$ $ \left( 4{{π}} \left| {{{r}}-{{r}}'} \right| \right) $ is the Green function, and k is the incident wave number. It can be seen from the Hertz vector that, the scattering of aircraft wake can be finally boiled down to three key issues: ①How to obtain the distribution of dielectric constant $\Delta {\varepsilon _{\rm{r}}}\left( {{{r}}'} \right)$ ? ②How to obtain the distribution of the electric field E( ${r}'$ ) inside the wake? ③How to calculate the three-dimensional high oscillatory integral caused by Green function? Based on Eq. (1), K. Shariff in NASA investigated the scattering of wake caused by the density variation[9] and Tao. Myers in Virginia Tech studied that caused by concentration variation of water vapor[21,22]. By modifying and improving the work of K. Shariff and Tao. Myers, Jianbing Li, et al. in National University of Defense Technology proposed a more comprehensive scheme. He developed a multi-factor mixed dielectric constant model for wake[18], verified the validity of obtaining internal electric field with Born approximation[2729], and developed a new rapid and accurate calculation method for oscillatory integrals[3034]. He also observed a series of important scattering mechanisms of wake vortices, such as RCS frequency characteristics, temporal evolution of RCS and high range resolution profile of wake vortices[17,18,3538]. As an example, the frequency dependence and temporal evolution characteristics of wake RCS are presented in Fig. 4. Thereafter, Katholieke Universiteit Leuven (UCL) and National Aeronautics and Space Research Center in France (ONERA) also studied the scattering characteristics of clear-air wake following the similar scheme[39].

图 4 Scattering characteristics of clear-air wake

Based on the above scattering results we can see that, although the clear-air wake vortices have special scattering mechanisms in different frequency bands, the radar scattering is basically very weak. This is a big challenge to the development of radar detection methods for clear-air wake vortices.

(2) Contrail: The most challenging work of contrail research is the simulation of particle microphysics, namely, the phase change of the particles caused by the dynamics of wake vortices. For contrail, the representative research institutes include CEFACS (European Science Computing Research Center) and DLR. Paoli in CEFACS has carried out in-depth studies of the dynamics of contrail[12,40], and Schumann, et al. in DLR well investigated the microphysics of contrail[6]. After years of efforts, the researches become increasingly mature[41], and some results have been applied to the artificial influence weather.

In principle, contrail can be detected by radar since it contains a big number of strong radar scattering particles (ice crystals, liquid water droplets). However, the current research mostly focuses on dynamics and components analysis, and no scattering analysis has been reported yet.

(3) Wake vortices in precipitation: The precipitation condition includes fog, rain, snow, etc.. So far, most of the research efforts for wake vortices in precipitation are paid on the rainy and foggy conditions, and the major research institutes include Thales company, National University of Defense Technology. Generally speaking, for the dynamics characteristics of wake in precipitation, the main concern is the velocity change of precipitation particles (droplets, raindrops, snowflakes/ice crystals, etc..) modulated by the wake velocity field. This modulation effect can be modeled by the motion equations related to the particle size, drag force coefficient, and velocity distribution[19,4245]:

$\left\{ {\begin{aligned}& {\frac{{{\rm{d}}{{X}}}}{{{\rm{d}}t}} = {{V}}}\\& {\frac{{{\rm{d}}{{V}}}}{{{\rm{d}}t}} = {g}\left( {1 - \frac{{{\rho _{\rm{a}}}}}{{{\rho _{\rm{w}}}}}} \right) \!+\! \frac{{3{C_{\rm{d}}}}}{{4D}}\left| {{{V}}\! -\! {{U}}} \right|\left( {{{V}} \!-\! {{U}}} \right)}\\& {{{\left. {{X}} \right|}_{t{\rm{ = }}0}}{\rm{ = }}{{{X}}_0}}\\& {{{\left. {{V}} \right|}_{t{\rm{ = }}0}}{\rm{ = }}{{{V}}_{\rm{b}}} + {{{V}}_{\rm{T}}}}\end{aligned}} \right.$ (2)

where X, X0, V, VT, D are respectively the real-time position, initial position, real-time velocity, terminal falling velocity and diameter of a given particle, g is gravity acceleration, ρa and ρw are the density of air and water respectively, Cd is the drag-force coefficient, U is the velocity field of the wake, and Vb is the background wind field. The above motion equations can be simulated by Runge-Kutta method, and then the temporal- and spatial- distributions of densities and velocities of characteristic particles in wake can be obtained. In this process, the number concentration method is adopted to simplify the dynamics simulation of the massive particles[46]. It should be mentioned that, the foggy case is easier to handle because the fog droplets’ velocities can be directly substituted by the ambient velocity field (wake vortices and background wind field) due to their weak inertia[47,48].

