«上一篇
文章快速检索     高级检索
下一篇»
  雷达学报  2018, Vol. 7 Issue (3): 320-334  DOI: 10.12000/JR18019
0

Citation  

Wang Yong and Chen Xuefei. Three-dimensional Geometry Reconstruction of Ship Targets with Complex Motion for Interferometric ISAR with Sparse Aperture[J]. Journal of Radars, 2018, 7(3): 320-334. DOI: 10.12000/JR18019.
王勇, 陈雪飞. 基于稀疏孔径干涉ISAR技术的复杂运动舰船目标三维坐标恢复方法[J]. 雷达学报, 2018, 7(3): 320–334. DOI: 10.12000/JR18019.

Foundation Item:

The National Natural Science Foundation of China (61622107, 61471149), The Fundamental Research Funds for the Central Universities.

*Communication author:

Wang Yong   wangyong6012@hit.edu.cn

Author Introduction:

Wang Yong (SM’16) was born in 1979. He received the B. S. degree and M. S. degree from Harbin Institute of Technology (HIT), Harbin, China, in 2002 and 2004, respectively, both in electronic engineering. He received the Ph. D. degree in information and communication engineering from HIT in 2008. He is currently a professor with the institute of electronic engineering technology in HIT. His main research interests are in the fields of time frequency analysis of nonstationary signal, radar signal processing, and their application in synthetic aperture radar (SAR) imaging. Dr. Yong Wang has published more than 60 papers, and most of them appeared in the journals of IEEE Trans. On GRS, IET Signal Processing, Signal Processing, etc. He received the Program for New Century Excellent Talents in University of Ministry of Education of China in 2012, and the Excellent Doctor’s Degree nomination Award in China in 2010. E-mail: wangyong6012@hit.edu.cn;
Chen Xuefei received the B. S. degree from Harbin Institute of Technology (HIT), Harbin, China, in 2017. She is now pursuing the M. E. degree in Harbin Institute of Technology. Her current research interests include the field of InISAR imaging, time-frequency signal analysis and ISAR imaging of the target with sparse aperture

Article History

Manuscript received: 2018-03-02
Revised: 2018-04-28
Published online: 2018-06-11
Three-dimensional Geometry Reconstruction of Ship Targets with Complex Motion for Interferometric ISAR with Sparse Aperture
Yong Wang, Xuefei Chen    
(Research Institute of Electronic Engineering Technology, Harbin Institute of Technology, Harbin 150001, China)
Abstract: Three-Dimensional (3-D) Interferometric Inverse Synthetic Aperture Radar (InISAR) imaging system based on the orthogonal double baseline can achieve the 3-D geometric reconstruction of a target effectively, which is extremely helpful in target classification and identification. However, only sparse aperture measurements are available in the actual imaging process, which might pose some challenges to the traditional InISAR imaging algorithms. In this study, a new method of 3-D InISAR imaging of a ship with sparse aperture is presented. Minimum entropy algorithms are adopted to realize motion compensation and image coregistration of the sparse echoes. A gradient-based technique is used to achieve highly accurate signal reconstruction for the sparse aperture. A two-Dimensional (2-D) ISAR image was achieved with azimuth compression via the parameters-estimation method, and the 3-D reconstruction of a ship was achieved via the interference approach. The obtained simulation results validate the feasibility of the presented approach.
Keywords: Three-Dimensional (3-D) Interferometric Inverse Synthetic Aperture Radar (InISAR)    Sparse aperture    Gradient-based method    Parameter estimation    
基于稀疏孔径干涉ISAR技术的复杂运动舰船目标三维坐标恢复方法
王勇 , 陈雪飞     
(哈尔滨工业大学电子工程技术研究所   哈尔滨   150001)
摘要: 基于正交双基线的3维干涉逆合成孔径雷达(ISAR)成像技术可获得目标的3维坐标信息,这对目标的分类与识别是非常有利的。然而,实际情况下回波数据一般都是稀疏的,这对传统的干涉成像技术带来一定的挑战。该文提出一种稀疏孔径情况下的舰船目标3维干涉成像算法,并采用最小熵方法实现回波数据的运动补偿与图像配准,同时基于梯度算子实现对稀疏数据的精确恢复。通过对方位向数据进行参数估计与压缩处理,可获得目标的2维ISAR成像结果,进而基于干涉技术实现对复杂运动舰船目标的3维成像。仿真数据验证了文中方法的有效性。
关键词: 3维干涉ISAR成像    稀疏孔径    梯度算法    参数估计    
1 Introduction

Inverse Synthetic Aperture Radar (ISAR) is a mature technique with widely usage for its good performance in the field of target detection and recognition. The classical ISAR technique does not has the ability of offering the height information for a target, just because that the two-Dimensional (2-D) image is the result of projection for a three-Dimensional (3-D) target. Hence, it is inappropriate for the target detection and recognition. In the recently years, many 3-D InISAR approaches have been presented to solve the above problem, and the 3-D images can be yielded by the phase difference for the ISAR received signals of separated antennas[16]. The orthogonal dual baseline configuration system is applied widespread to achieve the 3-D reconstruction of the geometry of non-cooperation target due to its simplicity and convenience. The methods via the parameters estimate of rotational motion associated with the three antenna configuration to yield the target 3-D reconstruction with ideal 3-D rotation are proposed in Refs. [7,8]. In Ref. [9], a three receiver ISAR imaging system is presented to yield the 3-D images for a target with complicated movements without the information of target motion. Besides, the 3-D InISAR imaging approach via the time frequency representation is brought forward to construct the 3-D images of targets with complicated movement in Ref. [10].

It is very important that a 2-D ISAR image with high quality should be achieved and the scatterer center should also be extracted accurately, which is helpful to estimate the interferometric phase and the high accuracy 3-D reconstruction of coordinate could be achieved consequently. This requires the long continuous echo signals to achieve it. However, it is not simple in the real applications, especially for the multi-function radar with great difficulty to have a relative long coherent process interval. Generally, there are gaps between available wideband echoes for the ISAR imaging. Furthermore, the phenomena of the loss of received signals randomly often occur in the practice, which leads to the spares aperture available in the 3-D InISAR imaging procedure.

