«上一篇
文章快速检索     高级检索
下一篇»
  雷达学报  2018, Vol. 7 Issue (3): 303-312  DOI: 10.12000/JR17104
0

引用本文  

孙铭才, 张秦, 陈光陆. 动态时间窗下的相控阵雷达自适应调度算法[J]. 雷达学报, 2018, 7(3): 303-312. DOI: 10.12000/JR17104.
Sun Mingcai, Zhang Qin, and Chen Guanglu. Dynamic time window adaptive scheduling algorithm for the phased array radar[J]. Journal of Radars, 2018, 7(3): 303-312. DOI: 10.12000/JR17104.

基金项目

国家自然科学基金(61601499)

通信作者

张秦   kinzh@263.net

作者简介

孙铭才(1993–),男,助理工程师,主要从事相控阵雷达资源管理研究。E-mail: 398327155@qq.com;
张 秦,男,副教授,主要研究方向为雷达信号处理。E-mail: kinzh@263.net;
陈光陆,高级技工,主要从事雷达装备维修。E-mail: 605321038@qq.com

文章历史

收稿日期:2017-11-09
改回日期:2018-02-07
网络出版:2018-03-16
动态时间窗下的相控阵雷达自适应调度算法
孙铭才, 张秦, 陈光陆    
(中国人民解放军95333部队   长沙   410000)
(空军工程大学防空反导学院   西安   710051)
摘要:针对相控阵雷达任务调度问题,该文提出了一种基于动态时间窗的任务调度方法。该方法根据目标跟踪滤波中的残差和雷达对目标跟踪波门之间的约束关系以及搜索帧周期的约束,分别实现对跟踪任务和搜索任务的时间窗计算。最后将该方法与传统固定时间窗方法进行对比仿真,仿真结果证明了所提方法的有效性和优越性。
关键词相控阵雷达    任务调度    时间窗    跟踪任务    搜索任务    
Dynamic Time Window Adaptive Scheduling Algorithm for the Phased Array Radar
Sun Mingcai, Zhang Qin, Chen Guanglu    
(Troop 95333, Changsha 410000, China)
(Air and Missile Defense College, Air Force Engineering University, Xi’an 710051, China)
Foundation Item: The National Natural Science Foundation of China (61601499)
Abstract: A task scheduling method based on dynamic time window is proposed that is aimed at resolving the task scheduling problem of phased array radars. Based on constraints between the residuals of target tracking filtering and radar target tracking gate and search frame cycle, the method calculates the time window of tracking task and the time window of the search task, respectively. Finally, we undertake a simulation of our method by comparing with the traditional time window design method. The simulation results prove the effectiveness and superiority of our method.
Key words: Phased array radar    Task scheduling    Time window    Tracking task    Search task    
1 引言

相控阵雷达具有灵活、快速的波束捷变和波束自适应能力,可以同时执行搜索、跟踪等多个任务[1,2]。随着现代战场环境的日益复杂,相控阵雷达需执行的任务数量不断增多,这就要求相控阵雷达在有限的时间资源内要尽可能多地执行任务。因此,研究确定有效合理的任务调度方法,对提升相控阵雷达的整体性能有着重要意义。

相控阵雷达任务调度的过程可以分为任务优先级设计、任务时间窗设定和调度策略三大部分。对于任务优先级的设计,文献[35]根据任务的重要性划分优先级,对不同工作方式的任务预先制定优先级,并在调度过程中保持不变。文献[6]根据任务在时间上的紧迫性对优先级进行划分,优先调度临近截止期的任务。文献[711]同时考虑任务的重要性和紧迫性对优先级的影响,将工作方式和截止期映射到同一层面,通过加权等方式计算任务的综合优先级。文献[1217]利用目标的先验跟踪滤波信息来量化目标对雷达威胁程度,并将量化后的目标对雷达的威胁度值引入到了优先级设计当中,保证了雷达对高威胁度任务的执行。对于任务时间窗的设定,现有的研究文献较少,文献[18]提出了雷达任务时间窗的概念,即波束驻留的实际发射时间在期望发射时间前后能移动的有效范围,但对如何具体设定时间窗等问题没有进行描述。文献[19]对跟踪任务时间窗的设定进行了分析说明,认为可根据目标跟踪滤波的位置、速度、距离和雷达波束宽度获得目标通过雷达波束宽度的时间,并根据此时间设计跟踪任务时间窗,但文献没有给出时间窗的具体计算过程。文献[20]通过给各类任务预先制定时间窗,仿真分析了时间窗能够有效提高雷达调度性能。在现有关于相控阵雷达任务调度的研究文献中,对时间窗都是采用预先制定的办法。对于调度策略,自适应的调度算法最具优势和灵活性。文献[7]提出了基于时间指针的调度算法,算法从时间角度出发,选择所要执行的任务,实现了任务间的紧密安排,对时间资源的利用率较高,且算法复杂度低。文献[21,22]提出了基于收益的调度算法,通过构建收益函数及约束条件,运用启发式方法进行求解。文献[2325]提出了基于脉冲交错的调度算法,使得雷达收发波束之间的等待期能够得到充分利用,提高了时间利用率,但其算法复杂度也大大增加。