Based on the above approach, the particles inside a wake can be simulated under different weather conditions. Consequently, the radar echoes S can be further calculated as:

$S = \sqrt {\frac{{{P_{\rm{t}}}{G^2}{\lambda ^2}}}{{{{\left( {4{{π}} } \right)}^3}L}}} \sum\limits_\zeta {\frac{{{{\rm{e}}^{ - {\rm{i}}2 k{R_\zeta }}}}}{{R_\zeta^{\!2}}}} H\left( {{\theta _\zeta }} \right)\sqrt {\bar \sigma \left( {{R_\zeta }} \right)} $ (3)

where Pt, G, $ \lambda$ , k, L, H are the radar transmitting power, antenna gain, wave length, wave number, loss and antenna direction coefficient respectively, ${R_\zeta }$ is the distance of a volume to the radar antenna, and ${\bar \sigma }$ is the equivalent radar cross section of particles in a volume (RCS)

$\bar \sigma = \sum\limits_{{D_v}} N \left( {{D_v}} \right)\sigma \left( {{D_v}} \right)$ (4)

here N(Dv) is the particle size distribution, $\sigma$ (Dv) is the RCS of a single particle of size Dv. Generally, when the particle's electric size is much smaller than 1, the Rayleigh approximation can be used to calculate the RCS of this particle; otherwise, the extended Mie scattering method should be used instead[49].

By utilizing the above techniques, the motion characteristics (trajectory and number concentration distribution) of raindrops in the wake under rainfall conditions are simulated as shown in Fig. 5 (a)[10,50,51], and the reflectivity is simulated as shown in Fig. 5 (b). In Fig. 5 (b), two low reflectivity regions are observed around the two vortex cores, and two high reflectivity regions are observed on the low sides. Also the unique Doppler characteristic of the wake in rain[52,53] was observed. All these show good detectability of the wake.

图 5 Dynamics characteristics and scattering echoes of raindrops in the wake under rainy conditions[50]

In principle, the method for the rain case can also be used in fog case, but the latter is easier to study due to the weak inertia of fog droplets[43,54]. For the wake in snow, even though there are a lot of motion and scattering analysis of snowflakes in meteorology[5557], the dynamics and scattering characteristics modulated by wake have not been studied.

4 Detection Technologies of Aircraft Wake 4.1 Detection experiments

In order to verify the existing characteristics and develop proper detection methods, a series of radar and Lidar detection experiments of wake vortices have been carried out.

Lidar detection of wake vortices is generally favorable in clear air condition since the aerosols in the wake can be well observed by Lidar, but its performance tends to degenerate evidently under precipitation condition due to its heavy attenuation. The main research institutes of wake vortices Lidar detection include DLR, Russian Academy of Sciences (RAS), ONERA, Leosphere, QinetQ, and JAXA[5860]. Based on the detection experiments, it is widely accepted that Lidar can well detect clear-air wake vortices within short ranges. In recent years, Lidar detection of wind field has also been well developed in China, and some devices and technologies can be applied to the clear-air wake detection[61,62].

Compared with Lidar, the radar usually has the advantages of good weather adaptability, weak attenuation and low cost. Radar detects the wake vortices by sensing the dielectric constant fluctuation (clear air condition) or precipitation particles (precipitation conditions). Some of the representative detection experiments are as follows.

● For the clear-air wake vortices, Noonkester, et al. managed to detect the aircraft's wake at 100–300 m in 1980 with a S band radar (3 GHz)[63]. In 1984, Chadwick et al. detected the wake of taking-off and landing aircrafts at a distance of less than 1 km with a similar radar[64]. In 1994, Nespor et al. successfully detected the wake of a small aircraft at 2.7 km with a C band pulsed radar (1 MW, 5–6 GHz)[65]. In those years, the most representative experiment was carried out by Gilson et al. of Lincoln laboratory around Kwajalein in 1991. In their experiments, the RCS of a C-5A aircraft’s wake was measured at 15 km with radars of VHF, HF, L, S, C and Ka bands, but the wake was not detected at Ka band[66]. Later, R. E. Marshall, et al. from NASA tried to detect the wake using an X band radar (9.3 GHz), but also failed. The reason they concluded was that the radar echo SNR was lower than prediction, and the rapid decrease of clear-air wake vortices’ RCS at high frequency makes the scattering in the X band too low to detect[67]. From these experiments, it is concluded that the radar detection of clear-air wake vortices is possible, but very specific radars are required.

