«上一篇
文章快速检索     高级检索
下一篇»
  雷达学报  2018, Vol. 7 Issue (4): 425-436  DOI: 10.12000/JR18005
0

引用本文  

王沛, 孙慧峰, 禹卫东. 一种新颖的星载SAR无线内定标方法研究[J]. 雷达学报, 2018, 7(4): 425-436. DOI: 10.12000/JR18005.
Wang Pei, Sun Huifeng, and Yu Weidong. A novel wireless internal calibration method of spaceborne sar[J]. Journal of Radars, 2018, 7(4): 425-436. DOI: 10.12000/JR18005.

基金项目

国家部委基金

通信作者

王沛   vanpei@163.com

作者简介

王   沛(1977–),男,陕西省西安市人,副研究员,硕士生导师。2005年在中国科学院大学获得通信与信息系统硕士学位,现为中国科学院电子学研究所副研究员。参与和负责我国多个重点星载、机载SAR工程型号项目的研制。主要研究方向为宽带信号产生技术、射频系统技术及SAR系统设计。E-mail: vanpei@163.com;
孙慧峰(1979–),男,中国科学院电子学研究所副研究员,硕士生导师。研究方向为星载合成孔径雷达天线技术。E-mail: sunemt@163.com;
禹卫东(1969–),男,中国科学院电子学研究所研究员,博士生导师。研究方向为合成孔径雷达信号处理技术。E-mail: ywd@mail.ie.ac.cn

文章历史

收稿日期:2018-01-19
改回日期:2018-06-11
网络出版:2018-07-16
一种新颖的星载SAR无线内定标方法研究
王沛①②, 孙慧峰, 禹卫东    
(中国科学院电子学研究所   北京   100190)
(中国科学院大学   北京   100049)
摘要:内定标利用雷达系统内部设备和定标通路来测量系统各部分幅度和相位在成像过程中的相对变化,是保证雷达图像辐射精度的重要手段。该文针对传统有线内定标方案定标通路未覆盖相控阵天线TR输出端至无源阵面路径、定标网络庞大且自身误差控制难等不足,提出了一种新颖的利用辅助天线的无线内定标方法,给出了定标原理和分析模型,推导了SAR天线TR通道幅相特性和系统传递函数的标定方法,并在典型星载SAR系统参数下对标定误差进行了仿真分析,仿真结果表明,辅助天线支撑杆位置引起的TR通道幅度标定误差在10–3 dB量级,可以忽略;引起相位标定误差与支撑杆位置偏差密切相关,可依据文中给出的仿真曲线得到。支持杆位置引起的系统传递函数幅度标定误差小于0.1 dB;引起的相位标定误差对支撑杆位置偏差不敏感。最后在实际相控阵天线上对无线内定标方法进行了验证,获取了TR通道幅相特性标定的实测结果,表明了该方案的可行性和有效性。
关键词合成孔径雷达    内定标    无线传输    幅相误差    传递函数    
A Novel Wireless Internal Calibration Method of Spaceborne SAR
Wang Pei①②, Sun Huifeng, Yu Weidong    
(Institute of Electronics, Chinese Academy of Sciences, Beijing 100190, China)
(University of Chinese Academy of Sciences, Beijing 100049, China)
Foundation Item: The National Ministries Foundation
Abstract: Internal calibration measures the changes in amplitude and phase of a system during imaging via the calibration loop built in Synthetic Aperture Radar (SAR). Internal calibration is also an important factor to improve the radiation accuracy of the radar. In this study, a novel wireless internal calibration method with auxiliary antenna is presented, considering that the traditional scheme is inefficient, as the calibration loop cannot cover the path from the TR (Transmitter-Receiver) output to the antenna radiator. The calibration loop also results in a complicated and heavy network. The principle and model of the new method is given, and the TR performance and system transfer function calibration approach are deduced. In addition, error analysis is conducted. The simulation results show that TR amplitude calibration errors caused by the rod of auxiliary antenna are at a 10–3 dB level, and phase calibration errors are obtained from the simulation curve in the paper; transfer function amplitude calibration errors are less than 0.1 dB, and phase calibration errors are not sensitive to the bias of the rod. Finally, the simulation results based on typical parameters of spaceborne SAR and the individual TR calibration experiments confirm the availability and feasibility of this novel method.
Key words: Synthetic Aperture Radar (SAR)    Internal calibration    Wireless transmission    Amplitude and phase error    Transfer function    
1 引言

星载合成孔径雷达(Synthetic Aperture Radar, SAR)是一种全天候全天时的对地观测手段,发展正呈现出工作模式多样化和分辨能力精细化的特点[1,2],应用领域包括国土测量、农作物的植被分析、海洋及水文观测、环境及灾害监视、资源勘探、地形测绘和微变形监视,以及军事侦察等许多方面[3],这些应用要求建立雷达图像强度与目标散射特性之间的定量关系。内定标是实现定量遥感的重要环节,它利用雷达系统内部设备和定标通路测量系统各部分幅度和相位在成像过程中的相对变化[4]