上述文献在进行任务调度的过程中都引入了时间窗,对任务时间窗都采用固定处理法,并且其任务执行时间能够提前和延迟的时间范围相同。这些处理方法存在如下不足:一是未能充分利用目标的先验信息,不能根据雷达对任务的实时执行情况来对时间窗动态设定;二是仍属于人为设定任务时间窗的范畴,受主观因素较大。针对上述问题,本文提出一种任务时间窗的动态设定方法。对于跟踪类任务,根据目标跟踪滤波中的残差和雷达对目标的跟踪波门之间的约束关系,并结合目标的飞行方向,分别计算出目标跟踪任务的提前时间窗和延迟时间窗;对于搜索类任务,根据雷达对某搜索区域的搜索帧周期的要求和该区域搜索任务时间上的执行情况,计算出搜索类任务的时间窗。最后,利用基于时间指针的调度算法动态地确定时间窗。仿真表明,这一方法在复杂空情的处理中具有一定的优势。

2 基本理论建模 2.1 雷达任务模型

相控阵雷达一般主要完成搜索和跟踪两大功能。在搜索检测到目标后,相控阵雷达会先执行一个验证任务,验证目标成功后再对目标开始进行跟踪,并且跟踪过程中雷达还需对可能出现的目标失跟的情况进行处理。因此,雷达任务一般主要有搜索、验证、跟踪和失跟处理4类任务,其中跟踪任务根据要求的对目标跟踪精度以及数据率的不同,可具体分为精跟踪、粗跟踪以及监视3种。一个雷达任务的成功执行,包括发射期、等待期和接收期3个过程,如图1所示。现将任务模型表示为:

式中, ${T_i}$ 表示第 $i$ 个相控阵雷达任务; ${t_{{\rm{e}}i}}$ 表示任务 ${T_i}$ 的期望执行时刻; ${t_{{\rm{x}}i}}$ 表示任务 ${T_i}$ 的发射期持续时间; ${t_{{\rm{w}}i}}$ 表示任务 ${T_i}$ 的等待期,其一般由距离决定; ${t_{{\rm{r}}i}}$ 表示任务 ${T_i}$ 的接收期持续时间; ${P_{{\rm{t}}i}}$ 表示任务 ${T_i}$ 执行完毕时消耗的功率值; ${t_{{\rm{dw}}i}}$ 表示任务 ${T_i}$ 的驻留时间,且 ${t_{{\rm{dw}}i}} = {t_{{\rm{x}}i}} + {t_{{\rm{w}}i}} + {t_{{\rm{r}}i}}$ ; ${w_{{\rm{f}}i}}$ 表示任务 ${T_i}$ 的提前时间窗; ${w_{{\rm{b}}i}}$ 表示任务 ${T_i}$ 的延迟时间窗; ${\rm{pr}}{{\rm{i}}_i}$ 表示任务 ${T_i}$ 的工作方式优先级; ${H_i}$ 表示任务 ${T_i}$ 的采样周期。设 ${t_{{\rm{d}}i}}$ 为任务 ${T_i}$ 的截止期,则 ${t_{{\rm{d}}i}} = {t_{{\rm{e}}i}} + {w_{{\rm{b}}i}}$ ;设 ${t_{{\rm{f}}i}}$ 为任务 ${T_i}$ 的最早可执行时刻,则 ${t_{{\rm{f}}i}} = {t_{{\rm{e}}i}} - {w_{{\rm{f}}i}}$

图 1 任务模型 Fig.1 Task model
2.2 雷达任务约束 2.2.1 时间资源约束

相控阵雷达的任务调度过程是以调度间隔(Scheduling Interval, SI)为执行周期的,每完成一个调度间隔的调度,天线端与处理器进行一次数据交换。在对某个调度间隔的任务进行调度分析时,该间隔安排执行的全部任务的驻留时间长度之和不能超过调度间隔的时间长度。假设有 $N$ 个任务被调度执行,则时间资源约束表示为:

式中, ${t_{{\rm{SI}}}}$ 表示调度间隔的时间长度。

2.2.2 能量资源约束

在现有的对相控阵雷达自适应调度算法的研究中,大多忽略了能量资源的约束。由于雷达发射机散热性能的限制,其工作时必须实时满足暂态约束条件: ${P_\tau }(t) \le {\bar P_{\tau \max }}$ ${\bar P_{\tau \max }}$ 为雷达瞬时消耗功率上限, ${P_\tau }(t)$ $t$ 时刻雷达消耗的功率,可具体表示为:

式中, $p(x)$ 表示雷达的功率函数; $\tau $ 为回退参数,其表示雷达的散热性能。在这里,为计算简便忽略接收期消耗能量。若令 ${P_\tau }(t + {t_{\rm{c}}} + {t_{\rm{x}}}) = {\bar P_{\tau \max }}$ ,则可得到冷却时间 ${t_{\rm{c}}}$ 的表达式:

3 时间窗的设定

时间窗能够使得在时间上有冲突的雷达任务经过其调整后可能都被调度执行,这将大大提高相控阵雷达的调度效率和时间利用率,使得相控阵雷达能够在有限的时间资源内调度执行更多的任务,充分提升相控阵雷达调度性能。

3.1 跟踪任务时间窗设定 3.1.1 基于卡尔曼滤波的雷达跟踪过程

在现有雷达跟踪滤波方法中,卡尔曼滤波是比较常见的一种滤波方式,具有一定典型性[26,27]。假设相控阵雷达跟踪滤波过程中的量测值与状态值都处于迪卡儿坐标系中。在卡尔曼跟踪滤波过程中,会对每一时刻的残差进行更新计算,其计算方程为:

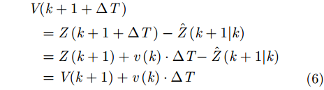
式中, $V\left( {k + 1} \right)$ 表示 $k + 1$ 时刻的残差; $Z\left( {k + 1} \right)$ 表示 $k + 1$ 时刻的量测值; $\hat Z\left( {k + 1|k} \right)$ 表示 $k$ 时刻对 $k + 1$ 时刻的量测的一步预测值。