● For the wake in precipitation, Thales company managed to detect the wake vortices of landing and taking-off aircrafts at distances from 500 m to 2 km with the BOR-550 radar (X band) around Orly airport and Charles De Gaulle airport, and the time-frequency patterns of the wake vortices of different ages can be found in[50,6877]. The U. S. Department of Transportation used a W band radar (94 GHz) to detect the wake vortices around Boston’s Logan airport in 2009, and the reflectivity and Doppler velocity spectra of the wake were also analyzed[78] (see Fig. 6). These experiments show that aircraft wake in precipitation is easy to detect.

图 6 Wake detection results from W band radar carried out by the U. S. Department of Transportation at the Logan airport in Boston in 2009. The low scattering region near the two vortex cores and the high scattering region below the two vortex cores are observed from the upper figure. From the figure below, the crossover structure of positive-negative Doppler velocities is observed

Recently, K. Shariff at NASA proposed to improve the scattering of clear-air wake vortices by spraying water into them. This is an interesting idea and could greatly enhance the detectability of wake vortices even under clear air condition[79].

Based on the above experiments, it is generally believed that: ①Lidar has better detection performance for clear-air wake (the scattering mainly comes from dust particles, aerosols, etc.), but its performance degenerates greatly in precipitation due to the heavy attenuation. ②Radar is more favorable for precipitation case and other conditions. Therefore, jointly using Lidar and radar to detect the wake for different conditions is regarded as the most feasible scheme so far.

4.2 Parameter retrieval of aircraft wake vortices

Based on the aircraft wake characteristics, the parameter-retrieval of aircraft wake was also studied. The main parameters to be retrieved include the vortex circulation and the vortex-core positions. In principle, the circulation can well describe the strength of a wake, and the vortex-core positions indicate where the wake is.

For clear-air wake vortices, the parameter-retrieval algorithms are usually based on Lidar sensing[5860,8084], and they can be divided into two groups. The first group includes the velocity envelope extraction algorithms, in which the vortex-core positions are first estimated based on velocity envelope, and then the circulation is obtained through existing velocity profile models. The second group includes the template matching algorithms, in which the target parameters are numerically solved from a multi-parameter mathematical model when enough measurement data are available. In these algorithms, the estimation of background wind parameters (such as wind shear, turbulent dissipation rate, eddy dissipation rate, etc..[74,85,86]) could have crucial influences on the parameter-retrieval quality.

For parameter-retrieval methods of vortices generated in precipitation, most of the efforts were made for rainy and foggy conditions. For fog condition, by taking into account the stokes theory and weak inertia of fog droplets, Jianbing Li et al. proposed a circulation retrieval algorithm with a monostatic W band radar[42,43]. Since the aerosols have similar weak inertia as fog droplets, this method also works for Lidar detection of clear-air wake, and it has been successfully applied to the Lidar detection data at Hong Kong International Airport[87].

For the rainy condition, F. Barbaresco et al. in Thales established a relationship between the Doppler spectra moments and wake circulation, but the relationship should only work for the drizzle condition because they didn’t consider the inertia of raindrops. They also tried to do the parameter-retrieval according to the empirical templates of wake vortices, but the generality is a controversy[51,74,77]. In recent years, Jianbing Li et al. proposed a circulation retrieval method based on the motion equation of characteristic-size raindrops when no cross-wind is taken into account. The main principle is[50]: ①The characteristic-size raindrops are obtained from equivalent RCS method. ②Based on the existing wake vortices velocity model and motion equation of the characteristic-size raindrops, a governing equation related to circulation (G), vortex-core positions (OL and OR), velocity (V) and acceleration (A) of characteristic-size raindrops is established:

(5)

③The velocity V of characteristic-size raindrops is obtained from the symmetry of wake. Furthermore, the corresponding acceleration A can be obtained by applying the material derivative to the velocity V with material derivative. ④Get the target parameters (circulation $ \varGamma$ and the vortex-core positions OL and OR) by solving the governing equation with an optimization method when enough measurement data are available. Simulation results show that the proposed method has good accuracy and robustness.

From the statements above, it is seen that Lidar detection of wake vortices has been studied well under clear air condition, but radar is a more favorable sensor under precipitation conditions. For parameter-retrieval with radar, only some simple cases (free of cross-wind for example) have been investigated. The actual weather conditions tend to be complex, which poses a great challenge for the existing retrieval methods. Therefore, it is necessary to combine the latest dynamics and scattering characteristics to develop practical wake vortex parameter-retrieval methods for different meteorological conditions.

5 Conclusions and Prospects

In conclusion, the detection of aircraft wake is an issue deserving special attention in aviation safety and some other fields. After decades of efforts, many research findings have been obtained, but there is still a long way to go before the successful applications of them.