The Compressive Sensing (CS) technique can be adopted to reconstruct the received signal in a sparse aperture with good accuracy. Therefore, the CS technique can still be applying in 2-D ISAR imaging to achieve a high quality ISAR image though the received echoes are in sparse aperture Refs. [1113]. Then, the CS technique can be used in the domain of 3-D InISAR imaging in the case of sparse aperture Refs. [1418]. The 3-D InISAR imaging approach via the Bayesian CS is mentioned in Ref. [15]. The novel 3-D InISAR imaging approach with limited pulses for the target with dynamic movement by using the Bayesian CS combined with multi-channel processing is proposed in Ref. [16], and this algorithm obtained a more accurate 3-D ISAR image. Both of these references are aimed at the aircraft targets which have only translational velocity or one-dimensional rotation. The method in Ref. [17] considered 2-D rotation of the maneuvering targets from sparse aperture data, and regard the joint multi-channel InISAR 2-D image formation as a joint-sparsity constraint optimization by effectively incorporating the multi-channel data. The Orthogonal Matching Pursuit (OMP) technique is used for the parameters estimation and scatterer center extraction, and the 3-D geometry reconstruction can finally be obtained by the multi-channel images and chirp parameters. Though the 3-D imaging results are very accurate, the complexity of the process has brought some inconvenience to the imaging.

Here, a new 3-D InISAR imaging approach of ship with dynamic movement with sparse aperture is introduced. Due to the movement of the ship target is a synthetic motion of its translational velocity and 3-D rotation, the first step is to implement the envelope alignment for the echoes by adopting the method in Refs. [19,20]. Then the fast minimum entropy phase correction method in Refs. [21,22] is adopted to achieve the phase correction and reduce the wave difference induced by the three antennas. Different from Refs. [12,13,23] in the direct use of CS method to yield the 2-D ISAR images with high quality in the sparse aperture, we use the high-precision gradient-based algorithm in Ref. [24] to achieve the recovery of echo signals. Many studies have shown that the echo of the ship target in each range unit could be seen as a multi- component linear frequency modulation signal. Hence, after the echoes for the three antennas are all reconstructed, the parameter estimation method is used to yield the 2-D ISAR images of ship with high quality[1,25]. Eventually, the 3-D geometry positions for all the scatterers could be reconstructed by combining the interference phase information of the three images.

The structure for the paper can be illustrated as: the basic signal processing for a ship in 3-D imaging is introduced in Section 2; In Section 3, the reconstruction of sparse signal via the gradient technique is introduced and the high-resolution 2-D ISAR images of ship with dynamic movement are obtained after the Fourier transform is performed directly on the echoes whose frequency slope are compensated. In Section 4, the reconstruction of 3-D geometry of ship in sparse aperture is realized by the interfering procedure for the three 2-D ISAR images. The validity of the novel method in this paper is demonstrated via the simulation result in Section 5, and the conclusion of the paper is shown in Section 6.

2 The Basic Signal Processing of the Ship Target in 3-D Imaging

The 3-D InISAR imaging model of ship with dynamic movement based on the orthogonal double baseline is established as Fig. 1. The initial radar line-of-sight (RLOS) direction of radar A is defined as the Y axis, and the X-axis and the Z-axis are constructed in the direction of horizontal and vertical, respectively. The intersection for the three axes can be illustrated as the origin O. At this point, the radar coordinate system (O, X, Y, Z) is defined successfully. The radar A(0, 0, 0) which has the transmitted antenna and the received antenna is locating at the origin, only as the receiving antennas for radar B(L, 0, 0) and radar C(0, 0, L) are lied on the horizontal and vertical directions, respectively, where L is the length of the two baselines AB and AC. The coordinate system (o, x, y, z) of ship can be constructed via the geometric center o for the target as the origin. Generally, both the ship and radar coordinate systems have different directions. $p\left( {p = 1, \cdots ,{N_p}} \right)$ is an arbitrary scatterer of ship. Np is the total number of the scatterers. RpA, RpB, RpC are the distance between scatterer p and radar A, B and C, respectively.

Fig.1 3-D InISAR imaging model

With the aim to understand the three-dimensional InISAR imaging process more easily, the signal processing process of the single-baseline AB configuration is analyzed with a simple two-dimensional plane XOY as an example, and then the signal processing of the baseline AC is analogous. Fig. 2 is the 3-D InISAR imaging model of ship in XOY plane, and it shows the different positions of the target at different times t1 and t2 during the imaging time. Although the position of the scatterers on the ship target is constantly changing with the movement of it, the relative position between the individual scatterers does not change.

Fig.2 The 3-D imaging model in XOY plane

It is supposed that the radar A transmits the Linear Frequency Modulated (LFM) signal with the form of

where $\hat t$ is the fast time, ${t_m} = m{T_r}\left( {m = 0,\;1,\; ·\!·\!· ,M} \right)$ is the slow time, Tr is the pulse repetition interval, $\tau $ is defined as the pulse width, the carrier frequency is fc, $t = \hat t + m{T_r}$ is the time that the electromagnetic wave propagates, the frequency modulation rate is represented as $\gamma $ and $\gamma = B/\tau $ , B denotes the bandwidth for the LFM signal. The received signal at the i-th (i=A, B, C) receiver from the ship target is

where ${\delta _p}$ denotes the amplitude of scatterer p, ${\tau _{pi}}$ denotes the time delay from scatterer p to radar i, which is determined by ${R_{pA}}\left( {{t_m}} \right),\;{R_{pB}}\left( {{t_m}} \right),\;{R_{pC}}\left( {{t_m}} \right)$ . Rpi(tm) is the distance between scatterer p to radar i, and it can be written as

The detailed derivation of ${R_{pA}}\left( {{t_m}} \right),\;{R_{pB}}\left( {{t_m}} \right)$ and ${R_{pC}}\left( {{t_m}} \right)$ are given in the Appendix. Then ${\tau _{pA}},\;{\tau _{pB}}$ and ${\tau _{pC}}$ are obtained as