假设雷达在 $k$ 时刻对目标进行了一次跟踪滤波,由于时间窗的作用,相控阵雷达在对目标跟踪任务的下一次执行调度中,任务实际执行时刻,即下一次的跟踪量测时刻可能会不等于其期望执行时刻 $k + 1$ 。此时残差表示为:

式中, $V\left( {k \!+\!\! 1 \!+\! \Delta T \ } \right)$ 表示实际执行时刻为 $k \!+\! 1 \!+\! \Delta T\ $ 时刻的跟踪滤波的残差; $V\left( {k + 1} \right)$ 表示实际执行时刻为 $k + 1$ 时刻的残差,即实际执行时刻不存在偏移时的残差; $Z\left( {k + 1 + \Delta T \ } \right)$ 表示实际执行时刻为 $k + 1 + \Delta T\ $ 时刻的跟踪滤波的量测; $v\left( k \right)$ 表示 $k$ 时刻雷达对目标跟踪滤波估计得到的速度; $\Delta T\ $ 表示任务的实际执行时刻相对期望执行时刻偏移的时间。

跟踪波门是指以被跟踪目标的预测位置为中心,目标的量测值可能出现的一块区域,用来判断量测值是否源自目标,只有落入跟踪波门内的回波才被认为是目标的回波[26]。为保证雷达对目标的连续稳定跟踪,雷达对目标每一次的跟踪滤波残差的绝对值不能超过跟踪波门的宽度,即雷达对目标每一次的跟踪观测点要落在跟踪波门内。假设在空间上形成的跟踪波门为一立方体,如图2所示。因此,设 $j$ 等于1, 2和3分别表示为 $x$ , $y$ $z$ 轴方向上的分量,则实际量测值 $Z\left( {k + 1 + \Delta T} \ \right)$ 的所有分量均须满足关系:

式中, ${V_j}\left( {k + 1 + \Delta T \ } \right)$ 表示第 $j$ 个分量的残差; ${Z_j}\left( {k + 1 + \Delta T \ } \right)$ ${\hat Z_j}\left( {k + 1|k} \right)$ 分别表示实际执行时刻为 $k + 1 + \Delta T\ $ 时刻的第 $j$ 个分量的量测和 $k$ 时刻对 $k + 1$ 时刻第 $j$ 个分量的量测的一步预测; ${\gamma _j}$ 表示矩形跟踪波门在第 $j$ 个分量方向上的宽度。综合式(6)和式(7)可得:

式中, ${V_j}\left( {k + 1} \right)$ 表示实际执行时刻为 $k + 1$ 时刻时第 $j$ 个分量的残差; ${v_j}\left( k \right)$ 表示 $k$ 时刻雷达对目标跟踪滤波测得的第 $j$ 个分量方向上的速度。

图 2 跟踪波门 Fig.2 Tracking gate

由式(8)可知,雷达对目标的跟踪任务的提前或推迟执行,会影响跟踪滤波时的残差,继而使得残差的绝对值发生变化,而这个变化量是受限的。在跟踪波门一定的情况下,残差的绝对值不能超过跟踪波门的宽度,以保证实际量测值落在跟踪波门内。残差朝正方向增大或朝负方向减小都会使得其绝对值增大,增减的趋势和大小又与目标的飞行方向和速度有关。因此,可根据目标的飞行方向、速度、目标跟踪滤波中的残差以及跟踪波门大小,确定跟踪任务的实际执行时刻相对期望执行时刻能够提前和推迟的有效范围,即跟踪任务的提前时间窗和延迟时间窗。

3.1.2 跟踪任务时间窗的计算

假设相控阵雷达已经调度执行了 $k$ 时刻对目标跟踪任务,即完成了 $k$ 时刻对目标的跟踪滤波。现基于 $k$ 时刻和 $k$ 时刻以前的跟踪滤波信息,对 $k + 1$ 时刻的跟踪任务的时间窗进行计算。

由上节可知,残差绝对值最大允许变化量决定了时间窗的大小。当式(8)取等号时,残差绝对值等于跟踪波门的宽度,残差绝对值变化量达到最大,任务实际执行时刻相对期望执行时刻所能提前或延迟的时间量也达到最大,此时雷达对目标的观测点落在跟踪波门的“门沿”上。但在实际跟踪滤波过程中,应尽量使雷达对目标的跟踪观测点落在跟踪波门内。所以在式(8)中引入调整系数 $\rho $ ,通过它调整目标跟踪任务实际执行时刻所允许的最大偏移量,以保证雷达对目标的跟踪观测点都能落在跟踪波门内。此时式(8)转化为:

式中, $0 < \rho < 1$

$V\left( {k + 1} \right)$ 表示 $k + 1$ 时刻的残差,当计算 $k + 1$ 时刻的时间窗时,该时刻的跟踪任务还未执行,故先对其进行估计,用估计值 $ \ \ { \hat^ \!\!\!\!\!\, V } \left( {k + 1} \right)$ 作为时间窗的计算依据。现将最近 $N$ 个时刻的跟踪滤波的残差值相加取平均值,来表示 $ \ \ { \hat^ \!\!\!\!\!\, V }\left( {k + 1} \right)$

式中, $V\left( {k + 1|k} \right)$ 表示 $k$ 时刻对 $k + 1$ 时刻跟踪滤波残差的估计值。此时,式(9)转化为:

式(11)给出了保证正常跟踪时,残差须满足的关系。根据目标在第 $j$ 个分量方向上的运动速度 ${v_j}\left( k \right)$ 区分正负:

由此化简式(11)得到:

(1) 当 ${v_j}(k) > 0$ 时,

此时, $\displaystyle\frac{{\rho {\gamma _j} - {{\ \ { \hat^ \!\!\!\!\!\, V } }_j}\left( {k + 1} \right)}}{{{v_j}\left( k \right)}} > 0$ ,表示在第 $j$ 个分量方向上跟踪任务实际执行时刻相对期望执行时刻最大可延迟的时间量,即在第 $j$ 个分量方向上的延迟时间窗; $ \displaystyle\frac{{ - \rho {\gamma _j} - {{\ \ { \hat^ \!\!\!\!\!\, V } }_j}\left( {k + 1} \right)}}{{{v_j}\left( k \right)}} < 0$ ,表示在第 $j$ 个分量方向上跟踪任务实际执行时刻相对期望执行时刻最大可提前的时间量, $\left| {\displaystyle\frac{{ - \rho {\gamma _j} - {{\ \ { \hat^ \!\!\!\!\!\, V } }_j}\left( {k + 1} \right)}}{{{v_j}\left( k \right)}}} \right|$ 为在第 $j$ 个分量方向上的提前时间窗。

(2) 当 ${v_j}(k) < 0$ 时,

此时, $\displaystyle\frac{{ - \rho {\gamma _j} - {{\ \ { \hat^ \!\!\!\!\!\, V }}_j}\left( {k + 1} \right)}}{{{v_j}\left( k \right)}} > 0$ ,表示在第 $j$ 个分量方向上跟踪任务实际执行时刻相对期望执行时刻最大可延迟的时间量,即在第 $j$ 个分量方向上的延迟时间窗; $ \displaystyle\frac{{\rho {\gamma _j} - {{\ \ { \hat^ \!\!\!\!\!\, V }}_j}\left( {k + 1} \right)}}{{{v_j}\left( k \right)}} < 0$ ,表示在第 $j$ 个分量方向上跟踪任务实际执行时刻相对期望执行时刻最大可提前的时间量, $\left| {\displaystyle\frac{{\rho {\gamma _j} - {{\ \ { \hat^ \!\!\!\!\!\, V }}_j}\left( {k + 1} \right)}}{{{v_j}\left( k \right)}}} \right|$ 为在第 $j$ 个分量方向上的提前时间窗。

(3) 当 ${v_j}(k) = 0$ 时,易知第 $j$ 个分量方向上跟踪任务实际执行时刻相对期望执行时刻最大可提前的时间量和最大可延迟的时间量都为无穷大,但在实际操作过程中,跟踪任务不可能无限期地提前执行或延迟执行。所以,针对 ${v_j}(k) = 0$ 的情况,将对应的跟踪任务的提前时间窗和延迟时间窗都设置为固定值 ${w_0}$

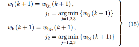
设第 $j$ 个分量方向上的最大提前时间窗和最大延迟时间窗分别为 ${w_{{\rm{f}}j}}\left( {k + 1} \right)$ ${w_{{\rm{b}}j}}\left( {k + 1} \right)$ 。由于雷达对目标在各个分量方向上跟踪滤波的残差不同,所以在各个分量方向上的残差绝对值最大允许变化量也不同,因而各个分量方向上的延迟时间窗和提前时间窗大小不同。为保证任务调度满足要求,取3个分量方向中的最小的延迟时间窗和最小的提前时间窗作为下次跟踪任务的延迟时间窗和提前时间窗。用公式表示为:

式中, ${w_{\rm{f}}}\left( {k + 1} \right)$ ${w_{\rm{b}}}\left( {k + 1} \right)$ 分别表示 $k$ 时刻后下一次跟踪任务的期望执行时刻为 $k + 1$ 时刻的提前时间窗和延迟时间窗。

3.2 搜索任务时间窗设定 3.2.1 雷达搜索过程

一般情况下,相控阵雷达的搜索过程为雷达按照波位编排依次进行波束照射。当雷达对某空域进行搜索时,会设置一个该区域的搜索帧周期[2]。搜索帧周期的定义是雷达天线完成对某个指定空域的扫描所需要的时间。所以,当雷达对该空域进行搜索时,应在该区域搜索帧周期设定的时间内完成对该空域的搜索,而该区域搜索任务的实际执行时刻相对期望执行时刻能够延迟的有效范围就要受到搜索帧周期的约束。因此,可根据该区域的搜索帧周期,对其搜索任务的延迟时间窗进行计算。而对于搜索任务的提前时间窗,当搜索任务被提前执行,能够使相控阵雷达在更短的时间内完成对该区域所有波位的搜索,所以搜索任务被提前执行并无坏处,因此对搜索任务的提前时间窗不设限制。

3.2.2 搜索任务延迟时间窗的计算

假设相控阵雷达搜索空域划分为 $N$ 个区域,设第 $n$ 个区域的搜索帧周期为 $T_{\rm{f}}\, ^n$ ,该区域有 $M$ 个波位,每个波位的驻留时间为 $t_{{\rm{dw}}}^n$ ,其中第 $m$ 个波位的搜索任务的期望执行时刻为 $t_{{\rm{e}}m}^n$ 。设第 $m$ 个波位的搜索任务的延迟时间窗为 $w_{{\rm{b}}m}^n$ ,其计算公式为:

式中, ${t_{{\rm{e}}1}}$ 表示该区域第1个波位的期望执行时刻; ${t_{{\rm{e}}m}} = {t_{{\rm{s}}\left( {m - 1} \right)}} + {H_m}$ , ${t_{{\rm{s}}\left( {m - 1} \right)}}$ 为第 $m - 1$ 个波位的搜索任务的实际执行时刻,所以可以看出,搜索任务延迟时间窗除了与该区域的搜索帧周期有关,还受到上一个波位的搜索任务执行时间的影响。需要指出, $M - m + 1$ 表示该区域剩余的需搜索的波位; $t_{{\rm{e}}1}^n + T_{\rm{f}}^n - t_{{\rm{e}}m}^n$ 表示完成该区域一帧搜索,截止到其搜索帧周期前所剩余的时间。这里将二者相除处理,是为了给后续波位的搜索任务都预留一定的延迟时间窗。