On the one hand, the research on aircraft wake has been well developed for different aspects, for example:

● Wake turbulence in clear air: a lot of researches have been done under this condition. It is believed that radar reflectivity of wake turbulence is very weak, but Lidar can perform well for the short-range detection of it. Also, some of the Lidar detection and parameter-retrieval methods have been well verified during experiments and applications.

● Contrail: some of its characteristics have been studied, but the detection and parameter-retrieval have not been investigated yet.

● Wake in fog: researches have covered the characteristics, detection and parameter-retrieval. Generally speaking, the high frequency band radar (such as Ka or W band) is believed to have better detection performance. These theories can also be applied to radar detection of wake in haze.

● Wake in rain: efforts were made on its characteristics and detection experiments. Thales company has done some work on the parameter-retrieval, but they neglected the inertia of raindrops and the robustness is a controversy. Jianbing Li et al. put forward a new parameter-retrieval method by taking the raindrops’ inertia into account, but it is restricted to some simple cases (free of cross-wind) so far.

On the other hand, more comprehensive researches are required. The radar detection of wake vortices under rainy and foggy conditions has been verified, but no report is available for snowy condition. This condition deserves more attention since snowing is actually a very common phenomenon across the world. For parameter-retrieval under rainy condition, more efforts should be made to extend the current method from simple cases to more complex ones. Potentially, it can also be extend to snowy condition. Also the wind field conditions are mostly assumed to be static or just with simple cross-wind in the current research on wake. While in fact, the turbulence, wind shear and near ground effect will make the case very complex. These issues have to be solved before the existing research results become applicable in practice.

