«上一篇
文章快速检索     高级检索
下一篇»
  雷达学报  2018, Vol. 7 Issue (1): 67-74  DOI: 10.12000/JR17096
0

引用本文  

孙旺, 李粮生, 张景, 等. 太赫兹波段碲化镉介电常数的理论与实验研究[J]. 雷达学报, 2018, 7(1): 67-74. DOI: 10.12000/JR17096.
Sun Wang, Li Liangsheng, Zhang Jing, et al. Theoretical and experimental study on the permittivity of cdte in the terahertz band[J]. Journal of Radars, 2018, 7(1): 67-74. DOI: 10.12000/JR17096.

基金项目

国家自然科学基金(6149069502)

通信作者

李粮生   liliangshengbititp@163.com

作者简介

孙 旺(1993–),男,硕士研究生,研究方向为太赫兹波段材料的密度泛函方法;
李粮生(1981–),男,研究员,研究方向为太赫兹技术、量子技术和统计物理;
张 景(1987–),男,博士后,研究方向为太赫兹测量技术;
殷红成(1967–),男,研究员,博士生导师,主要研究方向为电磁散射、雷达目标特性、目标识别等

文章历史

收稿日期:2017-11-03
改回日期:2018-01-21
网络出版:2018-02-01
太赫兹波段碲化镉介电常数的理论与实验研究
孙旺, 李粮生, 张景, 殷红成    
(电磁散射重点实验室   北京   100854)
摘要:该文采用密度泛函理论研究了闪锌矿型碲化镉的声子色散谱、特征向量及晶格振动频率,获得了碲化镉介电常数随频率变化的理论值。通过太赫兹时域光谱系统测量碲化镉单晶的介电常数,该实验结果与局域密度近似修正、广义梯度近似修正和广义梯度近似修正的计算结果吻合较好。最后,3种近似交换关联势的计算结果之间存在一定差异性,该差异性结果表明太赫兹波段碲化镉的介电常数由电子声子耦合所主导,但是横波和纵波声子频率敏感于电子密度分布。
关键词碲化镉    介电常数    反射率    横/纵光学模    时域光谱    
Theoretical and Experimental Study on the Permittivity of CdTe in the Terahertz Band
Sun Wang, Li Liangsheng, Zhang Jing, Yin Hongcheng    
(Science and Technology on Electromagnetic Scattering Laboratory, Beijing 100854, China)
Foundation Item: The National Natural Science Foundation of China (6149069502)
Abstract: The phonon dispersion spectrum, eigenvector, and lattice vibration frequency of cadmium telluride with a zinc blende structure have been investigated using the density functional theory, and the permittivity of cadmium telluride crystal is numerically calculated. The permittivity of the crystal is measured using the terahertz time-domain spectroscopy system. The experimental results are consistent with the theoretical calculations on the modified local density approximation, the general gradient approximation, and the modified general gradient approximation. Finally, the differences among the three approximate exchange correlation potentials indicate that in the terahertz region, the permittivity of cadmium telluride is dominantly contributed by the coupling between electron and phonon; however, the phonon frequencies of transverse wave and longitudinal wave were sensitive to electron density distribution.
Key words: Cadmium telluride    Permittivity    Reflectivity    Transverse/longitudinal optical mode    Time domain spectroscopy    
1 引言

近年来,太赫兹波段作为原有空白电磁谱段被逐步填补和完善[15],使得太赫兹雷达、太赫兹远距离探测等技术有望变为现实[613]。由于太赫兹波在大气环境中衰减强烈[14],对空间运动目标、空间碎片、卫星、地外气体的探测将成为太赫兹探测技术率先应用的领域[15]。碲化镉(CdTe, Cadmium Tellurium)是一种宽禁带半导体材料[16,17],具有光化学稳定性好、发光效率高、发射光谱窄等一系列优良性质[18,19],被广泛应用于太阳能电池、量子点材料和生物传感器等领域[20]。作为卫星太阳能电池帆板的主要成分,太赫兹波段CdTe材料的介电常数色散关系将决定电池板对太赫兹波散射和吸收特性。