4 改进算法描述 4.1 优先级设计

在现有的相控阵雷达任务自适应调度方法中,主要为优先级驱动方法,即对任务按优先级的高低顺序依次调度执行。任务优先级设计的基本原则为:(1)任务越重要,优先级越高;(2)任务越紧迫,优先级越高。

假设当前时刻有 $I$ 个任务,对这 $I$ 个任务分别按照工作方式优先级由高到低和截止期由小到大进行两次排序,记第 $i$ 个任务 ${T_i}$ 在两次排序中的序号分别为 $p$ $q$ 。为综合考虑任务的重要性和紧迫性来设计任务的优先级,这里建立综合优先级函数[14]

式中, $\eta $ 为倾向工作方式优先级的加权系数,为了设计简单,一般取 $\eta $ 为1~5; $\lambda $ $\left( {q - 2} \right)/\eta $ 向0取整。 ${P_i}$ 值越小,任务 ${T_i}$ 优先等级越高。可以通过选取不同的权值 $\eta $ 来增加或减小工作方式优先级对综合优先级的影响。

4.2 时间窗设定

对于跟踪和搜索任务的时间窗的计算过程,如第3节所述。对于失跟处理任务,由于目标的失跟处理过程即为雷达对以目标消失区域为中心的小范围的搜索,所以其任务模型类似于搜索任务,因此失跟处理任务时间窗的计算参照式(16)。对于验证任务,由于其具有随机性,所以验证任务时间仍采用固定方法处理。

4.3 调度策略

为综合考虑对时间的充分利用和降低算法复杂度,借鉴基于时间指针[7]的调度算法的思想。假设某一个调度间隔内总共有 ${N_T\ }$ 个任务,形成任务申请链表 $Q = \left\{ {{T_1}, {T_2}, ·\!·\!· ,{T_N}} \right\}$ 。调度间隔起始时刻为 ${t_{\rm{0}}}$ ,起始时刻的初始功率为 ${P_{{{t_0}}}}$ ,结束时刻为 ${t_{\rm{n}}} = {t_{\rm{0}}} + {t_{{\rm{SI}}}}$ ,并设 ${t_{\rm{p}}}$ 为调度过程中的当前时刻,即为时间指针。下面对该雷达系统中任务的实时调度过程进行详细说明。

第1步:得到该调度间隔的起始时间指针 ${t_{\rm{p}}}$ , ${t_{\rm{p}}} = {t_{\rm{0}}}$

第2步:取出任务申请链表 $Q$ 中截止期小于 ${t_{\rm{p}}}$ 的任务,移入删除链表。

第3步:判断任务申请链表 $Q$ 中是否有最早可执行时刻小于或等于 ${t_{\rm{p}}}$ 的任务,若有,则将其全部取出,设有 ${M_T\ }$ 个,形成任务观测链表 $ {Q^*} = $ $ \left\{ {T_1^*, T_2^*, ·\!·\!·,T_{{M_T}}^*} \right\}$ ,计算出这 ${M_T\ }$ 个任务的综合优先级,设 $T_{{m_T}}^*$ 为任务观测链表中综合优先级最高的任务,转第4步;若没有,则令 ${t_{\rm{p}}} = {t_{\rm{p}}} + 1$ ,转第2步。

第4步:取出任务 $T_{{m_T}}^*$ ,设 ${t_{{\rm{dw}}{m_T}}\ }$ 为任务 $T_{{m_T}}^*$ 的驻留时间长度,判断任务 $T_{{m_T}}^*$ 是否满足能量约束条件。若满足,令 ${t_{\rm{p}}}$ 为任务 $T_{{m_T}}^*$ 的实际执行时刻,将其移入执行链表,更新参数为 ${t_{\rm{p}}} = {t_{\rm{p}}} + {t_{{\rm{dw}}{m_T}}}$ , ${P_{{{t_0}}}} = \left[ {{P_{{{t_0}}}}{{\rm{e}}^{ - {t_{\rm{x}}}/\tau }} + {P_t}(1 - {{\rm{e}}^{ - {t_{\rm{x}}}/\tau }})} \right]{{\rm{e}}^{ - \left( {{t_{{\rm{w}}{m_T}}} + {t_{{\rm{r}}{m_T}}}} \right)/\tau }}$ 。若不满足,则计算冷却时间 ${t_{\rm{c}}}$ ,将其移入执行链表,更新参数为 ${t_{\rm{p}}} = {t_{\rm{p}}} + {t_{\rm{c}}} + {t_{{\rm{dw}}{m_T}}\ }$ , ${P_{{{t_0}}}} = {\bar P_{\tau \max }}{{\rm{e}}^{ - \left( {{t_{{\rm{w}}{m_T}}} + {t_{{\rm{r}}{m_T}}}} \right)/\tau }}$

第5步:检查任务申请链表 $Q$ 是否为空,若是,转第7步;若不是,转第6步。

第6步:若 ${t_{\rm{p}}} \ge {t_{\rm{n}}}$ ,则将任务申请链表 $Q$ 中剩余的未被调度执行的任务中,截止期大于或等于 ${t_{\rm{n}}}$ 的任务移入延迟链表,参与下一个调度间隔的任务调度,截止期小于 ${t_{\rm{n}}}$ 的任务移入删除链表,转第7步;否则,转第2步。