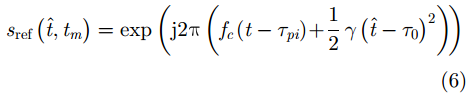
For the purpose of reducing the sampling rate of the echo signal to decrease the difficulty of signal processing, the reference signal with the uniform expression as the echo signal is used for the Dechirp process. The reference signal is

where ${\tau _0} = 2{R_0}/c$ , R0 is the distance from o to O at tm=0. By the Dechirp process with Eq. (6) and eliminating the residual video phase, and the new form of the received signal is

where $f = \hat t - {\tau _0}$ . From Eqs. (3)–(5) we can get ${\tau _{pA}} - {\tau _0},\;{\tau _{p\kappa }} - {\tau _0}$ as

It is easy to find that the third items in Ref. (8) and Ref. (9) are completely caused by the translation of the ship target, which may bring an obvious impact on the ISAR imaging of the target. So far, there are lots of methods of motion compensation have been presented. Here, the approach in Refs. [19,20] is adopted to eliminate the influence brought by the translation component. Different from the general motion compensation, we use the motion parameters of radar A to compensate radar B and C because of the three ISAR images of A, B and C must be obtained with the same focus center in the 3-D InISAR imaging. After motion compensation, the echo signal of radar A, B and C can be obtained as

where

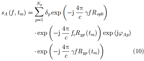
From Eq. (10) and Eq. (11), it’s easy to know that the first item is used to realize the range compression of the target, and the second item is to achieve the azimuth resolution of all the scatterers. More importantly, the third item whose phase does not change with the time is the essence of 3-D InISAR imaging. The main impact of the fourth item is to make the scatterers appear Migration Through Resolution Cell (MTRC) and the influence could be ignored during the short imaging time under normal circumstances, then the influence caused by the fourth item can be eliminated. The fifth item in Eq. (11) has little impact on the range focus of scatterers and it can be ignored. The last item which is caused by the base station configuration in Eq. (11) is the wave difference of radar A and radar $\varepsilon $ relative to radar A, it directly lead to the mismatch of the three ISAR images, and it is necessary to be removed because they will affect the quality of interferometric processing on the 3-D imaging. Furthermore, in the far field conditions, the effect of the last term in Eq. (11) on the distance cannot be considered.

After the above-mentioned procedure of the echoes, the one dimensional envelope of A, B and C could be obtained through the range compression as

where ${\Omega _p} = {\delta _p}\tau \sin {\rm{c}}\left( {2B\left( {r - {R_{op0}}} \right)/c} \right)$ , it is shown in Fig. 2 that ${\alpha _{pAB}}\left( {{t_m}} \right)$ is the motion angle caused by the location diversity of radar A and radar B during the imaging time. In the far field condition, we have the following approximation:

For the purpose of achieving the coregistration of the three ISAR images, the method proposed in Ref. [22] is used to estimate the motion angles ${\alpha _{pAB}}\left( {{t_m}} \right),\;{\alpha _{pAC}}\left( {{t_m}} \right)$ . Note that $ \kappa = B,{C},\;{\varphi _{pA\kappa}}\left( {{t_m}} \right) $ $ = - 4{{π}} {f_c}L{\alpha _{pA\kappa}}\left( {{t_m}} \right)/c$ is the phase changing with the time, for convenience, we can directly estimate ${\varphi _{pA\kappa}}\left( {{t_m}} \right)$ . In the actual processing, the phase estimation of each resolution unit may appear phase wrapped, the technique introduce in Refs. [26,27] can be adopted to realize the phase unwrapping to obtain the more accurate phase ${\varphi _{pA\kappa}}\left( {{t_m}} \right)$ .

Through the above analysis, the image coregistration can be realized by using $\exp \left( { - {\rm j}{\varphi _{pAB}}\left( {{t_m}} \right)} \right)$ and $\exp \left( { - {\rm j}{\varphi _{pAC}}\left( {{t_m}} \right)} \right)$ to compensate Eq. (14). Therefore, the one dimensional envelopes of radar B and radar C are

3 High Resolution 2-D ISAR Imaging 3.1 Reconstruction of sparse signal via the gradient technique

The discrete form of one dimensional range profile ${s_g}\left( {r,\;{t_m}} \right)$ of radar $g\left( {g = A,\;B,\;C} \right)$ is shown as ${s_g}\left( {n,\;m} \right),\;n = 1,\; ·\!·\!· ,\;N,\;m = 1,\; ·\!·\!· ,\;M$ . Then, the matrix form of it is

sgn denotes the received signal vector for the n-th range unit of radar g with the sparsity performance in the frequency domain. When the received signal is not complete, the method via gradient technique in Ref. [24] can be used to achieve the signal recovery efficiently. The main idea of this algorithm can be described as follows. The missing data are considered as variables, and it can be varied by an iterative method when the minimum value for the convex l1 norm based sparsity can be achieved with a reasonable precision. We assume that there two sampling forms for the echoes in Fig. 3 and Fig. 4. One is the Random Missing Sampling (RMS) in Fig. 3 and the other is the Gap Missing Sampling (GMS) in Fig. 4. The RMS mode means that the data of each range bin is missing randomly, and the GMS mode means that the data can be missing in a certain time interval. Use ${s_{gn}}\left( m \right),\;m = 1,\; ·\!·\!· ,\;M$ instead of sgn, the transform coefficients are expressed as ${S_{gn}}\left( k \right) = {\rm{FFT}}\left( {{s_{gn}}\left( m \right)} \right)$ , when $ k \in$ $ \left\{ {{k_1},\; ·\!·\!· ,\;{k_s}} \right\},\;{S_{gn}}\left( k \right) \ne 0,\;s \ll N$ . It is supposed that only ms echo data are available, the positions of them are noted as $ {m_i} \in {M_A} =$ $ \left\{ {{m_1},\;{m_2},\; ·\!·\!· ,{m_s}} \right\} \subset M = \left\{ {0,\;1,\;2,\; ·\!·\!· ,M - 1} \right\}$ , and the position for the lost data are ${M_Q} = {C_M}{M_A}$ . Therefore, the signal with missing samples is:

Fig.3 RMS
Fig.4 GMS

From Ref. [24], the missing signal recovery will be translated into the following optimization problem

where the components of sgn are ${S_{gn}}\left( k \right) \ = $ $ {\rm{FFT}}\left[ {s_{gn\_d}^{\left( d \right)}\left( m \right)} \right]$ , $s_{gn\_d}^{\left( d \right)}\left( m \right),\;m = 1,\; ·\!·\!· ,\;M$ is the signal values reconstructed after d iterations. With the purpose of obtaining the position when ${\left\| {{{{S}}_{gn}}} \right\|_1}$ gets the minimum value, the gradient descend technique can be used as follows Ref. [24]:

where $\alpha $ denotes the descent factor, and g denotes the corresponding gradient vector. The way to calculate each element of it is described in Ref. [24], the signal sgn can be reconstructed by a certain number of iterations. The gradient-based algorithm of signal reconstruction mentioned above is used to process the received signal of each range bin for each receiver, and then the missing data could be recovered completely. This provides the condition of 3-D InISAR imaging.

3.2 2-D ISAR imaging of ship with dynamic movement

It is assumed that the missing sample echo signals of radar A, radar B and radar C can be well reconstructed through the gradient-based algorithm analyzed in the above part, we can still get the form of one-dimensional range profiles of the three radars as Eq. (14) and Eq. (16). For the purpose of getting the 2-D ISAR images of the three radars, it is necessary to carry out the azimuth compression of the last terms in Eq. (14) and Eq. (16). But for the specificity of the ship target, different from the general maneuvering target, the combination of the 3-D rotation and the translation velocity of the ship target causes the distance ${R_{yp}}\left( {{t_m}} \right)$ as a high-order component of time, and the distance can be described as

Generally, we can find that the echo in each range unit will no longer be a single frequency signal. It will have some flaws if the traditional method by using the Fourier transform to achieve the azimuth resolution is still applied, even in the case of the movement is particularly complex, and it will not be able to imaging. Therefore, the methods that are appropriate to the ship target imaging should be used to get the high resolution in 2-D ISAR images. The method based on the optimal imaging time to realize ship target imaging is proposed in Ref. [28]. Although it is possible to achieve a good focus performance of the scatterers in the azimuth bin, the method has a certain limitation as a result of the short imaging time. The theory of compression sensing is applied to achieve the ship target azimuth high resolution in Ref. [4]. It is difficult to establish the sparse dictionary which needs to estimate the parameters of the target. Besides, if the CS process is applied in the three channels, respectively, the coherence of the three radar echoes will be reduced so that the 3-D InISAR images cannot be achieved. The algorithms via time-frequency analysis to obtain the 2-D ISAR images of ship are proposed in Refs. [2931]. For the consideration of 3-D imaging, the interference phase that doesn’t change with time needs to be retained. As a result, we need to use a method which can not only preserve the interference phase but also achieve the 2-D ISAR imaging with high quality of ship. Fortunately, many studies have shown that the echo of the ship target can be seen as the superposition of a multi-component LFM signal, which means the components after the second item in Eq. (21) can be ignored. It is appropriate to realize the high azimuth resolution of ship through the parameter estimation technique Refs. [1,25]. Ignoring the high-order component, the 1-D envelope of radar $g\left( {g = A,\;B,\;C} \right)$ is

where ${\Omega _p} \!\!=\!\! {\delta _p}\tau \sin \!{\rm c}\left( {2B\left( {r \! -\! {R_{op0}}}\right)/c} \right)$ , ${f_p} \!=\! \!- 2{f\!_c}{v_{yp1}}/\!c$ , ${\gamma _p} = - 4{f\!_c}{v_{yp2}}/c$ . The frequency modulation slope in Eq. (22) can be compensated by the following steps.

Initialization:

sgrF is an empty matrix with the length of M, w=0. Suppose ${s_{gr}}\left( {{t_m}} \right)$ is the 1-D envelope of the arbitrary range unit. For each range unit, we implement

1. Calculate $A\!\left( \!{m,\;w} \!\right) \!=\!\!\! \displaystyle\int \!\!{{s_{gr}}\left(\! {{t_m}} \!\right){{\rm e}^{ - {\rm j}\frac{1}{2}mt_m^2}}{{\rm e}^{ - {\rm j}w{t_m}}}{\rm d}{t_m}} $

2. Find the position of the maximum amplitude of A(m, w), and the value of m is denoted by ms, Compensate the original signal as $x\left( {{t_m}} \right) = {s_{gr}}\left( {{t_m}} \right)\exp \left( { - {\rm j}{m_s}t_m^2/2} \right)$ .

3. Let $y = {\rm{FFT}}\left( {x\left( {{t_m}} \right)} \right)$ , find the position of y maximum and donate as b, then ${s_{grF}}\left( b \right) = y\left( b \right)$ , $y\left( b \right) = 0$ , ${x_1}\left( {{t_m}} \right) \!=\! {\rm{IFFT}}\left( y \right)$ , $x\left( {{t_m}} \right) \!=\! {x_1}\left( {{t_m}} \right) $ $ \exp \left( {{\rm j}{m_s}t_m^2/2} \right)$

4. If x(tm) is small enough or w reaches the number of scatterers that need to be found, the loop ends, otherwise return to (1), and let w=w+1.

5. sgrF is the result of the azimuthal compression of this range unit.