太赫兹波能与CdTe材料发生强耦合作用,许多研究都关注于CdTe共振吸收的频率位置。在室温下Vodopyanov等人[21]测得光学声子横模频率为4.38 THz,而Polit等人[22]和Robouch等人[23]在30 K低温测得光学声子横模频率分别为4.287 THz和4.293 THz。Stergiou等人[24]采用拉曼散射实验测得300 K光学声子横模频率为4.344 THz。基于密度泛函理论,Deligoz等人[25]计算得到光学声子横模频率为4.68 THz,而Tan等人[26]得到光学声子横模频率为4.536 THz,理论结果的差异性表明密度泛函理论给出的理论预估值依赖于计算方法的具体细节。

本文基于密度泛函理论的模恒守赝势方法,利用QE (Quantum Expresso)开源计算包,选取3种不同的交换关联势近似:局域密度近似修正(Local Density Approximate CAPZ, LDA-CAPZ)[27,28]、广义梯度近似(General Gradient Approximate PW91, GGA-PW91)[29]和广义梯度近似修正(General Gradient Approximate PBE, GGA-PBE)[30]。分析了截断能和k-point数量对总能量收敛性的影响,计算了CdTe的平衡态晶格常数和声子色散谱,判断光学声子横/纵模式,与太赫兹时域光谱系统测量的反射率和介电常数进行对比研究。

2 理论模型及计算方法

闪锌矿型CdTe晶体结构的空间群为F-43m,其晶胞中原子坐标为Cd: (0, 0, 0); Te: (0.25, 0.25, 0.25),如图1所示。由于CdTe为各向同性的立方晶体且原胞中仅含有2个不同原子Cd和Te,这表明CdTe可以近似为双原子链模型[31]。为获得CdTe太赫兹波段介电常数,需要知道Cd和Te原子间的相对位移W,即

其中, $\overline M = \displaystyle\frac{{{M_{{\rm{Cd}}}}{M_{{\rm{Te}}}}}}{{{M_{{\rm{Cd}}}} + {M_{{\rm{Te}}}}}}$ 为约化质量, ${M_{{\rm{Cd}}}}$ ${M_{{\rm{Te}}}}$ 分别为Cd和Te的原子质量, ${V_{{\rm{cell}}}}$ 为原胞体积, ${\mu _{{\rm{Cd}}}}$ ${\mu _{{\rm{Te}}}}$ 分别为Cd和Te原子的位移。

图 1 CdTe晶体结构:红球为Te原子,蓝球为Cd原子,绿色箭头表示晶体的主轴方向 Fig.1 The crystal structure of CdTe: The red spheres indicate Te atoms. The blue spheres indicate Cd atoms. The green arrow indicates the direction of crystal major axis

太赫兹波的电场分量( $E = {E_0}{{\rm e}^{ -{\rm i}\omega t}}$ )作用在CdTe晶体上诱导出电偶极矩,使得Cd和Te原子之间的总位移满足阻尼谐振子运动方程[31]

(2)

式中, $\gamma $ 是碰撞频率,来源于三声子散射过程[31] ${\omega _{{\rm{TO}}}}$ 为横波光学声子频率, $\varepsilon (0)$ 为零频(直流)介电常数, $\varepsilon (\infty )$ 为高频极限介电常数。由于CdTe晶体的声子光学波存在横波和纵波两种,其对应的相对总位移W可以分解为横波位移 ${W_{\rm{T}}}$ 和纵波位移 ${W_{\rm{L}}} $ ,满足以下条件:

利用LST $\omega _{{\rm{LO}}}^2/\omega _{{\rm{TO}}}^2 = \varepsilon (0)/\varepsilon (\infty )$ 关系式[31],可获得CdTe晶体的介电常数表达形式:

其中, ${\omega _{{\rm{LO}}}}$ 为纵波光学声子频率。为获得CdTe的横波/纵波光学声子频率和高频极限介电常数,采用基于密度泛函理论的QE计算模块,利用平面波赝势方法,将电子-电子相互作用的交换关联势近似为LDA或GGA。

3 结果与分析 3.1 CdTe晶体结构优化

准确计算CdTe材料的太赫兹波段介电常数需要获得正确的CdTe晶体结构,任意电子波函数总可以展开为一系列平面波的叠加,即

对于展开平面波的数量,需要选取一个截断以实现具体计算,定义截断能为:

选取不同的截断能计算了CdTe晶体原胞总能量 ${E_{\rm{T}}}$ ,如图2所示。通过LDA方法估计的总能量都小于GGA-PBE和GGA-PW91的结果,这说明包含电子密度梯度(非局域贡献)的GGA会提高CdTe总能量。尽管3种近似给出的总能量都随截断能增大而逐步收敛到某一稳定值,但是LDA与GGA的收敛速度不同。为调和计算精度和计算时间的矛盾,对于LDA方法选取截断能为1225 eV,而GGA方法的截断能为680 eV。

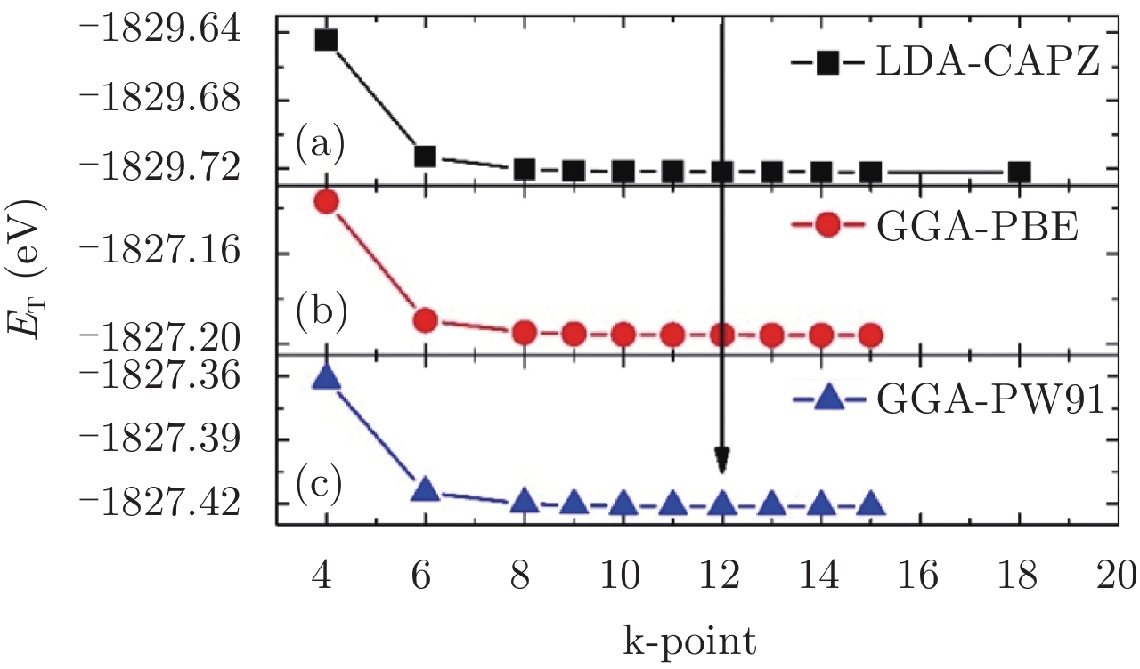
布里渊区内对某一物理量的积分精度也是决定太赫兹波段介电常数计算精度的原因之一。利用MP采样方法可以较为准确计算出积分值[32],选择不同k-point的数量会给出不同的总能量,如图3所示。在MP方法中,使用奇数的k-point包括不可约布里渊区边界上的k点(如 ${\rm{\Gamma }}$ 点),而偶数M只包含不可约布里渊区内部的k点,这使得用偶数k-point比用奇数k-point的收敛性好。对于CdTe晶体3种交换关联势随k-point数量的收敛行为是类似的,并没有显著差异,可以统一选择k-point数量为12来保证计算效率和精度。