参考文献
[1] Yang Zuo-sheng and Yu Shou-qin. Aircraft Components Aerodynamics[M]. Beijing: Aviation Industry Press, 1987. (0)
[2] VeilletteP R. Data show that U.S. Wake-turbulence accidents are most frequent at low altitude and during approach and landing[J]. Flight Safety Digest, 2002, 21(3/4): 1-47. (0)
[3] Astheimer T, Hilton D, Baldoni C, et al.. SESAR master plan[R]. DLM-0710-001-02-00, Brussels: SESAR, 2008. (0)
[4] Curry P A, Burden J, and Lundy G A. Next Generation Automatic Test System (NGATS) update[C]. Proceedings of 2006 IEEE Autotestcon, Anaheim, CA, 2006: 318–322. (0)
[5] LvXiao-ping. General framework of China’s new-generation civil aviation ATM system[J]. China Civil Aviation, 2007(8): 24-26. (0)
[6] SchumannU, JebbergerP, VoigtC. Contrail ice particles in aircraft wakes and their climatic importance[J]. Geophysical Research Letters, 2013, 40(11): 2867-2872. DOI:10.1002/grl.50539 (0)
[7] TravisD J, CarletonA M, LauritsenR G. Climatology: Contrails reduce daily temperature range[J]. Nature, 2002, 418(6898): 601 (0)
[8] HeymsfieldA J, ThompsonG, MorrisonH, 等. Formation and spread of aircraft-induced holes in clouds[J]. Science, 2011, 333(6038): 77-81. DOI:10.1126/science.1202851 (0)
[9] ShariffK, WrayA. Analysis of the radar reflectivity of aircraft vortex wakes[J]. Journal of Fluid Mechanics, 2002, 463(1): 121-161. (0)
[10] Liu Zhong-xun. Modeling of Radar signatures of wake vortices[D]. [Ph.D. dissertation], Institut Supérieur de I’Aéronautique et de I’Espace (ISAE), 2013. (0)
[11] Tittsworth J A, Lang S R, Johnson E J, et al.. Federal aviation administration wake turbulence program-recent highlights[C]. 57th Air Traffic Control Association (ATCA) Annual Conference & Exposition, Maryland, 2012. (0)
[12] PicotJ, PaoliR, ThouronO, 等. Large-eddy simulation of contrail evolution in the vortex phase and its interaction with atmospheric turbulence[J]. Atmospheric Chemistry and Physics, 2015, 15(13): 7369-7389. DOI:10.5194/acp-15-7369-2015 (0)
[13] Ahmad N N, Proctor F H, Duparcmeur F M L, et al.. Review of idealized aircraft wake vortex models[C]. 52nd Aerospace Sciences Meeting, National Harbor, Maryland, 2014. (0)
[14] Proctor F H and Hamilton D W. Evaluation of fast-time wake vortex prediction models[C]. 47th AIAA Aerospace Sciences Meeting including the New Horizons Forum and Aerospace Exposition, Orlando, Florida, 2009. (0)
[15] HolzäpfelF, RobinsR E. Probabilistic two-phase aircraft wake vortex model: Application and assessment[J]. Journal of Aircraft, 2004, 41(5): 1117-1126. DOI:10.2514/1.2280 (0)
[16] SpenceG T, Le MoigneA, AllertonD J, 等. Wake vortex model for real-time flight simulation based on large eddy simulation[J]. Journal of Aircraft, 2007, 44(2): 467-475. DOI:10.2514/1.23761 (0)
[17] Li Jian-bing, Wang Xue-song, and Wang Tao. Scattering mechanism of aircraft wake vortices generated in clear air[C]. Proceedings of 2010 IEEE Radar Conference, Washington, DC, 2010: 117–122. (0)
[18] LiJian-bing, WangXue-song, WangTao. Modeling the dielectric constant distribution of wake vortices[J]. IEEE Transactions on Aerospace and Electronic Systems, 2011, 47(2): 820-831. DOI:10.1109/TAES.2011.5751228 (0)
[19] LiuZhong-xun, JeanninN, VincentF, 等. Modeling the radar signature of raindrops in aircraft wake vortices[J]. Journal of Atmospheric and Oceanic Technology, 2013, 30(3): 470-484. DOI:10.1175/JTECH-D-11-00220.1 (0)
[20] GerzT, HolzäpfelF, DarracqD. Commercial aircraft wake vortices[J]. Progress in Aerospace Sciences, 2002, 38(3): 181-208. DOI:10.1016/S0376-0421(02)00004-0 (0)
[21] Myers T J. Determination of bragg scatter in an aircraft generated wake vortex system for radar detection[D]. [Ph.D. dissertation], Virginia Polytechnic Institute and State University, 1997. (0)
[22] MyersT J, ScalesW A, MarshallR E. Determination of aircraft wake vortex Radar cross section due to coherent bragg scatter from mixed atmospheric water vapor[J]. Radio Science, 1999, 34(1): 103-111. DOI:10.1029/98RS02776 (0)
[23] Winckelmans G, Duquesne T, Treve V, et al.. Summary description of the models used in the vortex forecast system (VFS)[R]. Louvain-la-Neuve, Belgium: University Catholique de Louvain, 2005. (0)
[24] Proctor F H, Hamilton D W, and Switzer G F. Tass driven algorithms for wake prediction[C]. 44th AIAA Aerospace Sciences Meeting and Exhibit, Reno, Nevada, 2006. (0)