在目前已知的采用有源相控阵天线的星载SAR中,大多数系统采用功率分配网络和耦合器构成天线标定网络,再结合内定标器一起完成SAR系统有源收发通道的标定,如德国的TerraSAR[59]和加拿大的RadarSat[10],以及我国的高分三号C波段多极化SAR卫星;也有在TR (Transmitter-Receiver)组件内增加开关矩阵,通过将天线收发有源馈电网络分置完成标定的,如欧洲的Sentinal系列SAR卫星[11]。上述内定标方法经过了大量的理论分析和实践[512],并取得了良好的应用效果,但仍存在一些不足之处,主要体现在3个方面:一是系统传递函数提取时不包含TR输出端至天线无源阵面这一段路径的幅相信息,只能标定系统TR之后有源链路幅相特性;二是在天线TR通道数量日益增多的趋势下,庞大的天线定标网络增加了系统复杂度及载荷重量;三是天线定标网络由大量功分器、耦合器和电缆构成,且是分布式布局,受在轨阵面温度梯度影响,误差控制难。

本文提出了一种利用辅助天线的无线内定标方法,该方法是利用支撑杆在SAR天线侧面一定距离处架设小型无源辅助天线,与SAR天线构成收发回路,从而完成相控阵天线TR通道幅相特性和系统传递函数提取等标定工作。其优点是包含了TR输出端至天线无源阵面的幅相特性(传统的内定标方案是不包含的),标定结果更加完整;省去了庞大的天线内定标网络,简化了系统设计,减轻了载荷重量,尤其是对具有大型大扫描角有源相控阵天线的星载SAR系统,更具吸引力。

文中首先介绍了无线内定标方案的基本原理,构建了分析模型,并给出了天线TR通道幅相特性和系统传递函数的标定方法,对支撑杆引起的标定误差进行了分析和仿真,最后通过试验验证了无线内定标方法的可行性和有效性。

2 无线内定标方法 2.1 无线内定标原理

传统星载SAR内定标原理如图1所示,系统内定标由内定标器、定标电缆和天线定标网络组成[45,13],其中天线定标网络由多级功分器、高频电缆和耦合器组成。内定标回路包括:发射定标、接收定标和参考定标回路,如图1中粗虚线所示。根据系统需求,内定标器可采用延时或非延迟方案。通过这些定标通路的组合,可以完成天线TR通道幅相特性标定和SAR系统传递函数的提取。

图 1 传统星载SAR内定标原理 Fig.1 Diagram of traditional internal calibration in spaceborne SAR

星载SAR无线内定标的原理如图2所示,相对于传统方案,主要区别是省去了图1中的天线有线定标网络,代之以定标无源辅助天线[6]。定标回路如图2中粗虚线和箭头所示,发射定标时,相控阵天线各TR组件发射的功率通过空间耦合被辅助天线接收,并经过内定标器送给雷达接收机;接收定标时,调频信号源输出的信号经内定标器和定标电缆送给定标辅助天线,空间耦合至相控阵天线的各TR组件接收通道,合成后送入雷达接收机。无线内定标要完成的任务与传统内定标一致,但标定回路包含了TR输出端至天线无源阵面的幅相特性。

图 2 星载SAR无线内定标原理 Fig.2 Diagram of wireless internal calibration in spaceborne SAR

无线内定标方案的特点是将空间传输(定标辅助天线至SAR天线)作为内标定网络的一个组成部分,因此这部分的空间传输特性是关心的重点。为保证标定精度,辅助天线的安装需要考虑如下几个方面的因素:

(1) 要保证辅助天线和SAR天线各单元辐射方向图均在波束主瓣内,以使各TR通道至辅助天线的耦合能量差异减至最小,并且波瓣内相位恒定;

(2) 保证辅助天线和SAR天线各单元之间距离满足远场条件;

(3) 尽量减少辅助天线对SAR天线的遮挡,将其对SAR天线方向图的影响降到最低。

2.2 分析模型

基于上述考虑,无线内定标空间几何关系如图3所示,通过可展开的碳纤维支撑杆安装于SAR相控阵天线的一侧,长度为L,其波束中心对准SAR天线坐标原点O

图 3 无线内定标空间几何关系 Fig.3 Geometry of wireless internal calibration

下面分析如何在给定的几何关系下获得SAR天线阵面任意TR通道与辅助天线的空间传输函数 $S\left( i \right)$ ,有了 $S\left( i \right)$ 就可以对无线内定标开展定量分析。

$S\left( i \right)$ 由给定坐标系下的3部分组成:辐射单元方向图、空间传输衰减与延时、辅助天线方向图。因此根据图3的空间几何关系建立3个坐标系,第1个是SAR天线坐标系,坐标原点为O点,3个坐标轴分别为X, Y, Z;第2个是对应第i个TR通道的辐射单元坐标系,坐标原点为O $\, ' $ , 3个坐标轴为X $\, ' $ , Y $ \, '$ , Z $ \, '$ ;第3个是辅助天线坐标系,坐标原点为Or点,3个坐标轴分别为x, y, z。设SAR天线长度为W,高度为H,共有N个TR通道,辅助天线至SAR天线上第 $i$ 个TR通道(图3中表示为A点,坐标系O中的坐标为 $\left( {{x_i}{\rm{,}}{y_i}{\rm{,0}}} \right)$ )的距离为 $R\left( i \right)$