对处在平衡态的CdTe材料其总能量应处在极小值,即满足

这里 ${a_0}$ 为平衡态下的晶格常数。图4展示了总能量随尝试晶格常数的变化,发现3种交换关联势给出了不同的晶格常数,分别为 $a_{{\rm{LDA}}}^{{\rm{CA-PZ}}} = 0.64424 \ {\rm{nm}}$ , $a_{{\rm{GGA}}}^{{\rm{PW91}}} = 0.66541\ {{\rm{nm}}} $ $a_{{\rm{GGA}}}^{{\rm{PBE}}} = 0.66594\ {{\rm{nm}}}$ 。通过X-ray衍射实验,测量得到室温下CdTe的晶格常数为 ${a_{{\rm{Exp}}}} = 0.64827 \ {{\rm{nm}}} $ [33],与LDA方法预测晶格常数最为接近,这表明GGA方法高估了CdTe晶体的总能量。

图 2 总能量与截断能的依赖关系。黑色箭头表示选取GGA的截断能位置 $E_{\rm{c}}^{{\rm{PBE/PW91}}}{\rm{ = }}680 \ {{\rm{eV}}} $ 。红色箭头表示选取LDA的截断能位置 $E_{\rm{c}}^{{\rm{LDA}}}{\rm{ = }}1225\ {{\rm{eV}}}$ Fig.2 The total energy vs the cut-off energy. The black arrow indicates the value of GGA cut-off energy $E_{\rm{c}}^{{\rm{PBE/PW91}}}{\rm{ = }}680 \ {{\rm{eV}}} $ . The red arrow indicates the value of LDA cut-off energy $E_{\rm{c}}^{{\rm{LDA}}}{\rm{ = }}1225\ {\rm eV} $
图 3 总能量随k-point数量的依赖关系。黑色箭头表示合适的k-point选择 Fig.3 The total energy as a function of k-point. Black arrows indicate the selected k-point
图 4 LDA, GGA-PBE和GGA-PW91方法计算的总能量与尝试晶格常数a的依赖关系。黑色箭头表示LDA计算总能量最小值的位置 $a_{{\rm{LDA}}}^{{\rm{CA-PZ}}} = 0.64424 \ {\rm{nm}}$ Fig.4 The total energy (calculated by LDA, GGA-PBE, and GGA-PW91 methods) vs the test lattice constant. The black arrow indicates the minimum of total energy, where $a_{{\rm{LDA}}}^{{\rm{CA-PZ}}} = 0.64424 \ {\rm{nm}}$
3.2 太赫兹波段介电常数理论与实验对比

基于获得的截断能、k-point数量和晶格常数,计算了CdTe声子振动频率与声子波矢的依赖关系,即声子色散谱,如图5所示。CdTe晶体有3条声学声子色散谱,对应于图5中的黑色实线、蓝色点线和红色线段,另外3条为光学声子色散谱,对应于图5中的绿色双点线段、粉红色单点线段和紫色粗点线。对于3种交换关联势,声子色散谱有相同的拓扑结构,在 $\Gamma $ 点附近3种交换关联势给出相近的计算结果。但是GGA在波矢区间[G, X]计算的声子色散谱与LDA结果存在较大差距,其中GGA结果含有负声子频率,这说明GGA在波矢区间[G, X]的计算可信度较差。为获得CdTe晶体在太赫兹波段的介电常数,需要分辨在 $\Gamma $ 点处光学声子色散谱频率所对应的振动模式,即将光学声子振动模式分为光学声子纵波模式 ${\omega _{{\rm{LO}}}}$ 和光学声子横波模式 ${\omega _{{\rm{TO}}}}$ 。对于光学声子纵波模式,声子传播方向与原子振动方向平行,如图6(a)所示;对于光学声子横波模式,声子传播方向与原子振动方向垂直,如图6(b)所示。为获得波矢方向和原子振动方向,需要求解声子振动的本征方程,详见附录。对于波矢方向 ${ { {k}}} = \left( { - 0.577, - 0.577, - 0.577} \right)$ 的声子,LDA方法获得其中一个光学声子频率为5.111 THz,与其对应的Cd原子振动方向为 $ {{{ {u}}}_{{\rm{Cd}}}} = \bigr( - 0.42,- 0.42, $ $ - 0.42 \bigr)$ , Te原子振动方向为 ${{{ {u}}}_{{\rm{Te}}}} = \bigr( 0.395,0.395,$ $ 0.395 \bigr) $ 。此时光学声子波矢方向平行于原子振动方向,表明该频率对应的声子振动模式为光学声子纵波模式 ${\omega _{{\rm{LO}}}}{\rm{ = }}5.111 \ {{\rm{THz}}} $ 。由于CdTe晶体是各向同性材料,当波矢方向变为 ${{ {k}}} = \left( {0,0.707,0} \right)$ 时,该声子同样存在与其传播方向平行或垂直原子振动的模式,如图6(c)图6(d)所示。通过分析声子传播方向与原子振动方向的关系,获得3种交换关联势的光学声子纵波模式和光学声子横波模式,如表1所列。