[25] Koerner S and Holzapfel F N. Multi-model ensemble wake vortex prediction-further development and probabilistic assessment (invited)[C]. 8th AIAA Atmospheric and Space Environments Conference, Washington, D.C., 2016. (0)
[26] Marshall R E, Mudukutore A, and Wissel V L H. Radar reflectivity in wingtip-generated wake vortices[R]. NASA/CR-97-206259. Hampton, Virginia: NASA, 1997. (0)
[27] LiJian-bing, WangXue-song, WangTao. A rigorous criterion to identify the validity of the Born approxi-mation[J]. Chinese Physics B, 2009, 18(8): 3174-3182. DOI:10.1088/1674-1056/18/8/014 (0)
[28] LiJian-bing, WangXue-song, WangTao. On the validity of born approximation[J]. Progress in Electromagnetics Research, 2010, 107(4): 219-237. (0)
[29] WangWei, LiJian-bing, NiuFeng-liang. A revisit to the validity of Born approximation in high frequency scattering problems[J]. Microwave and Optical Technology Letters, 2012, 54(12): 2792-2797. DOI:10.1002/mop.v54.12 (0)
[30] LiJian-bing, WangXue-son, WangTao. A universal solution to one-dimensional oscillatory integrals[J]. Science in China Series F: Information Sciences, 2008, 51(10): 1614-1622. DOI:10.1007/s11432-008-0121-2 (0)
[31] LiJian-bing, WangXue-song, XiaoShun-ping, 等. A rapid solution of a kind of 1D fredholm oscillatory integral equation[J]. Journal of Computational and Applied Mathematics, 2012, 236(10): 2696-2705. DOI:10.1016/j.cam.2012.01.007 (0)
[32] LiJian-bing, WangXue-song, WangTao, 等. On an improved-Levin oscillatory quadrature method[J]. Journal of Mathematical Analysis and Applications, 2011, 380(2): 467-474. DOI:10.1016/j.jmaa.2011.03.055 (0)
[33] LiJian-bing, WangXue-song, WangTao, 等. Delaminating quadrature method for multi-dimensional highly oscillatory integrals[J]. Applied Mathematics and Computation, 2009, 209(2): 327-338. DOI:10.1016/j.amc.2008.12.061 (0)
[34] LiJian-bing, WangXue-song, WangTao, 等. An improved levin quadrature method for highly oscillatory integrals[J]. Applied Numerical Mathematics, 2010, 60(8): 833-842. DOI:10.1016/j.apnum.2010.04.009 (0)
[35] Li Jian-bing. Study on the Radar Characteristics of Aircraft Wake Vortices[M]. Changsha: National University of Defense Technology Press, 2015. (0)
[36] LiJian-bing, WangXue-song, WangTao, 等. High range resolution profile of simulated aircraft wake vortices[J]. IEEE Transactions on Aerospace and Electronic Systems, 2012, 48(1): 116-129. DOI:10.1109/TAES.2012.6129624 (0)
[37] Li Jian-bing, Wang Xue-song, Wang Tao, et al.. Study on the scattering characteristics of stable-stage wake vortices[C]. Proceedings of IEEE International Radar Conference, Bordeaux, Sep. 2009: 1–5. (0)
[38] WangXue-song, LiJian-bing, QuLong-hai, 等. Temporal evolution of the RCS of aircraft wake vortices[J]. Aerospace Science and Technology, 2013, 24(1): 204-208. DOI:10.1016/j.ast.2011.11.008 (0)
[39] Brion V and Jeannin N. Radar sensing of wake vortices in clear air—A feasibility study[C]. WakeNet-Europe Workshop 2013, Paris, 2013. (0)
[40] PaugamR, PaoliR, CariolleD. Influence of vortex dynamics and atmospheric turbulence on the early evolution of a contrail[J]. Atmospheric Chemistry and Physics, 2010, 10(8): 3993-3952. (0)
[41] PaoliR, ShariffK. Contrail modeling and simulation[J]. Annual Review of Fluid Mechanics, 2016, 48: 393-427. DOI:10.1146/annurev-fluid-010814-013619 (0)
[42] LiJian-bing, WangTao, LiuZhong-xun, 等. Circulation retrieval of wake vortex in fog with a side-looking scanning Radar[J]. IEEE Transactions on Aerospace and Electronic Systems, 2016, 52(5): 2242-2254. DOI:10.1109/TAES.2016.150635 (0)
[43] LiJian-bing, WangTao, QuLong-hai, 等. Circulation retrieval of wake vortex in fog with an upward-looking monostatic Radar[J]. IEEE Transactions on Aerospace and Electronic Systems, 2016, 52(1): 169-180. DOI:10.1109/TAES.2015.140901 (0)
[44] Li Jian-bing, Wang Tao, and Wang Xue-song. Radar scattering analysis of wake vortex under different weather conditions[C]. Proceedings of Progress in Electromagnetic Research Symposium (PIERS), Shanghai, China, 2016: 909–913. (0)
[45] LiJian-bing, WangXue-song, WangTao, 等. Circulation retrieval of wake vortex under rainy condition with a vertically pointing Radar[J]. IEEE Transactions on Aerospace and Electronic Systems, 2017, 53(4): 1893-1906. DOI:10.1109/TAES.2017.2675198 (0)