When all the range units are processed by the above method, the 2-D ISAR image of radar g is

4 3-D InISAR Imaging Approach

Through a series of processing of the ship target echoes, the high resolution 2-D ISAR images of radar A, B, and C is obtained as Eq. (23). Therefore, the X-axis coordinates for ship could be obtained through the interference processing between A and B. Similarly, the Z-axis coordinates of all scatterers could be recovered with the interference procedure of A and C. In the far field condition, the Y-axis coordinates of the scatterers can be obtained by the distance measurement. For example, for the scatterer p, through the following calculation, its 3-D coordinates $\left( {{X_p},\;{Y_p},\;{Z_p}} \right)$ can be reconstructed. The interference phases can be obtained after the interference processing as

Then Xp0, Zp0 can be expressed as

Yp0 can be estimated by range measurement. Thus, the 3-D reconstruction for the ship could be implemented after all the scatterers are processed by the aforementioned algorithm.

5 Experimental Results 5.1 The establishment of simulation model for ship target

The simulation model for the ship is established as Fig. 5. There are 22 scatterers of the ship target, the length of the target is 120 m, the width is 40 m and the height is 20 m. Fig. 5(a) is the projection for the ship within x-y plane, Fig. 5(b) is the projection for the ship within y-z plane, Fig. 5(c) is the projection for the ship within x-z plane, and Fig. 5(d) is the 3-D geometry for the ship within x-y-z plane.

Fig.5 The ideal model for the ship
5.2 Simulation parameters

The simulated parameters for the ship with complex movement are shown in Tab. 1. We suppose that the ship coordinate system (o, x, y, z) and the radar coordinate system (O, X, Y, Z) have the same direction in each axis at the beginning of imaging.

Tab.1 Simulation parameters for the ship with complicated movement

It is supposed that the translational velocity only has the component of Y-axis, which means vX=0, vZ=0, and vY=1852×40/3600 m/s≈20.6 m/s. Besides, the distance between the geometry center o of the ship target and radar A is 15 km. The Signal to Noise Ratio (SNR) is supposed to be 20 dB.

5.3 Simulations of the ship target with sparse aperture

(1) Experiment 1: Signal missing in two patterns of RMS and GMS

Fig. 6 shows the results of different numbers of random missing samples of the echoes from radar A. Fig. 6 is 2/4 sparse aperture data of the echoes. The results of gap missing samples of the echoes from radar A are shown in Fig. 7. Fig. 7 is 2/4 sparse aperture data of the echoes.

Fig.6 RMS of the echoes from radar A with 2/4 sparse aperture
Fig.7 GMS of the echoes from radar A with 2/4 sparse aperture

(2) Experiment 2: Comparison of the ISAR images in two patterns of RMS and GMS

The 2-D ISAR images of radar A with 2/4 sparse aperture in the pattern of RMS are shown in Fig. 8. Fig. 8(a) is the result by using the RD technique directly. It can be found that the image of target in Fig. 8(a) is defocused because of the missing echoes. Besides, for the dynamic movement of ship, the Doppler frequency for the edge scatterers during the RD imaging process will be spread like Fig. 8(a). In order to solve the defocus problem of the ISAR image and make all the scatterers achieve good focus performance, the gradient descent algorithm is adopted to reconstruct the missing signals at first, then the method of frequency slope compensation is used instead of RD algorithm to achieve a high-resolution 2-D ISAR imaging of ship, and the result is listed in Fig. 8(b), which provides the basis for the accurate 3-D InISAR imaging. Fig. 9 lists the 2-D ISAR images of radar A in the pattern of GMS, we can have the same conclusion as in Fig. 8.

Fig.8 2-D ISAR images of radar A in 2/4 sparse aperture (RMS)
Fig.9 2-D ISAR images of radar A in 2/4 sparse aperture (GMS)

(3) Experiment 3: 3-D reconstruction for the ship with different sparse apertures in two patterns of RMS and GMS

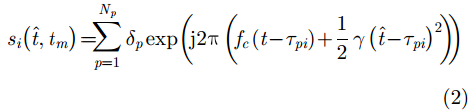
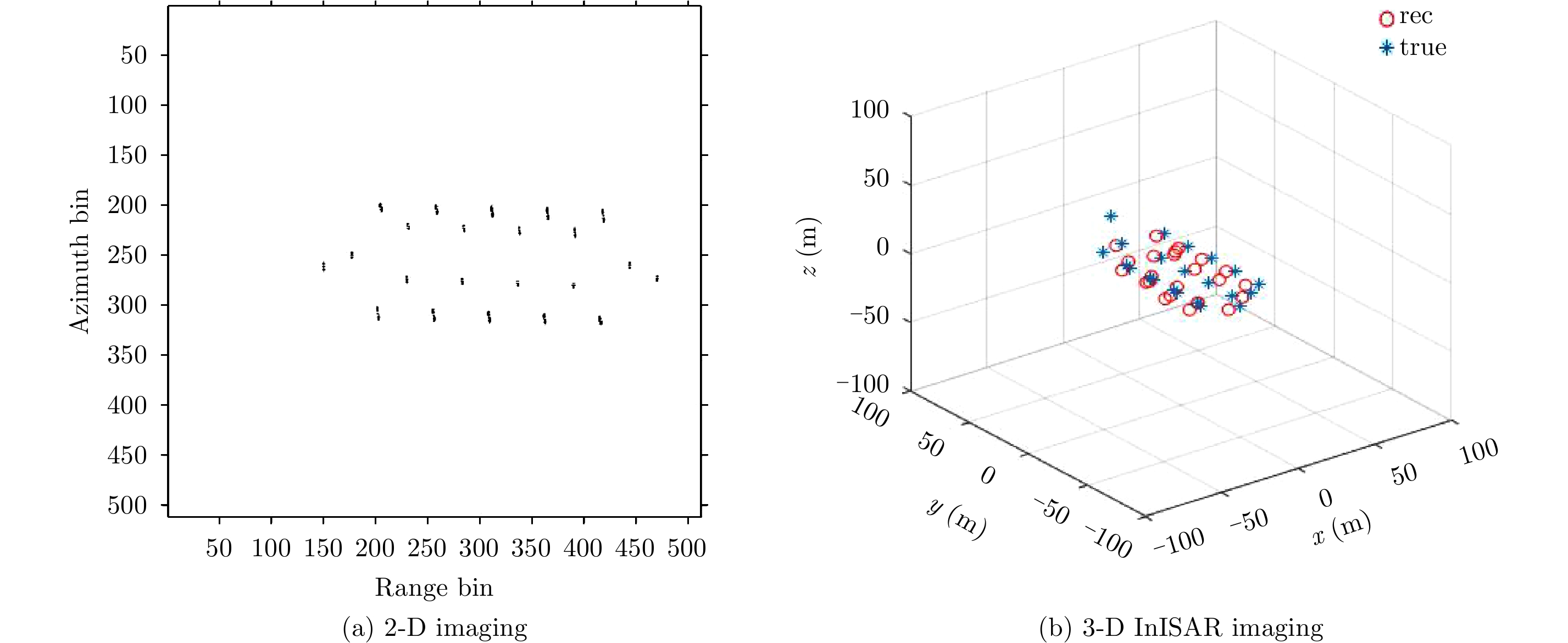
Fig. 10 and Fig. 11 are the 3-D reconstruction for the ship in the pattern of Random Missing Samples (RMS). Fig. 10 shows the 3-D imaging results for the ship via the algorithm proposed in this paper in 2/4 sparse aperture, it is easy to find that the 3-D InISAR imaging results are basically coincident with the real ship. Fig. 11 is the 3-D reconstruction results for the ship under 1/4 sparse aperture, we can see that the qualities of Fig. 11 and Fig. 10 are almost the same, which means the proposed approach is effective. The 3-D InISAR imaging results for the ship in GMS are given in Fig. 12 and Fig. 13, where Fig. 12 is the result of the target with 2/4 sparse aperture and Fig. 13 is the 3-D image of the target with 1/4 sparse aperture. It can be noted that the image quality in Fig. 12 is slightly better than that in Fig. 13 because of the reconstruct coordinates of some scatterers in Fig. 13 are not completely coincident with true scatterers like Fig. 12, but we the approximate outline of the target can still be identified. From the whole point of view, the performance of the 3-D reconstruction for the ship via the proposed algorithm in 2/4 sparse aperture outperforms that of the target in 1/4 sparse aperture because the former is closer to the true coordinates. Additionally, the 3-D images in Fig. 10 and Fig. 11 are more accurate than those in Fig. 12 and Fig. 13 because the coordinates of the scatterers in Fig. 10 and Fig. 11 are restored more accurately. Hence, it can be found that the proposed algorithm is much useful when the missing data is less and the signal missing is in RMS pattern.