以接收定标为例(发射定标情况与之类似),辅助天线发射信号,SAR阵面接收信号。设辅助天线发射信号为 ${S_t} = {P_t}{\exp }\left( {{\rm{j}}{\varphi _t}} \right)$ ,其中 ${P_t}$ ${\varphi _t}$ 分别为幅度和相位;SAR天线第i个TR通道接收到的信号 ${S_r}\left( i \right) = {P_r}\left( i \right){\exp }\left( {{\rm{j}}{\varphi _r}\left( i \right)} \right)$ ,其中 ${P_r}\left( i \right)$ 和相位 ${\varphi _r}\left( i \right)$ 分别为幅度和相位。则空间传输函数为:

根据Farris公式有

其中, ${G_r}\left( {{\theta _r}\left( i \right),{\phi _r}\left( i \right)} \right)$ 是SAR天线辐射单元的方向图, ${G_t}\left( {{\theta _t}\left( i \right),{\phi _t}\left( i \right)} \right)$ 是辅助天线的方向图, $\lambda $ 是雷达工作波长。由上式可见 $S\left( i \right)$ 取决于SAR天线不同位置辐射单元与辅助天线的空间距离 $R\left( i \right)$ ,以及在此空间关系下辐射单元和辅助天线的方向图,这就要得到方向角 ${\theta _r}\left( i \right),{\phi _r}\left( i \right)$ ${\theta _t}\left( i \right),{\phi _t}\left( i \right)$ 。推导过程如下。

对于空间距离 $R\left( i \right)$ ,根据图3,可得

方向角 ${\theta _0}\left( i \right),{\phi _0}\left( i \right)$ 的推导,可以通过坐标系变换得到。辅助天线在坐标系O中的原始坐标为(0, –H/2, L),首先通过坐标系平移可将坐标系O移至O $\, ' $ ,然后通过坐标系变换,将其转换至天线方向图对应的极坐标系,进而得到第i个TR辐射单元方向图所要求的 ${\theta _r}\left( i \right),{\phi _r}\left( i \right)$ 如下:

同理,利用坐标变换,可推导得到方向角 ${\theta _t}\left( i \right),{\phi _t}\left( i \right)$ 。通过坐标系平移将坐标系O移至Or,再进行坐标系旋转,将+Z轴向–Z轴方向旋转 $\alpha $ $\left( \alpha = {{π}} - {\rm{ta}}{{\rm{n}}^{ - 1}}\left({H}/{L}\right)\right) $ ,使其对准O点,得到新的A点坐标 $\left( {x_i^{\prime \prime }{\rm{,}}y_i^{\prime \prime }{\rm{,}}z_i^{\prime \prime }} \right)$ 如下:

最后通过坐标变换,得到辅助天线方向图在第i个TR通道方向上对应的 ${\theta _t}\left( i \right)$ , ${\phi _t}\left( i \right)$ 如下:

其中, ${R_0}{\rm{ = }}\sqrt {{{\left( {{H}/{2}} \right)}^2}{\rm{ + }}{L^2}} $ ,是辅助天线法向波束到阵面的距离。

将式(3)–式(5)和式(7)、式(8)代入式(2),则可求得SAR天线上任意一个给定坐标位置辐射单元与辅助天线之间的空间传输函数 $S\left( i \right)$

对于辅助天线架设位置和数量的选择,可采取如下方法:天线辐射单元的方向图是SAR系统性能要求确定的,不能更改,因此要在给定SAR天线单元方向图,并满足远场条件及主瓣相互覆盖的情况下,求得辅助天线架设长度L和期望的方向图,步骤如下:

(1) 根据SAR天线尺寸和几何关系找到天线阵面和定标辅助天线之间的距离最远的辐射单元坐标,对于图3的几何关系,即为坐标 ${x_i} = {{ \pm W} / 2}$ ${y_i} = {H / 2}$ 的点,坐标值为 $\left( { - {W / 2}{\rm{,}}{H / 2}{\rm{,}}0} \right)$ $ \left( {W / 2}{\rm{,}}\right. $ $ \left.{H / 2}{\rm{,}}0 \right)$

(2) 将已知的SAR天线辐射单元方向图主瓣俯仰和方位角 $\left( {{\theta _r}{\rm{,}}{\phi _r}} \right)$ ,以及上面的最远单元坐标 ${x_i}$ ${y_i}$ ,代入式(4)和式(5)可计算出辅助天线的架设长度L

(3) 计算辐射单元与辅助天线之间最短距离(图3中为长度L)是否满足远场条件,若不满足则需加长L直至满足条件;

(4) 根据求得的长度L和最远单元坐标 $\left( {{x_i}{\rm{,}}{y_i}} \right)$ ,可由式(7)和式(8)求得辅助天线对最远单元完成主瓣覆盖所需的俯仰和方位角 ${\theta _t}\left( i \right){\rm{,}}{\phi _t}\left( i \right)$ ,并据此设计辅助天线方向图主瓣宽度。