[46] Pruppacher H R and Klett J D. Microphysics of Clouds and Precipitation[M]. Berlin, Germany: Springer, 2010. (0)
[47] Brennen C E. Fundamentals of Multiphase Flows[M]. Cambridge, U.K.: Cambridge University Press, 2009. (0)
[48] Streeter V L, Wylie E B, and Bedford K W. Fluid Mechanics[M]. Ninth edition, New York: McGraw-Hill, 1998. (0)
[49] Bringi V N and Chandrasekar V. Polarimetric Doppler Weather Radar: Principles and Applications[M]. Cambridge, U.K.: Cambridge University Press, 2005. (0)
[50] LiJian-bing, GaoHang, LiYong-zhen, 等. Circulation retrieval of simulated wake vortices under rainy condition with a side-looking scanning radar[J]. IEEE Transactions on Aerospace and Electronic Systems, 2017 DOI:10.1109/TAES.2017.2760799.(inPress) (0)
[51] BarbarescoF, BrionV, BarbarescoN. Radar wake-vortices cross-section/Doppler signature characterisation based on simulation and field tests trials[J]. IET Radar, Sonar & Navigation, 2016, 10(1): 82-96. (0)
[52] NiuFeng-liang, WangWei, WangTao, 等. Study on radar characteristics for aircraft wake under the rainfall[J]. Journal of Air Force Radar Academy, 2013, 27(2): 95-99. DOI:10.3969/j.issn.2095-5839.2013.02.005 (0)
[53] GuoChen, WangTao, LiJian-bing, 等. Circulation estimation of wake vortex in cloudy and mist conditions[J]. Modern Radar, 2015, 37(6): 10-15. DOI:10.3969/j.issn.1004-7859.2015.06.003 (0)
[54] WangTao, QuLong-hai, GuoChen, 等. The millimeter band Doppler characteristics of wake vortices in cloudy and foggy[J]. Journal of Infrared and Millimeter Waves, 2014, 33(4): 412-419. DOI:10.11972/j.issn.1001-9014.2014.04.016 (0)
[55] TyyneläJ, ChandrasekarV. Characterizing falling snow using multifrequency dual-polarization measurements[J]. Journal of Geophysical Research: Atmospheres, 2014, 119(13): 8268-8283. DOI:10.1002/2013JD021369 (0)
[56] SzyrmerW, ZawadzkiI. Snow studies. Part II: Average relationship between mass of snowflakes and their terminal fall velocity[J]. Journal of the Atmospheric Sciences, 2010, 67(10): 3319-3335. DOI:10.1175/2010JAS3390.1 (0)
[57] TyyneläJ, LeinonenJ, MoisseevD, 等. Radar backscattering from snowflakes: Comparison of fractal, aggregate, and soft spheroid models[J]. Journal of Atmospheric and Oceanic Technology, 2011, 28(11): 1365-1372. DOI:10.1175/JTECH-D-11-00004.1 (0)
[58] Banakh V and Smalikho I. Coherent Doppler Wind Lidars in A Turbulent Atmosphere[M]. London: Artech House Books, 2013. (0)
[59] FrankH, ThomasG, FriedrichK, 等. Strategies for circulation evaluation of aircraft wake vortices measured by Lidar[J]. Journal of Atmospheric and Oceanic Technology, 2003, 20(8): 1183-1195. DOI:10.1175/1520-0426(2003)020<1183:SFCEOA>2.0.CO;2 (0)
[60] KöppF, RahmS, SmalikhoI, 等. Comparison of wake-vortex parameters measured by pulsed and continuous-wave Lidars[J]. Journal of Aircarft, 2005, 42(4): 916-923. DOI:10.2514/1.8177 (0)
[61] XiaHai-yun, ShangguanMing-jia, WangChong, 等. Micro-pulse upconversion Doppler Lidar for wind and visibility detection in the atmospheric boundary layer[J]. Optics Letters, 2016, 41(22): 5218-5221. DOI:10.1364/OL.41.005218 (0)
[62] ShangguanMing-jia, XiaHai-yun, WangChong, 等. All-fiber upconversion high spectral resolution wind Lidar using a fabry-perot interferometer[J]. Optics Express, 2016, 24(17): 19322-19336. DOI:10.1364/OE.24.019322 (0)
[63] NoonkesterV R, RichterJ H. Fm-cw radar sensing of the lower atmosphere[J]. Radio Science, 1980, 15(2): 337-353. DOI:10.1029/RS015i002p00337 (0)
[64] Chadwick R B, Jordan J, and Detman T. Radar detection of wingtip vortices[C]. 9th Conference on Aerospace and Aeronautical Meteorology, Omaha, NE, 1983. (0)
[65] Nespor J D, Hudson B, Stegall R L, et al.. Doppler radar detection of vortex hazard indicators[C]. NASA Langley Research Center, Airborne Windshear Detection and Warning Systems. Fifth and Final Combined Manufacturers’ and Technologists’ Conference, Moorestown, NJ, 1994: 651–688. (0)
[66] Gilson W H. Radar Measurements of Aircraft Wakes, Project Report AAW-11[M]. Lexington, MA: MIT, 1992. (0)
[67] Marshall R E, Mudukutore A, Wissel V L H, et al.. Three-centimeter doppler radar observations of wingtip-generated wake vortices in clear air[R]. NASA/CR-97-206260. Hampton, Virginia: National Aeronautics and Space Administration, 1997. (0)