Fig.10 3-D reconstruction for the ship in 2/4 sparse aperture data (RMS)
Fig.11 3-D reconstruction for the ship in 1/4 sparse aperture data (RMS)
Fig.12 3-D reconstruction for the ship in 2/4 sparse aperture data (GMS)
Fig.13 3-D reconstruction for the ship in 1/4 sparse aperture data (GMS)

(4) Experiment 4: Comparison experiments of different imaging algorithms of the target with sparse aperture

Fig. 14 shows the results of the target with 2/4 sparse aperture by using the OMP algorithm, where Fig. 14(a) is the 2-D ISAR image, and Fig. 14(b) is the 3-D InISAR image. By compared with Fig. 8(b) and Fig 10, it is evident that the image quality by using the OMP algorithm is not as good as the method presented in this paper. On one hand, the aggregation of the scatterers is relatively poor in Fig. 14(a), on the other hand, the reconstructed scatterers of the 3-D InISAR image in Fig. 14(b) have larger difference from the real points relative to Fig. 10. The results of the target with 2/4 sparse aperture in GMS are given in Fig. 15, by comparing with Fig. 14 and Fig. 15, we can draw the same conclusion as the echoes in RMS, which verifies the effectiveness of our algorithm.

Fig.14 The images of the target with 2/4 sparse aperture data (RMS) by using the OMP algorithm
Fig.15 The images of the target with 2/4 sparse aperture data (GMS) by using the OMP algorithm
6 Conclusion

A novel 3-D InISAR imaging technique for the ship with dynamic movement in sparse aperture is proposed. Taking the characteristics of the target into considerate, firstly, we have taken some measures to compensate the received echoes from the three antennas to eliminate the translational component. Meanwhile, the keystone transform is adopted to eliminate the MTRC. Besides, in order to eliminate the wave difference of the three echoes, the image coregistration is adopted in signal processing. What’s more, we combined the gradient-based algorithm and frequency modulation slope estimation to obtain the 2-D ISAR images with high quality and preserve the interference phase under sparse aperture. The 3-D geometry reconstruction for the ship could be achieves by combining the interference procedure results along the two baselines and the distance information. A series of simulations are carried out for the echoes in the two patterns of RMS and GMS, and the numerical results validate the correctness for the novel approach. As a consequence, it can be concluded that the presented technique is suitable for 3-D InISAR imaging for the ship with complex motion in sparse aperture.

Appendix

The calculation of the distance vector ${\vec R_{Ap}}\left( {{t_m}} \right)$ between scatterer p and radar A is shown in Fig. 16. ${\vec R_{Ao}}\left( {{t_m}} \right)$ and ${\vec R_{op}}\left( {{t_m}} \right)$ are the distance vectors from radar A to o and from o to the scatterer p. The 3-D rotation (roll, pitch, yaw) parameters for the ship are defined as wr, wp, and wy, respectively. The 3-D rotation for the ship could be approximated as a regular variation, and the instantaneous angular variation of the scatterers at any time tm is[32]