通过以上步骤即可获得辅助天线架设长度L和期望的方向图。但实际情况中由于不同SAR天线尺寸和辐射单元特性,求得的架设长度L可能会比较长,造成工程难于实现,这时可采用2个(或多个)具有一定间距的定标辅助天线,分别覆盖一部分SAR天线阵面。根据具体的架设几何,可以通过上述4个步骤,在定标天线架设长度和数量之间进行折中选取。最终得到合理的定标小天线的架设位置和天线数量。

2.3 定标方法

SAR系统内定标的两项主要任务是:一是获取天线TR通道幅相特性,用于反演天线方向图,对天线状态监测;二是通过全阵面定标提取系统参考函数,标定系统幅相稳定性。基于以上的分析模型得到的空间传输函数 $S\left( i \right)$ ,本节给出TR通道幅相特性和系统传递函数的标定方法。

(1) TR通道幅相特性标定

TR通道发射/接收幅相特性通过单TR定标得到。这里仍以接收定标为例,发射定标同理。天线各通道合成输出 ${S_r}$ 为:

其中, $N$ 为TR组件个数, ${S_t}$ 为辅助天线辐射的定标信号, $S\left( i \right)$ 为空间传输函数,其中 ${A_T}\left( i \right)$ 为TR有源链路特性, $A\left( i \right)$ 为无源阵面幅相特性,令 $ C\left( i \right)$ ${\rm{ = }}{A_T}\left( i \right)A\left( i \right)$ $C\left( i \right)$ 共有 $N$ 个未知量,为了对其求解,令TR组件设置 $k$ 组不同的移相状态,共进行 $N$ 次测量,得到

其中, $\varphi \left( {i,k} \right) \left( {k = 1,2{\rm{, }}·\!··, N} \right)$ 为设定的TR组件附加移相值,为已知量。从而得到 $N$ 组方程,用矩阵表示如下:

其中,

${{{S}}_{{r}}} = {\bigr[ {{S_r}\left( 1 \right) \; {S_r}\left( 2 \right) ·\!·\!· {S_r} \left( k \right) \; ·\!·\!·{S_r}\left( N \right)} \bigr]^{\rm T}}$ , $ {{C}} =$ $ \bigr[ C\left( 1 \right) \; C\left( 2 \right) ·\!·\!· C\left( k \right) \; ·\!·\!· C\left( N \right) \bigr]^{\rm T}\,$

通过对矩阵 ${{F}}$ 求逆即可得到各TR通道的幅相特性 ${{C}}$ 。为了便于解算,将TR通道数 $N$ 按最近的 ${2^Q}$ (Q为正整数)补零至 $M$ 个通道,并令附加移相值为:

则式(10)可写为[14]

其中, ${{{S_r}} / {\left( {{S_t}M} \right)}}$ $S\left( i \right)C\left( i \right)$ 构成离散快速傅里叶变换对,因此对 ${{{S_r}} / {\left( {{S_t}M} \right)}}$ 进行FFT即可得到TR通道的幅相特性 $C\left( i \right)$

相比传统内定标方案,上述方法因为包含了TR输出至天线无源阵面的幅相特性,因此标定结果更加完整。在得到TR通道幅相分布后,可反演出天线远场方向图,用于监测在轨运行期间SAR天线方向图性能的变化。

(2) 系统传递函数标定

系统传递函数标定的目的是获取系统收发链路级联后的整体幅相特性,并监测相对变化量。在频域,系统传递函数 ${H_{{\rm{sys}}}}$ 是雷达各收发组成部分频域幅相的乘积。根据图2无线内定标系统组成,定义各部分的频域幅相特性如下:TX—调频信号源输出信号、 ${A_T}\left( i \right)$ —SAR天线发射通道、 $A\left( i \right)$ —天线无源阵面、 ${A_R}\left( i \right)$ —SAR天线接收通道、RX—雷达接收机、 ${C_L}$ —定标电缆、 ${\rm{C}}{{\rm{R}}_1}$ —内定标器参考回路、 ${\rm{C}}{{\rm{R}}_{\rm{2}}}$ —内定标器发射回路、 ${\rm{C}}{{\rm{R}}_{\rm{3}}}$ —内定标器接收回路、 $S\left( i \right)$ —空间传输函数。按图2的定标回路,分别进行发射、接收和参考定标,可得到以下定标信号:

发射定标信号

接收定标信号

参考定标信号

上面3种定标信号利用比率定标的方法[4,5],经如下运算,可得到含内定标网络误差的SAR系统传递函数

当内定标时天线设置为法向状态,并已经过基态幅相配平,则可忽略各TR通道之间的微小幅相差异,天线的传递函数 ${A_T}\left( i \right)$ , ${A_R}\left( i \right)$ $A\left( i \right)$ 可提取到求和符合外,并用 ${A_T\,}$ , ${A_R}$ $A$ 表示,则式(18)可写为:

根据图3的几何关系,在得到式(19) ${H_{{\rm{sys}}}}$ 时,由于SAR天线各辐射单元与辅助天线距离的不同,各TR通道接收信号不是等幅同相相加,也就是说不同位置的TR通道被加了不同的权值,这将造成标定结果不能准确反映各TR通道幅相变化对天线整体幅相变化的贡献值,进而影响对 ${H_{{\rm{sys}}}}$ 的标定的准确性。因此,这里采取对传输函数 $S\left( i \right)$ 进行附加移相、衰减和延迟的方法,来以补偿不同i $S\left( i \right)$ 之间相位、幅度和时延差,使各通道信号等幅同相相加。参考式(1),具体补偿量为:

式中, ${\rm{mod}}\left\langle {{\varphi _S}{\rm{,}} 2{{π}} } \right\rangle $ 表示移相值 ${\varphi _S}$ $2{{π}} $ 取余数,该项是附加移相值; ${\rm{int}}\left\langle {{\varphi _S}{\rm{,}} 2{{π}} } \right\rangle $ 表示移相值 ${\varphi _S}$ $2{{π}} $ 取整数,该项是附加延迟值; ${1 / {{T_S}}}$ 则为附加衰减值。移相、衰减和延迟的实现分别通过SAR天线自身的移相器、衰减器和延迟组件完成。这样综合式(19)和式(20),最终内标定求得的系统参考函数如下:

式中,第1个括号内的部分即为要求解的SAR系统的真实传递函数,其余部分为内定标网络幅相特性,它的不确定变化引起标定误差。其中 $C_L^2$ 为定标电缆的双程幅相特性, $\displaystyle\frac{{{\rm{C}}{{\rm{R}}_{\rm{2}}} \cdot {\rm{C}}{{\rm{R}}_{\rm{3}}}}}{{{\rm{C}}{{\rm{R}}_{\rm{1}}}}}$ 为内定标器的幅相特性, ${\left( {\displaystyle\sum\nolimits_{i = 1}^N\!\! {{S_C}\left( i \right)S\left( i \right)} } \right)^2}$ 为被 ${S_C}\left( i \right)$ 加权后的空间传输函数矢量和的双程幅相特性。

3 误差分析及仿真 3.1 误差分析

误差分析包括两方面:TR通道幅相特性标定和系统传递函数标定的误差分析。

首先,对于TR通道幅相特性标定,关心的是阵面口径幅相分布的相对变化,由图2可知,定标回路中的内定标器和定标电缆属于公共支路,天线合成信号接收也为公共支路,在毫秒级的定标时间内公共支路引起的阵面口径幅相相对变化可以忽略。因此空间传输函数 $S\left( i \right)$ 和TR组件的移相器 $\varphi \left( {i{\rm{,}}k} \right)$ 的精度决定了SAR天线TR通道幅相误差 ${{C}}$ 的求解精度。误差源如表1所示,并将其分解表示为幅度误差和相位误差。

表 1 TR通道幅相特性标定误差源 Tab.1 Error sources of TR amplitude and phase calibration

其次,对于系统传递函数标定的误差分析,根据式(21),引起标定误差的部分如下:

定义传输函数加权矢量和 $\delta = \displaystyle\sum\nolimits_{i = 1}^N \!\!{{S_C}\left( i \right)S\left( i \right)} $ ,并对上式中各误差项作如下分解(见表2),将幅度误差以对数形式表示(单位为dB)。

表 2 系统传递函数标定误差源 Tab.2 Error sources of transfer function calibration

表2中,内定标器误差主要受在轨温度影响,因单机内部温度一致,参考、发射和接收3个回路的误差随温度变化趋势一致,故内定标器误差为 $\Delta {\rm{CR}} = \Delta {\rm{C}}{{\rm{R}}_{\rm{2}}} + \Delta {\rm{C}}{{\rm{R}}_{\rm{3}}} - \Delta {\rm{C}}{{\rm{R}}_{\rm{1}}}$ ;定标电缆主要受在轨温度梯度影响,且与内定标器温度不同;传输函数加权矢量和δ的误差主要由距离 $R\left( i \right)$ ,方向图 ${G_r}\left( {{\theta _0}\left( i \right),{\phi _0}\left( i \right)} \right)$ ${G_t}\left( {{\theta _1}\left( i \right),{\phi _1}\left( i \right)} \right)$ ,及式(20)表示的附加移相、衰减和延迟决定。误差 $\Delta {C_L}$ , $\Delta {\rm{CR}}$ $\Delta \delta $ 的起因各不相同,因此为独立随机变量,则SAR系统传递函数标定误差为各误差项的均方根值(考虑双程),可得

系统幅度标定误差为:

系统相位标定误差为:

在上述各误差中,TR通道幅相特性标定移相器误差 $\Delta P\left( {i{\rm{,}}k} \right)$ 的分析[9,13]、内定标器和定标电缆误差的分析[57,15]与传统方案相同,已有文献论述,此处不做深入讨论。空间传输函数误差DS(i)和传输函数加权矢量和误差 $\Delta \delta $ 是本方案特有的误差,都和空间传输函数S(i)有关,是分析重点。对S(i)有影响的误差项可进一步分为定标辅助天线支撑杆在轨展开固定误差、随机抖动误差、热变形误差、辅助天线和辐射单元方向图误差。