表 1 CdTe单晶材料: ${{ω} _{{LO}}}$ , ${{ω} _{{TO}}}$ , ${ε}$ ()和 ${γ} $ 理论和实验值 Tab.1 CdTe single crystal: the theoretical and experimental values of ${{ω} _{{{LO}}}}$ , ${{ω} _{{{TO}}}}$ , ${ε}$ () and ${γ} $

采用太赫兹时域光谱系统测量CdTe单晶的反射率和介电常数,如图7所示。光源是钛宝石激光放大器,中心波长800 nm,脉宽50 fs,脉冲能量为800 μJ,重复频率1 kHz。β-BBO(I型Beta Barium Borate)将800 nm泵浦脉冲倍频为400 nm,基频光和倍频光聚焦后在空气中形成表面等离子体,并产生太赫兹波。太赫兹波透过3 mm厚硅片经抛物面镜聚焦于样品上,样品反射太赫兹波经硅片由抛物面镜与探测脉冲聚焦,在焦点处放置1.3 kV的高电压调制器。锁相放大器锁定高电压调制器的工作频率500 Hz,光电倍增管探测到的二次谐波信号即为太赫兹信号。对于入射波方向平行于主轴(0°)和垂直主轴(90°)的情况,测量结果表明CdTe为各向同性材料,如图8所示。3种交换关联势计算的 ${\omega _{{\rm{LO}}}}$ ${\omega _{{\rm{TO}}}}$ 值都高于实验结果,其中PBE和PW91都考虑了电子密度梯度修正反而更加高估声子振动的频率,而仅考虑局域电子密度的LDA最符合实验结果,这表明CdTe非局域效应较弱,GGA方法高估了电子密度。尽管3种交换关联势对于具体 ${\omega _{{\rm{LO}}}}$ ${\omega _{{\rm{TO}}}}$ 的预测值不同,但是都证实了太赫兹波段CdTe介电常数的主要贡献来源于电子声子耦合。在太赫兹低频段[0.1 THz, 3 THz], CdTe介电常数的虚部接近于零,实部为大于零的实数,使得太赫兹能够较强穿透CdTe材料。当频率提高到太赫兹中频段[3 THz, 5 THz]时,太赫兹波与声子发生强耦合,甚至存在介电常数的实部为负数的区间,这使得太赫兹波在这个频段难以穿透。当频率继续提高频率时,太赫兹波与声子退耦合,介电常数虚部趋于零且介电常数的实部回归正实数,使得高频段太赫兹波能够穿透CdTe。

图 5 CdTe的声子色散谱,使用3种交换关联势为LDA, PBE, PW91 Fig.5 Phonon dispersions of CdTe with three exchange correlations LDA, PBE, PW91
图 6 声子波矢方向与原子振动方向平行(a), (d)与垂直(b), (c)示意图。(a)和(b)中的声子波矢方向为CdTe主轴方向。(c)和(d)中的声子波矢方向为y轴方向。黑色箭头表示原子振动方向。绿色箭头表示声子传播方向 Fig.6 Schematic diagram: the phonon wave vectors are parallel (a), (d) and perpendicular (b), (c) to directions of atomic vibration. (a)-(b) the phonon wave vectors are parallel to the direction of CdTe principal axis. (c)-(d) The phonon wave vectors are parallel to the y-axis direction. Black arrows indicate the direction of atomic vibration. Green arrows indicate the direction of phonon propagation
图 7 全空气太赫兹系统实验装置示意图。β-BBO为I型硼酸钡,PM为离轴抛物面镜,HV为高电压调制器,PMT为光电倍增管 Fig.7 Schematic diagram of full-air terahertz experimental system. β-BBO is type I barium borate, PM is an off-axis parabolic mirror, HV is a high-voltage modulator, and PMT is a photomultiplier tube
图 8 理论计算与实验测量结果 Fig.8 The results of theoretical calculations and experimental measurements
4 结论