Fig.16 Calculation and analysis of ${{\vec R}_{Ap}}\left( {{t_m}} \right)$

where Aj denotes the maximum value of angular amplitude in the radians, ${\theta _j}$ is the initial phase of ${\vartheta _j}$ . For convenience, we consider that the ship target coordinate system (o, x, y, z) has the same direction of the radar coordinate system (O′ , X, Y, Z) in the initial imaging time. The target moves towards the Y-axis, which means vX=0, vY≠0, vZ=0. During the imaging time, the distance vector of the target moving on each coordinate axis caused by the translational velocity is $\vec R = {\left[ {0,\;\displaystyle\int_0^{{t_m}} \!\!{{v_Y}\ {\rm d}\tau } ,\;0} \right]^{\rm{T}}}$ . It is supposed that the initial coordinate vector of origin o in radar coordinate system is ${{\vec X}_{\rm initial}} = {\left[ {{X_p},\;{Y_p},\;{Z_p}} \right]^{\rm{T}}}$ and the initial coordinate vector of scatterer p in ship target coordinate system is ${{\vec x}_{\rm initial}} = {\left[ {{x_0},\;{y_0},\;{z_0}} \right]^{\rm{T}}}$ . At this point, we can obtain the new coordinate vector ${{\vec X}_{\rm new}} = {\left[ {{X_p}\left( {{t_m}} \right),\;{Y_p}\left( {{t_m}} \right),\;{Z_p}\left( {{t_m}} \right)} \right]^{\rm{T}}}$ of scatterer p in radar coordinate system at time tm as

It is assumed that the initial coordinate of scatterer p in radar coordinate system is ${{\vec X}_p} = {\left[ {{X_{p0}},\;{Y_{p0}},\;{Z_{p0}}} \right]^{\rm{T}}}$ . From Eq. (A-2), we can obtain that

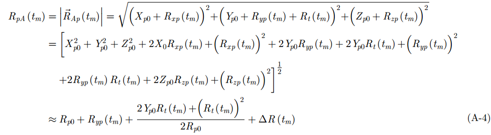
where ${R_{xp}}\left( {{t_m}} \right),\;{R_{yp}}\left( {{t_m}} \right),\;{R_{zp}}\left( {{t_m}} \right)$ are the range displacements of scaterer p in each axis due to rotation of the ship target and ${R_t}\left( {{t_m}} \right)$ is the range translation. Finally, the distance ${R_{pA}}\left( {{t_m}} \right)$ is

where

In the far field conditions, $ {R_{p0}} \gg {X_{p0}},$ $\;{R_{p0}} \!\gg\! {Z_{p0}},\;{R_{pA}}\left( {{t_m}} \right) \approx {R_{p0}},\;{R_{p0}} \!=\! {Y_{p0}}$ . What’s more, the changes of the distance $ {R_{xp}}\left( {{t_m}} \right),\, {R_{yp}}\left( {{t_m}} \right),$ $ {R_{zp}}\left( {{t_m}} \right)$ caused by the 3-D rotation of the target are small relative to Rp0. Thus, $\Delta R\left( {{t_m}} \right)$ can be ignored in Eq. (A-5). As a result, Eq. (A-5) can be replaced by

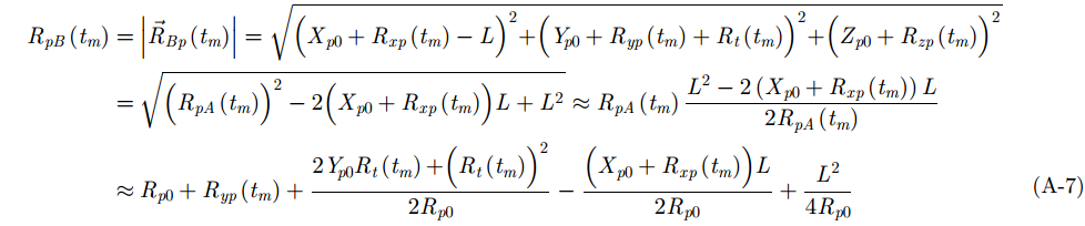
Similarly, we can get ${R_{pB}}\left( {{t_m}} \right)$ and ${R_{pC}}\left( {{t_m}} \right)$ as