对于高频电缆的温变误差,人们在工程研制中已经给予了比较多的关注,尤其在系统内定标应用中,解决办法包括:(1)选用高性能温度稳相电缆(如美国Times公司的PhaseTrack系列PT210电缆[16]);(2)对电缆进行多点测温并根据电缆自身的幅相-温度特性曲线在数据处理时进行补偿;(3)对裸露在外的电缆进行多层包覆保温处理,将其温度控制在与天线馈网电缆相同的温度范围内。上述方法在我国某干涉星载SAR中均有应用,并通过了热平衡试验考核,较为成熟。对无线内定标辅助天线电缆的幅相温变控制也可以采取上述措施。因此本文根据工程实践为其分配了补偿后典型值,幅度0.1 dB,相位1°,如表3所示。

表 3 仿真参数设置 Tab.3 Parameters of simulation

对于热变形误差,卫星上的支撑杆一般采用碳纤维材料复合材料,复合材料是一种多相固体材料,其性能可以设计,能够在相当大的范围内调节以满足使用要求。碳纤维材料具有很高的比强度、比模量,耐温度性能非常好,具有极低的热膨胀系数,并各向异性,平行于纤维方向为负值,垂直于纤维方向为正值。不同类型的碳纤维材料热膨胀系数差别不大,其轴向热膨胀系数均在10–6量级[17,18],例如以日本东丽公司T300型号碳纤维复合材料的轴向热膨胀系数为–0.3×10–6/°C[17]。大多数遥感卫星处于近地轨道,其舱外温度变化范围约为–100 °C~70 °C[19]。根据此数据,在表3仿真参数下,当支撑杆长度为1 m时,热变形引起的支撑杆在轴向长度的变化为–0.051 mm,对应的相位误差范围为0.20°~0.58°(随阵面位置不同而不同),对应的幅度误差最大为8.8×10–4dB,可见由定标支撑杆在轨热变形引起的标定幅相误差均非常小,对一般应用的SAR来讲该误差可以忽略。

根据以上分析,本文将误差研究的重点放在定标辅助天线支撑杆在轨展开和随机抖动引起的位置误差上。支撑杆位置误差的分析采用图4所示的模型。位置误差可采用离轴角 $\beta $ 和旋转角 $\gamma $ 表示,将 $\beta $ $\gamma $ 转换为在SAR天线坐标系O中的偏移量 $ \Delta x{\rm{,}}$ $\Delta y{\rm{,}}\, \Delta z$ ,如式(24);再采用第2节的分析方法,可得偏移后距离 ${R_m}\left( i \right)$ ,如式(25);同理可求得偏移后的方向角 ${\theta _{rm}}\left( i \right){\rm{,}}\;{\phi _{rm}}\left( i \right)$ ${\theta _{tm}}\left( i \right){\rm{,}}\;{\phi _{tm}}\left( i \right)$ ;最后可得含误差的传输函数 ${S_m}\left( i \right)$ 和变化量 $\Delta S\left( i \right)$ ,在此结果上可得位置误差对无线内定标精度的影响。

图 4 支撑杆的位置偏差示意 Fig.4 Bias of rod position
3.2 仿真结果

取X波段星载SAR的典型参数,仿真支撑杆位置误差对TR通道幅相特性和系统传递函数标定的影响。仿真参数设置如表3所示,辅助天线支撑杆长度为1 m, SAR天线辐射单元和辅助天线之间满足远场条件,波束主瓣覆盖天线阵面。内定标器为非延迟定标,内定标器和定标电缆误差取典型值,分别为幅度0.4 dB、相位2°和幅度0.1 dB、相位1°。支撑杆展开位置误差 $\beta $ 取值范围0°~0.10°,旋转角 $\gamma $ 取0°~360°。

3.2.1 TR通道幅相特性标定误差

在支撑杆位置误差 $\beta $ 取值0°~0.10°范围内分析对空间传输函数 $S\left( i \right)$ 的影响。图5纵轴为空间传输函数 $S\left( i \right)$ 误差,横轴为旋转角 $\gamma $ 图5(a)图5(b)分别为 $S\left( i \right)$ 幅度误差、相位误差。可以看到幅度误差均在10–3 dB量级,可忽略;相位误差随位置误差的增加显著变大,需要根据相位误差的要求控制支撑杆的位置偏差量。例如要求 $S\left( i \right)$ 的相位误差小于2°,则需支撑杆的位置误差 $\beta $ 要小于0.01°。

图 5 位置误差引起的空间传输函数 $S\left( i \right)$ 的变化 Fig.5 $S\left( i \right)$ variation versus rod position errors

进一步分析典型位置误差( $\beta = 0.01^\circ $ )对TR通道幅相特性标定的影响。标定误差如图6所示。通过与无位置误差标定结果对比,可以看出,TR通道幅相特性标定方法可有效跟踪通道幅相变化,幅度跟踪误差为10–3 dB量级,可以忽略;相位跟踪误差为–1.72°~1.67°,可满足使用要求。