第7步:该调度间隔结束,得到该调度间隔的执行链表、延迟链表和删除链表,并进入到下一个调度间隔的调度过程。

调度流程图如图3所示。

图 3 调度流程图 Fig.3 Flow chart of the scheduling algorithm
5 仿真校验及性能评估 5.1 性能评估指标

为了验证本文方法的优越性,采用以下指标进行性能评估。

(1) 时间利用率(Time Utilization Ratio, TUR):

式中, ${I_{{\rm{suc}}}}$ 为成功调度任务总数; $T\ $ 为总的可用时间。时间利用率越高,调度方法性能越佳。

(2) 目标失跟率(Target Tracking Loss Ratio, TTLR):

式中, ${I_{{\rm{loss}}}}$ 为所有请求任务中失跟任务的总数; ${I_{{\rm{track}}}}$ 为所有请求任务中跟踪任务的总数。目标失跟率越低,说明相控阵雷达跟踪目标的情况越好,调度过程中产生的失跟处理任务越少,也表明调度方法性能越佳。

5.2 仿真校验

传统固定时间窗方法就是各类任务的时间窗被预先设定,其中搜索任务的时间窗设定分为两种,一种是无限期处理[711,13,14,2022],即时间窗值无穷大,另一种是设定有限固定值[4,5,1519]。本文中动态时间窗方法对搜索、跟踪和失跟处理任务区别计算提前时间窗和延迟时间窗,其中搜索和失跟处理任务的提前时间窗作无限期处理,并将验证任务的时间窗设为固定值。为证明本文方法的优越性,下面对本文方法和固定时间窗方法[4]分别进行仿真。仿真中,除时间窗参数不同外,其它仿真参数和实验场景设置完全相同。由于精跟踪、粗跟踪以及监视这3类跟踪任务的时间窗计算过程相同,为便于仿真,这里不对跟踪任务进行细分类。

仿真参数:(1)调度间隔为25 ms,仿真时间为20 s; (2)对于能量约束,取 ${\bar P_{\tau \max }}$ =1.2 kW, $\tau $ =200; (3)对于优先级设计,取 $\eta $ =2; (4)对于跟踪任务时间窗的计算,取 $\rho = 0.9$ , ${w_0}$ =30 ms,跟踪波门各方向分量的大小均为30 m; (5)对于搜索任务时间窗的计算,设搜索空域有300个波位, ${T_{\rm{f}}}$ =6 s; (6)各个任务执行时间在实际中应根据系统的具体设计及实时情况来确定,在这里为便于仿真只做了简单设定。

参数设置[4,15]表1所示。

表 1 任务参数设置 Tab.1 Parameters of tasks

仿真实验场景设置为:(1)相控阵雷达对5~30批目标进行跟踪;(2)搜索任务在仿真开始就均按其更新率周期产生,目标被随机搜索到;(3)搜索检测到的目标经验证确定为有效目标后,对其进行跟踪,跟踪任务按其更新率产生;(4)验证任务由两部分产生(目标验证与虚警);(5)当跟踪任务被删除或跟踪滤波过程中残差绝对值大于波门宽度时,产生相应目标的失跟处理任务。

对不同目标数量情况下的仿真实验各进行100次,仿真结果相加取平均,如图4图9所示。图4表示两种方法在不同数量目标下的资源利用率;图5表示两种方法在不同数量目标下的目标失跟率;图9为两种方法在不同数量目标下的完成一帧空域搜索的时间。同时为便于进一步分析跟踪任务时间窗的性能,给出某一批目标的航迹、该目标跟踪距离误差曲线和该目标跟踪任务的时间窗变化曲线,以及搜索任务的延迟时间窗曲线,分别如图6图8图10所示,并设该目标为A目标。图7中,A目标首先匀速下降,然后过渡到平飞。

图 4 时间利用率曲线 Fig.4 Curve of time utilization ratio

图4中可以看出,两种方法的时间利用率无较大区别,说明二者在充分利用时间资源方面的性能相近。

图 5 目标失跟率曲线 Fig.5 Curve of target tracking loss ratio
图 6 A目标航迹图 Fig.6 Flight path of target A
图 7 A目标跟踪距离误差曲线 Fig.7 Tracking error of distance of target A
图 8 A目标时间窗曲线 Fig.8 Time window of target A

图5中可以看出,动态时间窗方法的目标失跟率小于固定时间窗方法。结合图6图8进一步分析可知,A目标首先匀速下降,然后通过机动过渡到平飞,其航迹和跟踪距离误差如图6图7所示。目标跟踪滤波的残差的大小会影响到目标的跟踪距离误差,一般情况下,目标跟踪滤波的残差的绝对值较大时,目标的跟踪距离误差也较大。利用动态时间窗方法计算得到的跟踪任务时间窗与上一时刻跟踪滤波的残差有关,并且在任务调度执行过程中,又会反过来影响下一时刻跟踪滤波的残差。对比图7图8可知,动态时间窗方法对A目标的跟踪任务时间窗的大小可以大致根据A目标跟踪质量的好坏而相应变化,保证了对目标的正常稳定跟踪。而固定时间窗方法自始至终其时间窗都为一固定值,当对目标的跟踪质量较差时,若仍按照其原有的固定时间窗进行跟踪任务执行,会造成雷达对目标的跟踪误差过大而导致失跟。所以动态时间窗方法的目标失跟率较固定时间窗方法低。由于跟踪任务的提前时间窗和延迟时间窗是根据残差可增减的范围和波门之间的约束关系得到,所以二者的大小具有一定的互补性。