REFERENCES
[1] Wang G Y, Xia X G, and Chen V C. Three-dimensional ISAR imaging of maneuvering targets using three receivers[J]. IEEE Transactions on Image Processing, 2001, 10(3): 436–447. DOI:10.1109/83.908519 (0)
[2] Ma C Z, Yeo T S, Zhang Q, et al. Three-dimensional ISAR imaging based on antenna array[J]. IEEE Transactions on Geoscience and Remote Sensing, 2008, 46(2): 504–515. DOI:10.1109/TGRS.2007.909946 (0)
[3] Liu L, Zhou F, Bai X R, et al. Joint cross-range scaling and 3D geometry reconstruction of ISAR targets based on factorization method[J]. IEEE Transactions on Image Processing, 2016, 25(4): 1740–1750. DOI:10.1109/TIP.2016.2526905 (0)
[4] Wang Y and Li X L. Three-dimensional interferometric ISAR imaging for the ship target under the bi-static configuration[J]. IEEE Journal of Selected Topics in Applied Earth Observations and Remote Sensing, 2016, 9(4): 1505–1520. DOI:10.1109/JSTARS.2015.2513774 (0)
[5] Cao X H, Su F L, Sun H D, et al.. Three-dimensional In-ISAR imaging via the emulated Bistatic radar[C]. Proceedings of the 2nd IEEE Conference on Industrial Electronics and Applications, Harbin, China, 2007: 2826–2830. (0)
[6] Ma C Z, Yeo T S, Tan H S, et al. Three-dimensional ISAR imaging using a two-dimensional sparse antenna array[J]. IEEE Geoscience and Remote Sensing Letters, 2008, 5(3): 378–382. DOI:10.1109/LGRS.2008.916071 (0)
[7] Ng B, Tran H T, and An P. Total rotational velocity estimation using 3D interferometrie ISAR with squint geometry[C]. Proceedings of 2016 IEEE Radar Conference, Philadelphia, PA, USA, 2016: 1–6. (0)
[8] Tran H T, Giusti E, Martorella M, et al.. Estimation of the total rotational velocity of a non-cooperative target using a 3D InISAR system[C]. Proceedings of 2015 IEEE Radar Conference, Arlington, VA, USA, 2015: 937–941. (0)
[9] Martorella M, Stagliano D, Salvetti F, et al. 3D interferometric ISAR imaging of noncooperative targets[J]. IEEE Transactions on Aerospace and Electronic Systems, 2014, 50(4): 3102–3114. DOI:10.1109/TAES.2014.130210 (0)
[10] Lv Q, Su T, Zheng J B, et al. Three-dimensional interferometric inverse synthetic aperture radar imaging of maneuvering target based on the joint cross modified Wigner-Ville distribution[J]. Journal of Applied Remote Sensing, 2016, 10(1): 1–17. (0)
[11] Zhang L, Qiao Z J, Xing M D, et al. High-resolution ISAR imaging by exploiting sparse apertures[J]. IEEE Transactions on Antennas and Propagation, 2012, 60(2): 997–1008. DOI:10.1109/TAP.2011.2173130 (0)
[12] Zhong Li-hua, Hu Dong-hui, Ding Chi-biao, et al. ISAR sparse aperture imaging algorithm for large size target[J]. Journal of Radars, 2012, 1(3): 292–300. DOI:10.3724/SP.J.1300.2012.20033 (0)
[13] Pang L N, Zhang S S, Liu C, et al.. CS-based high-resolution ISAR imaging with adaptive sparse basis[C]. Proceedings of 2014 IEEE International Geoscience and Remote Sensing Symposium, Quebec City, QC, Canada, 2014: 362–365. (0)
[14] Bacci A, Staglianó D, Giusti E, et al.. 3D interferometric ISAR via compressive sensing[C]. Proceedings of 2014 11th European Radar Conference, Rome, Italy, 2014: 233–236. (0)
[15] Liu Y B, Li N, Wang R, et al. Achieving high-quality three-dimensional InISAR imageries of maneuvering target via super-resolution ISAR imaging by exploiting sparseness[J]. IEEE Geoscience and Remote Sensing Letters, 2014, 11(4): 828–832. DOI:10.1109/LGRS.2013.2279402 (0)
[16] Chen Q Q, Xu G, Zhang L, et al. Three-dimensional interferometric inverse synthetic aperture radar imaging with limited pulses by exploiting joint sparsity[J]. IET Radar, Sonar & Navigation, 2015, 9(6): 692–701. (0)
[17] Xu G, Xing M D, Xia X G, et al. 3D geometry and motion estimations of maneuvering targets for interferometric ISAR with sparse aperture[J]. IEEE Transactions on Image Processing, 2016, 25(5): 2005–2020. DOI:10.1109/TIP.2016.2535362 (0)
[18] Qiu W, Martorella M, Zhou J X, et al. Three-dimensional inverse synthetic aperture radar imaging based on compressive sensing[J]. IET Radar, Sonar & Navigation, 2014, 9(4): 411–420. (0)
[19] Zhu D Y, Wang L, Yu Y S, et al. Robust ISAR range alignment via minimizing the entropy of the average range profile[J]. IEEE Geoscience and Remote Sensing Letters, 2009, 6(2): 204–208. DOI:10.1109/LGRS.2008.2010562 (0)
[20] Zhu D Y, Li Y, Yu X, et al.. Compressed ISAR autofocusing: Experimental results[C]. Proceedings of 2012 IEEE Radar Conference, Atlanta, GA, USA, 2012: 425–430. (0)
[21] Wang J, Liu X, and Zhou Z. Minimum-entropy phase adjustment for ISAR[J]. IEE Proceedings-Radar, Sonar and Navigation, 2004, 151(4): 203–209. DOI:10.1049/ip-rsn:20040692 (0)
[22] Wu W Z, Hu P J, Xu S Y, et al. Image registration for InISAR based on joint translational motion compensation[J]. IET Radar, Sonar & Navigation, 2017, 11(10): 1597–1603. (0)
[23] Zhu F, Zhang Q, Yan J B, et al.. Compressed sensing in ISAR imaging with sparse sub-aperture[C]. Proceedings of 2011 IEEE CIE International Conference on Radar, Chengdu, China, 2011, 2: 1463–1466. (0)
[24] Stanković L and Daković M. On a gradient-based algorithm for sparse signal reconstruction in the signal/measurements domain[J]. Mathematical Problems in Engineering, 2016, 2016: 6212674. (0)
[25] Wang Y. Radar imaging of non-uniformly rotating targets via a novel approach for multi-component AM-FM signal parameter estimation[J]. Sensors, 2015, 15(3): 6905–6923. DOI:10.3390/s150306905 (0)
[26] Fornaro G, Franceschetti G, and Lanari R. Interferometric SAR phase unwrapping using Green’s formulation[J]. IEEE Transactions on Geoscience and Remote Sensing, 1996, 34(3): 720–727. DOI:10.1109/36.499751 (0)
[27] Li Fang-fang, Zhan Yi, Hu Dong-hui, et al. A fast method for InSAR phase unwrapping based on quality guide[J]. Journal of Radars, 2012, 1(2): 196–202. DOI:10.3724/SP.J.1300.2012.20023 (0)
[28] Li N, Wang L, and Zhu D Y. Optimal ISAR imaging time selection of ship targets using real data[C]. Proceedings of IET International Radar Conference 2013, Xi’an, China, 2013: 1–4. (0)
[29] Wang Y and Jiang Y C. ISAR imaging of a ship target using product high-order matched-phase transform[J]. IEEE Geoscience and Remote Sensing Letters, 2009, 6(4): 658–661. DOI:10.1109/LGRS.2009.2013876 (0)
[30] Wang Y and Jiang Y C. New approach for ISAR imaging of ship target with 3D rotation[J]. Multidimensional Systems and Signal Processing, 2010, 21(4): 301–318. DOI:10.1007/s11045-010-0111-6 (0)
[31] Li Y N, Fu Y W, Li X, et al.. An ISAR imaging method for multiple moving targets based on fractional Fourier transformation[C]. Proceedings of 2009 IEEE Radar Conference, Pasadena, CA, USA, 2009: 1–6. (0)
[32] Yamamoto K, Iwamoto M, and Kirimoto T. A new algorithm to calculate the reference image of ship targets for ATR using ISAR[C]. Proceedings of MTS/IEEE Conference and Exhibition OCEANS 2001, Honolulu, HI, USA, 2001, 4: 2601–2607. (0)