图 6 TR通道幅相标定误差 Fig.6 Calibration errors of TR channel
3.2.2 系统传递函数标定误差

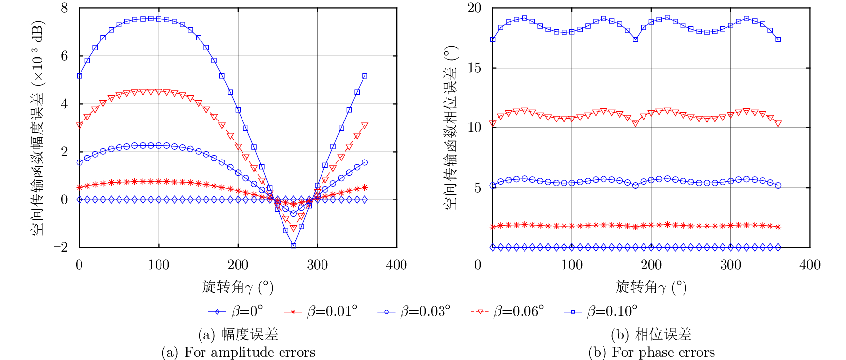
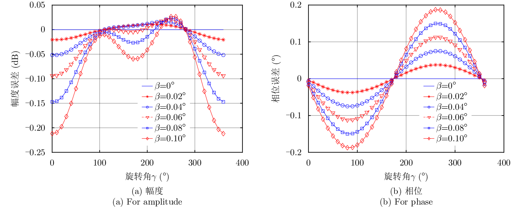
首先分析 $\delta $ 函数(3.1节中定义)误差。当离轴角 $\beta $ 取值0°~0.10°, $\delta $ 函数与位置误差的关系如图7所示。从图中可以看出在位置误差离轴角 $\beta $ 达到0.06°时,幅度误差可保持在0.1 dB以内,相位误差可保持在0.15°以内,都非常小。仿真结果表明, $\delta $ 函数对支撑杆位置误差不敏感。

图 7 $\delta $ 函数幅相变化与位置误差关系 Fig.7 Variation of function $\delta $ versus rod position errors

进一步分析系统传递函数标定误差。采用表3参数, $\beta \,$ 取值范围0°~0.10°,系统传递函数标定误差如表4所示。可见在支撑杆位置误差0.02°以内,传递函数标定误差受到的影响非常小;0.02°以上幅度误差逐渐增大,相位误差仍非常小。表明系统传递函数标定对支撑杆位置误差的容忍度较高。

表 4 系统传递函数标定误差 Tab.4 Errors of system transfer function calibration

总之,上述仿真结果表明,采用无线内定标方法,要满足所需的定标精度,对辅助天线支撑杆位置精度并没有提出过于苛刻的要求,表明该方法是可行的。但仍需合理控制由入轨展开和在轨随机抖动等原因引起的支撑杆位置偏差,上述仿真数据则为此提供了参考。

4 试验结果

在某X波段相控阵天线上对无线内定标提取TR通道幅相特性的方法进行了验证,并通过获取的口径场幅相分布反演了天线方向图。被测相控阵天线尺寸为4.2 m(方位)×0.65 m(距离),方位向单元数为36个,距离向为32个。辅助天线采用开口波导,支撑杆位置参照图3所示,支撑杆长度为0.76 m。以单TR接收定标为例给出无线内定标方法获得的TR通道幅相特性实测结果如图8所示,其中图8(a)图8(b)分别为无线内定标获取的TR通道幅度和相位特性,可见口径场幅相分布一致性较好。利用口径场数据反演得到的天线接收距离方向图如图9所示,其中图9(a)图9(b)分别为法向和扫描+20°情况,通过与近场测量得到的接收方向图进行比较,可以看出无论是法向还是波束扫描状态,通过无线内定标反演得到的天线方向图与近场测量得到的天线方向图吻合度很好,表明了这种标定方法的可行性和有效性。本文试验部分仅对TR通道幅相特性标定方法进行了验证,后续还将对系统参考函数标定方法进行实测验证。

图 8 TR通道幅相特性 Fig.8 Calibration results of TR channel
图 9 距离向接收方向图 Fig.9 Reception pattern in elevation
5 结论

本文针对传统内定标方案中存在的定标通路不能覆盖TR输出端至天线无源阵面路径、天线定标网络体积重量庞大且自身误差控制难等不足,提出了一种新颖的无线内定标方案。建立了无线内定标的分析模型,推导了定标空间传输函数 $S\left( i \right)$ ,给出了TR通道幅相特性和系统传递函数的标定方法,对新方案的误差源进行了分析,并在典型参数下仿真分析了支撑杆位置误差对标定性能的影响。最后通过试验证明了无线内定标方法对TR通道幅相特性标定的可行性和有效性,利用无线内定标获取系统传递函数的试验将在下一步工作中完成。