[68] BarbarescoF. Wake vortex safety & capacity system[J]. Journal of Air Traffic Ccontrol, 2007, 29: 17-32. (0)
[69] Barbaresco F, Orlandi F, and Juge P. European FP7 UFO project " ultra-fast wind sensors for wake-vortex hazards mitigation”[C]. WakeNet-Europe Workshop, Paris, 2013. (0)
[70] Barbaresco F, Jeantet A, and Meier U. Wake vortex detection & monitoring by X-band Doppler radar: Paris orly radar campaign results[C]. Proceedings of IET International Conference on Radar Systems, Edinburgh, 2007: 1–5. (0)
[71] Barbaresco F, Jeantet A, and Meier U. Wake vortex monitoring campaigns using X-band radar[C]. International Radar Symposium, Hamburg, Sep. 2009. (0)
[72] Barbaresco F, Juge P, Klein M, et al.. Boom of airport capacity based on wake-vortex hazards mitigation sensors and systems[C]. Airports in Urban Networks, Paris, 2014. (0)
[73] Barbaresco F, Juge P, Moneuse J F, et al.. Wake vortex detection, prediction and decision support tools in SESAR program[C]. Proceedings of 2013 IEEE/AIAA 32nd Digital Avionics Systems Conference, East Syracuse, NY, 2013: 6B1-1–6B1-15. (0)
[74] Barbaresco F, Juge P, Bruchec P, et al.. Eddy Dissipation Rate (EDR) retrieval with ultra-fast high range resolution electronic-scanning X-band airport radar: Results of European fp7 ufo toulouse airport trials[C]. Proceedings of 2015 European Radar Conference (EuRAD), Paris, 2015: 145–148. (0)
[75] Barbaresco F, Jeantet A, and Meier U. Wake vortex X-band radar monitoring: Paris-CDG airport 2008 campaign results & propspectives[C]. Proceedings of International Radar Conference, Bordeaux, Sep. 2009: 1–6. (0)
[76] BarbarescoF, MeierU. Radar monitoring of a wake vortex: Electromagnetic reflection of wake turbulence in clear air[J]. Comptes Rendus Physique, 2010, 11(1): 54-67. DOI:10.1016/j.crhy.2010.01.001 (0)
[77] BarbarescoF, ThoboisL, Dolfi-BouteyreA, 等. Monitoring wind, turbulence and aircraft wake vortices by high resolution RADAR and LIDAR remote sensors in all weather conditions[J]. EMBO Reports, 2015, 7(11): 1140-1146. (0)
[78] Seliga T A and Mead J B. Meter-scale observations of aircraft wake vortices in precipitation using a high resolution solid-state W-band Radar[C]. 34th Conference on Radar Meteorology, Williamsburg, Oct. 2009. (0)
[79] ShariffK. Making aircraft vortices visible to Radar by spraying water into the wake[J]. Journal of Atmospheric and Oceanic Technology, 2016, 33(12): 2615-2638. DOI:10.1175/JTECH-D-16-0066.1 (0)
[80] Delisi D P, Pruis M J, Wang F Y, et al.. Estimates of the initial vortex separation distance, b0, of commercial aircraft from pulsed Lidar data[C]. 51st AIAA Aerospace Sciences Meeting including the New Horizons Forum and Aerospace Exposition, Texas, Jan. 2013. (0)
[81] SmalikhoI N, BanakhV A. Estimation of aircraft wake vortex parameters from data measured with a 1.5-μm coherent Doppler Lidar[J]. Optics Letters, 2015, 40(14): 3408-3411. DOI:10.1364/OL.40.003408 (0)
[82] Jacob D, Pruis M J, Lai Y D, et al.. Wakemod 4.1: A new standalone wake vortex algorithm for estimating circulation strength and position[C]. 7th AIAA Atmospheric and Space Environments Conference, Dallas, TX, 2015. (0)
[83] Jacob D, Lai Y D, and Delisi P D. Assessment of Lockheed martin’s aircraft wake vortex circulation estimation algorithms using simulated Lidar data[C]. 3rd AIAA Atmospheric Space Environments Conference, Honolulu, Hawaii, Jun. 2011. (0)
[84] Thobois L P, Krishnamurty R, Cariou J P, et al.. Wind and EDR measurements with scanning Doppler Lidars for preparing future weather dependent separation concepts[C]. 7th AIAA Atmospheric and Space Environments Conference, Dallas, TX, 2015. (0)
[85] HaverdingsH, ChanP W. Quick access recorder data analysis software for windshear and turbulence studies[J]. Journal of Aircarft, 2010, 47(4): 1443-1446. DOI:10.2514/1.46954 (0)
[86] HonK K, ChanP W. Terrain-induced turbulence intensity during tropical cyclone passage as determined from airborne, ground-based, and remote sensing sources[J]. Journal of Atmospheric and Oceanic Technology, 2014, 31(11): 2373-2391. DOI:10.1175/JTECH-D-14-00006.1 (0)
[87] Li Jian-bing, Chan P W, Wang Tao, et al.. Circulation retrieval of wake vortex with a side-looking scanning Lidar[C]. Proceedings of 2016 CIE International Conference on Radar (RADAR), Guangzhou, China, 2016: 1–4. (0)