图 9 完成一帧搜索时间曲线 Fig.9 Curve of a frame search time
图 10 搜索任务延迟时间窗曲线 Fig.10 Time window of search task

图9中可以看出,当目标数量小于10时,固定时间窗方法能够在搜索帧周期内完成对空域的一帧搜索;当目标数量等于10并继续增多,固定时间窗方法完成对空域的一帧搜索远远超过搜索帧周期的时间。而本文中动态时间窗方法无论目标数量多少,始终能够在搜索帧周期内完成对空域的一帧搜索。结合图10进一步分析可知,动态时间窗方法根据搜索帧周期的约束,对搜索任务延迟时间窗进行动态计算,当排序在前面的波位搜索任务执行时间延迟较大,则排序在后面的波位搜索任务的延迟时间窗则相应减小。而固定时间窗方法始终为一固定值,当已经执行的搜索任务时间延迟较大时,若后续搜索任务仍按照其原有的固定时间窗进行延迟执行,会造成超出搜索帧周期。所以动态时间窗方法的搜索任务执行性能优于固定时间窗方法。

综上所述,与传统动态时间窗方法相比,本文动态时间窗方法在对时间资源充分利用的基础上,既能够保证对目标的正常跟踪,又使得雷达能够在搜索帧周期内完成对空域的一帧搜索,具有一定的有效性和优越性。

6 结束语

有效合理地设计任务时间窗,对提升相控阵雷达的整体性能有着重要意义。本文针对相控阵雷达任务调度中时间窗设定的问题,提出了一种动态时间窗设定方法,给出了新的调度方法的详细流程。并将动态时间窗方法与传统固定时间窗方法进行了对比实验,验证了动态时间窗方法的有效性和优越性。仿真结果表明,动态时间窗方法既能保证对目标的正常跟踪,又使得雷达能够在搜索帧周期内完成对空域的一帧搜索。

在雷达实际操作环境中,电子干扰是影响雷达性能的十分重要的一个因素。本文在分析整个相控阵雷达任务调度的过程中,并未考虑电子干扰的影响。因此,如何考虑在电子干扰的背景下,实时计算任务时间窗以及分析相控阵雷达任务调度的其它环节,是下一步的研究重点。