参考文献
[1] 邓云凯, 赵凤军, 王宇. 星载SAR技术的发展趋势及应用浅析[J]. 雷达学报, 2012, 1(1): 1-10.
Deng Yun-kai, Zhao Feng-jun, and Wang Yu. Brief analysis on the development and application of spaceborne SAR[J]. Journal of Radars, 2012, 1(1): 1-10. DOI:10.3724/SP.J.1300.2012.20015 (0)
[2] 李春升, 王伟杰, 王鹏波, 等. 星载SAR技术的现状与发展趋势[J]. 电子与信息学报, 2016, 38(1): 229-240.
Li Chun-sheng, Wang Wei-jie, Wang Peng-bo, et al. Current situation and development trends of spaceborne SAR technology[J]. Journal of Electronics & Information Technology, 2016, 38(1): 229-240. DOI:10.11999/JEIT151116 (0)
[3] 袁孝康. 星载合成孔径雷达导论[M]. 北京: 国防工业出版社, 2003
Yuan Xiao-kang. Introduce to the Spaceborne Sythetic Aperture Radar[M]. Beijing: National Defend Industry Press, 2003 (0)
[4] 杨汝良, 戴博伟, 谈璐璐, 等. 极化微波成像[M]. 北京: 国防工业出版社, 2017
Yang Ru-liang, Dai Bo-wei, Tan Lu-lu, et al.. Polarimetric Microwave Imaging[M]. Beijing: National Defend Industry Press, 2017 (0)
[5] Brautigam B, Gonzalez J H, Schwerdt M, et al. TerraSAR-X instrument calibration results and extension for TanDEM-X[J]. IEEE Transactions on Geoscience and Remote Sensing, 2010, 48(2): 702-715. DOI:10.1109/TGRS.2009.2030673 (0)
[6] Takahashi T, Nakamoto N, Ohtsuka M, et al. On-board calibration methods for mechanical distortions of satellite phased array antennas[J]. IEEE Transactions on Antennas and Propagation, 2012, 60(3): 1362-1372. DOI:10.1109/TAP.2011.2180303 (0)
[7] Schwerdt M, Bachmann M, Schrank D, et al.. Precise calibration techniques for complex SAR systems based on active phased array antennas[C]. Proceedings of 2010 IEEE International Symposium on Phased Array Systems and Technology, Waltham, MA, USA, 2010: 695–699. DOI: 10.1109/ARRAY.2010.5613290 (0)
[8] Schwerdt M, Hounam D, and Stangl M. Calibration concept for the TerraSAR-X instrument[C]. Proceedings of 2003 IEEE International Geoscience and Remote Sensing Symposium, Toulouse, France, 2003, 7: 4509–4511. DOI: 10.1109/IGARSS.2003.1295563 (0)
[9] Brautigam B, Schwerdt M, Bachmann M, et al.. Individual T/R module characterisation of the TerraSAR-X active phased array antenna by calibration pulse sequences with orthogonal codes[C]. Proceedings of 2007 IEEE International Geoscience and Remote Sensing Symposium, Barcelona, Spain, 2007: 5202–5205. DOI: 10.1109/IGARSS.2007.4424034 (0)
[10] Luscombe A P. Internal calibration of the radarsat synthetic aperture radar[C]. Proceedings of the 10th Annual International Symposium on Geoscience and Remote Sensing, College Park, Maryland, USA, 1990: 2325–2328. DOI: 10.1109/IGARSS.1990.689003 (0)
[11] Schied E, Rostan F, Oestergaard A, et al.. The sentinel-1 C-SAR internal calibration[C]. Proceedings of the 8th European Conference on Synthetic Aperture Radar, Aachen, Germany, 2010: 1–3 (0)
[12] Bast D. Parameters affecting orthogonal SAR transmit and receive module calibration[C]. Committee Earth Observation Satellites Synthetic Aperture Radar (CEOS SAR) Workshop, Ulm, Germany, 2004 (0)
[13] Deng Y K, Zheng H F, Wang R, et al. Internal calibration for stepped-frequency chirp SAR imaging[J]. IEEE Geoscience and Remote Sensing Letters, 2011, 8(6): 1105-1109. DOI:10.1109/LGRS.2011.2157889 (0)
[14] Shnitkin H. Rapid fast Fourier transform phase alignment of an electronically scanned antenna[C]. Proceedings of the 20th European Microwave Conference, Budapest, Hungary, 1990, 1: 247–251. DOI: 10.1109/EUMA.1990.336051 (0)
[15] 杨震, 杨汝良. HJ-1-C卫星SAR系统的内定标[J]. 雷达学报, 2014, 3(3): 314-319.
Yang Zhen and Yang Ru-liang. Internal calibration of HJ-1-C satellite SAR system[J]. Journal of Radars, 2014, 3(3): 314-319. DOI:10.3724/SP.J.1300.2014.14028 (0)
[16] TIMES. Phase track full line brochure[EB/OL]. http://www.timesmicrowave.com/, 2016 (0)
[17] 张骏华. 导弹和运载火箭复合材料结构设计指南[M]. 北京: 宇航出版社, 1999: 1, 16
ZHANG Junhua. Structural design guid of composite material[M]. Beijing: Aerospace press, 1999: 1, 16 (0)
[18] 欧阳国恩, 许路, 刘成民, 等. 几种纤维的热膨胀系数实验测定[J]. 宇航材料工艺, 1988(4): 48-53, 32.
OUYANG Enguo, XU Lu, Liu Chengmin, et al. Experimental determination for coefficients of thermal expansion of several fibers[J]. Aerospace Materials and Technology, 1988(4): 48-53, 32. (0)
[19] 薛丰廷, 汤心溢. 空间目标瞬态温度特性研究[J]. 激光与红外, 2008, 38(3): 223-225.
Xue Feng-ting and Tang Xin-yi. Study on the transient temperature of the space target[J]. Laser & Infrared, 2008, 38(3): 223-225. DOI:10.3969/j.issn.1001-5078.2008.03.009 (0)