通过密度泛函理论和太赫兹时域光谱系统研究了CdTe单晶材料的反射率和介电常数,证实了在太赫兹波段CdTe的介电常数主要由电子声子耦合所决定,分析了3种交换关联势对截断能和k-point数目依赖关系。对于CdTe单晶材料,与实验结果对比发现,LDA方法计算的晶格常数优于GGA-PBE和GGA-PW91的结果,这表明CdTe电子密度非局域效应较小。基于CdTe原子空间结构,考虑原子偏离平衡位置的运动方程,获得了太赫兹波段介电常数随频率变化的依赖关系。分析了声子波矢方向与原子振动方向平行垂直关系,得到光学声子横/纵波频率,发现LDA方法的横波和纵波频率理论值分别高于实验测量值3.58%和2.01%,而考虑电子密度梯度修正的GGA结果更加偏离实验值。尽管3种交换关联势给出的太赫兹波段材料介电常数的精度不同,但是都能够提供材料介电常数色散关系的合理参考值,可为一些新材料、不稳定材料或毒性材料的太赫兹光谱探测提供理论指导。

附录:

为判断声子模式,需要获得原子振动方向和声子传播方向的关系。由于波矢为 $ {k} $ 的声子传播使得晶体中第l原子的满足简谐振动方程:

其中, $\alpha $ , $\beta $ 是表示直角坐标系中的3个坐标轴的方向, $\alpha ,\beta = x,y,z$ , l是原子标号,D为动力学矩阵。求解上述方程组可以得到本征值(声子频率)和本征矢(原子振动方向)。特别要注意原子振动方向是在直角坐标系表示,而声子传播方向 $ {k} = {{\rm{n}}_1}{{b}_1} +{{\rm{n}}_2}{{b}_2} +$ $ {{\rm{n}}_3}{{b}_3}$ 通常表示在倒格矢空间,

其中, ${{a}_{{i}}}$ (i=1, 2, 3)是原胞基矢量,该矢量可在直角坐标系下表示, ${{\varOmega }}$ 为原胞体积。通过重新在直角坐标系下表示声子传播方向 $ {k}$ ,可以获得声子传播方向与原子振动的平行或垂直关系。