参考文献
[1] 毕增军, 鲁力, 徐晨曦, 等. 相控阵雷达资源管理技术的发展与应用研究[J]. 现代防御技术, 2015, 43(5): 116-123, 191.
Bi Zeng-jun, Lu Li, Xu Chen-xi, et al. Development and application of phased array radar resource management[J]. Modern Defense Technology, 2015, 43(5): 116-123, 191. DOI:10.3969/j.issn.1009-086x.2015.05.020 (0)
[2] 胡卫东, 郁文贤, 卢建斌, 等. 相控阵雷达资源管理的理论与方法[M]. 北京: 国防工业出版社, 2010.
Hu Wei-dong, Yu Wen-xian, Lu Jian-bin, et al.. Theory and Method of Resource Management for Phased Array Radars[M]. Beijing: National Defense Industry Press, 2010. (0)
[3] 张伯彦, 蔡庆宇. 相控阵雷达的计算机控制技术[J]. 系统工程与电子技术, 1999, 21(1): 45-49.
Zhang Bo-yan and Cai Qing-yu. Computer control techniques of phased array radars[J]. Systems Engineering and Electronics, 1999, 21(1): 45-49. DOI:10.3321/j.issn:1001-506X.1999.01.012 (0)
[4] 曾光, 胡卫东, 卢建斌, 等. 多功能相控阵雷达自适应调度仿真[J]. 系统仿真学报, 2004, 16(9): 2026-2029.
Zeng Guang, Hu Wei-dong, Lu Jian-bin, et al. The simulation on adaptive scheduling for multifunction phased array radars[J]. Journal of System Simulation, 2004, 16(9): 2026-2029. DOI:10.3969/j.issn.1004-731X.2004.09.047 (0)
[5] 曾光, 卢建斌, 胡卫东. 多功能相控阵雷达自适应调度算法研究[J]. 现代雷达, 2004, 26(6): 14-18.
Zeng Guang, Lu Jian-bin, and Hu Wei-dong. Research on adaptive scheduling algorithm for multifunction phased array radar[J]. Modern Radar, 2004, 26(6): 14-18. (0)
[6] Zhang B Y, Li S H, Yan W, et al.. An efficient scheduling method for phased array radars with limited time resources[C]. Proceedings of the IET International Radar Conference, Guilin, China, 2009: 1–4. (0)
[7] 卢建斌, 胡卫东, 郁文贤. 多功能相控阵雷达实时任务调度研究[J]. 电子学报, 2006, 34(4): 732-736.
Lu Jian-bin, Hu Wei-dong, and Yu Wen-xian. Study on real-time task scheduling of multifunction phased array radars[J]. Acta Electronica Sinica, 2006, 34(4): 732-736. DOI:10.3321/j.issn:0372-2112.2006.04.032 (0)
[8] Cheng T, He Z S, and Tang T. Novel radar dwell scheduling algorithm based on pulse interleaving leaving[J]. Journal of Systems Engineering and Electronics, 2009, 20(2): 247-253. (0)
[9] 程婷, 何子述, 李会勇. 一种数字阵列雷达自适应波束驻留调度算法[J]. 电子学报, 2009, 37(9): 2025-2029.
Cheng Ting, He Zi-shu, and Li Hui-yong. An adaptive dwell scheduling algorithm for digital array radar[J]. Acta Electronica Sinica, 2009, 37(9): 2025-2029. DOI:10.3321/j.issn:0372-2112.2009.09.025 (0)
[10] Lu J B, Xiao H, Xi Z M, et al. Multifunction phased array radar resource management: Real-time scheduling algorithm[J]. Journal of Computational Information Systems, 2011, 7(2): 385-393. (0)
[11] Lu J B, Xiao H, Xi Z M, et al. Phased array radar resource management: Task scheduling and performance evaluation[J]. Journal of Computational Information Systems, 2013, 9(3): 1131-1138. (0)
[12] Miranda S L C, Baker C J, Woodbridge K, et al. Fuzzy logic approach for prioritisation of radar tasks and sectors of surveillance in multifunction radar[J]. IET Radar, Sonar & Navigation, 2007, 1(2): 131-141. (0)
[13] Madhusudhan H S and Khalid Nazim S A. A comparative study on different AI techniques towards performance evaluation in RRM (Radar Resource Management)[J]. International Journal of Advanced Research in Artificial Intelligence, 2012, 1(5): 11-15. (0)
[14] 张浩为, 谢军伟, 师俊朋, 等. 饱和时序下防空相控阵雷达动态优先级调度算法[J]. 北京航空航天大学学报, 2016, 42(12): 2722-2729.
Zhang Hao-wei, Xie Jun-wei, Shi Jun-peng, et al. Dynamic priority scheduling algorithm for air defense phased array radar in overload situations[J]. Journal of Beijing University of Aeronautics and Astronautics, 2016, 42(12): 2722-2729. DOI:10.13700/j.bh.1001-5965.2015.0779 (0)
[15] 张浩为, 谢军伟, 盛川. 综合优先级规划下的相控阵雷达自适应调度方法[J]. 兵工学报, 2016, 37(11): 2163-2169.
Zhang Hao-wei, Xie Jun-wei, and Sheng Chuan. Adaptive scheduling algorithm over comprehensive priority for phased array radar[J]. Acta Armamentarii, 2016, 37(11): 2163-2169. DOI:10.3969/j.issn.1000-1093.2016.11.026 (0)
[16] Sun M C and Zhang Q. Priority design of radar tracking task based on BP neural network[C]. Eighth International Conference on Intelligent Control and Information Processing, Hangzhou, China, 2017: 16–20. (0)
[17] 孙铭才, 张秦, 王世强. 基于改进优先级的相控阵雷达任务调度方法[J]. 空军工程大学学报(自然科学版), 2017, 18(2): 37-42.
Sun Ming-cai, Zhang Qin, and Wang Shi-qiang. A task scheduling algorithm based on modified priority for phased array radars[J]. Journal of Air Force Engineering University (Natural Science Edition), 2017, 18(2): 37-42. DOI:10.3969/j.issn.1009-3516.2017.02.007 (0)
[18] Huizing A G and Bloemen A A F. An efficient scheduling algorithm for a multifunction radar[C]. Proceedings of International Symposium on Phased Array Systems and Technology, Boston, MA, USA, 1996: 359–364. (0)
[19] Orman A J, Potts C N, Shahani A K, et al. Scheduling for a multifunction phased array radar system[J]. European Journal of Operational Research, 1996, 90(1): 13-25. DOI:10.1016/0377-2217(95)00307-X (0)
[20] 曾光. 多功能相控阵雷达自适应调度算法研究及应用[D]. [硕士论文], 国防科学技术大学, 2003.
Zeng G. Research on and application of adaptive scheduling algorithm for multifunction phased array radars[D]. [Master dissertation], National University of Defense Technology, 2003. (0)
[21] Cheng T, He Z S, and Tang T. Dwell scheduling algorithm for multifunction phased array radars based on the scheduling gain[J]. Journal of Systems Engineering and Electronics, 2008, 19(3): 479-485. DOI:10.1016/S1004-4132(08)60110-3 (0)
[22] Chen J, Tian Z, Wang L, et al. Adaptive simultaneous multi-beam dwell scheduling algorithm for multifunction phased array radars[J]. Journal of Information & Computational Science, 2011, 8(14): 3051-3061. (0)
[23] Chen J, Wang L, Zhang W, et al. Multifunction phased radar resource management via maximal pulse interleaving technique[J]. Arabian Journal for Science and Engineering, 2013, 38(11): 3081-3091. DOI:10.1007/s13369-013-0617-y (0)
[24] 张浩为, 谢军伟, 师俊朋, 等. 动态优先级下防空相控阵雷达在线交错调度算法[J]. 系统工程与电子技术, 2017, 39(3): 529-535.
Zhang Hao-wei, Xie Jun-wei, Shi Jun-peng, et al. Dynamic priority online interleaving scheduling algorithm for the air defense phased array radar[J]. Systems Engineering and Electronics, 2017, 39(3): 529-535. DOI:10.3969/j.issn.1001-506X.2017.03.11 (0)
[25] Cheng T, He Z S, and Li H Y. Adaptive dwell scheduling for digital array radar based on online pulse interleaving[J]. Chinese Journal of Electronics, 2009, 18(3): 574-578. (0)
[26] 何友, 修建娟, 关欣, 等. 雷达数据处理及应用[M]. 第3版, 北京: 电子工业出版社, 2013.
He You, Xiu Jian-juan, Guan Xin, et al.. Radar Data Processing with Applications[M]. 3rd Ed., Beijing: Publishing House of Electronics Industry, 2013. (0)
[27] 马纪军, 李铁, 贾军, 等. 一种基于Kalman滤波的跟踪控制方法[J]. 遥测遥控, 2016, 37(1): 31-37.
Ma Ji-jun, Li Tie, Jia Jun, et al. A tracking control method based on Kalman filter[J]. Journal of Telemetry, Tracking and Command, 2016, 37(1): 31-37. DOI:10.13435/j.cnki.ttc.002756 (0)