参考文献
[1] Lloyd-Hughes J and Jeon T I. A review of the terahertz conductivity of bulk and Nano-materials[J]. Journal of Infrared, Millimeter, and Terahertz Waves, 2012, 33(9): 871-925. DOI:10.1007/s10762-012-9905-y (0)
[2] 程伟, 王迎新, 赵自然. 光电导太赫兹源新进展[J]. 激光与红外, 2011, 41(6): 597-604.
Cheng Wei, Wang Ying-xin and Zhao Zi-ran. New research progress of photoconductive terahertz source[J]. Laser & Infrared, 2011, 41(6): 597-604. DOI:10.3969/j.issn.1001-5078.2011.06.001 (0)
[3] Withayachumnankul W, Png G M, Yin X X, et al.. T-Ray sensing and imaging[J]. Proceedings of the IEEE, 2007, 95(8): 1528-1558. DOI:10.1109/JPROC.2007.900325 (0)
[4] Scalari G, Maissen C, Turčinková D, et al.. Ultrastrong coupling of the cyclotron transition of a 2D electron gas to a THz metamaterial[J]. Science, 2012, 335(6074): 1323-1326. DOI:10.1126/science.1216022 (0)
[5] Stantchev R I, Sun B Q, Hornett S M, et al.. Noninvasive, near-field terahertz imaging of hidden objects using a single-pixel detector[J]. Science Advances, 2016, 2(6): e1600190 DOI:10.1126/sciadv.1600190 (0)
[6] Dengler R J, Cooper K B, Chattopadhyay G, et al.. 600 GHz imaging radar with 2 cm range resolution[C]. The IEEE/MTT-S International Microwave Symposium, Honolulu, HI, USA, 2007: 1371–1374. (0)
[7] Cooper K B, Dengler R J, Llombart N, et al.. THz imaging radar for standoff personnel screening[J]. IEEE Transactions on Terahertz Science and Technology, 2011, 1(1): 169-182. DOI:10.1109/TTHZ.2011.2159556 (0)
[8] Cooper K B, Dengler R J, Llombart N, et al.. Penetrating 3-D imaging at 4- and 25-m range using a submillimeter-wave radar[J]. IEEE Transactions on Microwave Theory and Techniques, 2008, 56(12): 2771-2778. DOI:10.1109/TMTT.2008.2007081 (0)
[9] Cooper K B, Dengler R J, Chattopadhyay G, et al.. A high-resolution imaging radar at 580 GHz[J]. IEEE Microwave and Wireless Components Letters, 2008, 18(1): 64-66. DOI:10.1109/LMWC.2007.912049 (0)
[10] Llombart N, Cooper K B, Dengler R J, et al.. Confocal ellipsoidal reflector system for a mechanically scanned active terahertz imager[J]. IEEE Transactions on Antennas and Propagation, 2010, 58(6): 1834-1841. DOI:10.1109/TAP.2010.2046860 (0)
[11] Sheen D M, Hall T E, Severtsen R H, et al.. Standoff concealed weapon detection using a 350-GHz radar imaging system[C]. SPIE Passive Millimeter-Wave Imaging Technology XIII, Orlando, Florida, United States, 2010, 7670: 767008. (0)
[12] Sheen D M, McMakin D L, Hall T E, et al.. Active millimeter-wave standoff and portal imaging techniques for personnel screening[C]. 2009 IEEE Conference on Technologies for Homeland Security, Boston, MA, USA, 2009: 440–447. (0)
[13] Robertson D A, Marsh P N, Bolton D R, et al.. 340-GHz 3D radar imaging test bed with 10-Hz frame rate[C]. SPIE Passive and Active Millimeter-Wave Imaging XV, Baltimore, Maryland, 2012, 8362: 836206. (0)
[14] Wanke M C, Mangan M A, and Foltynowicz R J. Atmospheric propagation of THz radiation[R]. Albuquerque, NM, USA: Sandia National Laboratories, 2005: 2005–6389. (0)
[15] 戴宁, 葛进, 胡淑红, 等. 太赫兹探测技术在遥感应用中的研究进展[J]. 中国电子科学研究院学报, 2009, 4(3): 232-237.
Dai Ning, Ge Jin, Hu Shu-hong, et al.. The development of the terahertz detection techniques in the applications of remote sensing[J]. Journal of CAEIT, 2009, 4(3): 232-237. DOI:10.3969/j.issn.1673-5692.2009.03.002 (0)
[16] 刘其军, 刘正堂, 冯丽萍, 等. 闪锌矿型CdTe电子结构和光学性质的第一性原理[J]. 中国科学院研究生院学报, 2009, 26(5): 615-620.
Liu Qi-jun, Liu Zheng-tang, Feng Li-ping, et al.. First-principle calculations of electronic structure and optical properties of Zinc blende CdTe[J]. Journal of the Graduate School of the Chinese Academy of Sciences, 2009, 26(5): 615-620. (0)
[17] 孙立忠, 陈效双, 郭旭光, 等. CdTe和HgTe能带结构的第一性原理计算[J]. 红外与毫米波学报, 2004, 23(4): 271-275.
Sun Li-zhong, Chen Xiao-shuang, Guo Xu-guang, et al.. First principles calculation of the band structure of CdTe and HgTe[J]. Journal of Infrared and Millimeter Waves, 2004, 23(4): 271-275. DOI:10.3321/j.issn:1001-9014.2004.04.007 (0)
[18] 王琰, 侯延冰, 唐爱伟, 等. 不同稳定剂对水溶性CdTe纳米晶光学性质的影响[J]. 发光学报, 2008, 29(1): 171-175.
Wang Yan, Hou Yan-bing, Tang Ai-wei, et al.. Influence of different stabilizers on optical properties of water-soluble CdTe nanocrystals[J]. Chinese Journal of Luminescence, 2008, 29(1): 171-175. (0)
[19] Merad A E, Kanoun M B, Merad G, et al.. Full-potential investigation of the electronic and optical properties of stressed CdTe and ZnTe[J]. Materials Chemistry and Physics, 2005, 92(2/3): 333-339. DOI:10.1016/j.matchemphys.2004.10.031 (0)
[20] 吴文智, 郑植仁, 金钦汉, 等. 水溶性CdTe量子点的三阶光学非线性极化特性[J]. 物理学报, 2008, 57(2): 1177-1182.
Wu Wen-zhi, Zheng Zhi-ren, Jin Qin-han, et al.. The property of third-order optical nonlinear susceptibility of water soluble CdTe quantum dots[J]. Acta Physica Sinica, 2008, 57(2): 1177-1182. DOI:10.7498/aps.57.1177 (0)
[21] Vodopyanov L K. Optical studies of II–VI alloy lattice dynamics[J]. Journal of Alloys and Compounds, 2004, 371(1/2): 72-76. DOI:10.1016/j.jallcom.2003.05.007 (0)
[22] Deligoz E, Colakoglu K and Ciftci Y. Elastic, electronic, and lattice dynamical properties of CdS, CdSe, and CdTe[J]. Physica B: Condensed Matter, 2006, 373(1): 124-130. DOI:10.1016/j.physb.2005.11.099 (0)
[23] Polit J, Sheregii E M, Cebulski J, et al.. Phonon and vibrational spectra of hydrogenated CdTe[J]. Journal of Applied Physics, 2006, 100(1): 013521 DOI:10.1063/1.2211368 (0)
[24] Robouch B V, Zajdel P, Kisiel A, et al.. Analysis of the phonon line profile of hydrogenated CdTe[J]. Journal of Physics: Condensed Matter, 2008, 20(32): 325217 DOI:10.1088/0953-8984/20/32/325217 (0)
[25] Stergiou V C, Kontos A G and Raptis Y S. Anharmonic effects and Faust-Henry coefficient of CdTe in the vicinity of the energy gap[J]. Physical Review B, 2008, 77(23): 235201 DOI:10.1103/PhysRevB.77.235201 (0)
[26] Tan J J, Ji G F, Chen X R, et al.. The high-pressure phase transitions and vibrational properties of zinc-blende XTe (X=Zn, Cd, Hg): Performance of local-density-approximation density functional theory[J]. Computational Materials Science, 2010, 48(4): 796-801. DOI:10.1016/j.commatsci.2010.03.037 (0)
[27] Ceperley D M and Alder B J. Ground state of the electron gas by a stochastic method[J]. Physical Review Letters, 1980, 45(7): 566-569. DOI:10.1103/PhysRevLett.45.566 (0)
[28] Perdew J P and Zunger A. Self-interaction correction to density-functional approximations for many-electron systems[J]. Physical Review B, 1981, 23(10): 5048-5079. DOI:10.1103/PhysRevB.23.5048 (0)
[29] Perdew J P and Wang Y. Accurate and simple analytic representation of the electron-gas correlation energy[J]. Physical Review B, 1992, 45(23): 13244-13249. DOI:10.1103/PhysRevB.45.13244 (0)
[30] Perdew J P, Burke K and Ernzerhof M. Generalized gradient approximation made simple[J]. Physical Review Letters, 1996, 77(18): 3865-3868. DOI:10.1103/PhysRevLett.77.3865 (0)
[31] 黄昆, 韩汝琦. 固体物理[M]. 北京: 高等教育出版社, 1988: 104–111.
Huang Kun and Han Ru-qi. Solid State Physics[M]. Beijing: Higher Education Press, 1988: 104–111. (0)
[32] Monkhorst H J and Pack J D. Special points for Brillonin-zone integrations[J]. Physical Revie B, 1976, 13(12): 5188-5192. DOI:10.1103/PhysRevB.13.5188 (0)
[33] Rabadanov M K, Verin I A, Ivanov Y M, et al.. Refinement of the atomic structure of CdTe single crystals[J]. Crystallography Reports, 2001, 46(4): 636-641. DOI:10.1134/1.1387130 (0)