«上一篇
文章快速检索     高级检索
下一篇»
  雷达学报  2018, Vol. 7 Issue (): 1-9  DOI: 10.12000/JR18072
0

引用本文  

刘宁, 赵博, 黄磊. 单通道SAR抗欺骗干扰方法[J]. 雷达学报, 2018, 7(): 1-9. DOI: 10.12000/JR18072.
Liu Ning, Zhao Bo, and Huang Lei. Anti-deceptive jamming methods based on single-channel synthetic aperture radar[J]. Journal of Radars, 2018, 7(): 1-9. DOI: 10.12000/JR18072.

基金项目

国家自然科学基金(61801297, U1713217, U1501253, 61501485, 61601300, 61601304),中国博士后科学基金(2015M582413),广东省自然科学基金(2015A030311030),深圳市基础研究项目(ZDSYS201507081625213, JCYJ20160520165659418, JCYJ20170302142545828, JCYJ20150324140036835)

通信作者

赵博   b_zhao@126.com

作者简介

刘   宁(1965–),女,福建省福州人,硕士,高级工程师。1989年于电子科技大学获工程硕士学位。现在军事科学院工作,主要研究方向为信息处理与电子防御;
赵   博(1986–),男,河南南阳人,博士,博士后。2015年在西安电子科技大学获得博士学位,现在深圳大学从事博士后研究工作。主要研究方向为雷达信号处理与电子对抗。E-mail: b_zhao@126.com;
黄   磊(1975–),男,广东湛江人,博士,特聘教授。现在深圳大学信息工程学院担任特聘教授,主要研究方向为阵列信号处理、雷达信号处理

文章历史

收稿日期:2018-09-03
改回日期:2018-10-19
网络出版:2018-11-27
单通道SAR抗欺骗干扰方法
刘宁, 赵博, 黄磊    
(军事科学院   北京   100091)
(深圳大学信息工程学院广东省智能信息处理重点实验室   深圳   518060)
摘要:该文讨论了单通道、固定波形SAR成像假设下的抗欺骗干扰方法,在有限的空域自由度与时域自由度下,利用欺骗干扰理论的本质缺陷,有效地提升了SAR系统在复杂电磁环境下的信息获取能力。建立了SAR成像与欺骗干扰的几何与信号模型,根据其各自的工作机理分析真实回波与欺骗干扰的特征差异。采用不同的成像处理流程提取两者各自的特征,并基于统计信息对差异特征进行增强,提高真实目标与虚假目标的分离度,从而实现欺骗干扰的辨识。并进一步采用动态合成孔径处理方法,构造真实目标与虚假目标的优化重构问题,通过对其求解实现两者的超分辨分离重构,达到欺骗干扰抑制的目的。仿真实验验证了该文方法的有效性。
关键词单通道    合成孔径雷达    动态合成孔径    超分辨分离重构    
Anti-deceptive Jamming Methods Based on Single-channel Synthetic Aperture Radar
Liu Ning, Zhao Bo, Huang Lei    
(Academy of Military Science, Beijing 100091, China)
(Guangdong Key Laboratory of Intelligent Information Processing, College of Information Engineering, Shenzhen University, Shenzhen 518060, China)
Foundation Item: The National Natural Science Foundation of China (61801297, U1713217, U1501253, 61501485, 61601300, 61601304), The China Postdoctoral Science Foundation (2015M582413), The Natural Science Foundation of Guangdong Province, China (2015A030311030), The Foundation of Shenzhen City (ZDSYS201507081625213, JCYJ20160520165659418, JCYJ20170302142545828, JCYJ20150324140036835)
Abstract: This paper discusses anti-deceptive jamming methods based on single-channel and fixed waveform assumptions for synthetic aperture radar imaging. Using the essential defects of the deceptive-jamming theory, the information acquisition ability of the Synthetic Aperture Radar (SAR) system in a complicated electromagnetic environment is effectively improved with limited degrees of freedom in spatial and time domains. Geometric and signal models of SAR imaging and deceptive jamming are established and the different characteristics between them are analyzed according to their working mechanisms. Upon extracting their characteristic differences via different imaging processes and enhancing them based on statistical information, the degree of separation between the true and false targets is increased. Therefore, identification on the deceptive jamming is realized. Moreover, an approach for the dynamic synthetic aperture is used to formulate an optimization problem for the reconstruction of true and false targets. By solving such a problem, the true and false targets are separately reconstructed with super-resolution, achieving the goal of deceptive-jamming suppression. The effectiveness of the proposed methods is verified by simulations.
Key words: Single-channel    Synthetic Aperture Radar (SAR)    Dynamic synthetic aperture    Separate reconstruction with super-resolution    
1 引言

欺骗干扰机根据预先设计好的虚假场景,对截获的合成孔径雷达(Synthetic Aperture Radar, SAR)信号进行延时与相位调制,从而在SAR成像结果中形成逼真的虚假目标。欺骗干扰比传统的噪声干扰需要更低的干扰功率,并能对SAR成像带来更大的危害。随着SAR欺骗干扰技术的发展,所产生的虚假目标逼真度越来越高,且产生效率更高,增加了欺骗干扰机的威胁性,使其能够以隐蔽的手段误导SAR系统的信息获取与图像解译,导致战略决策的失误[18]。如何有效地对SAR欺骗干扰进行抑制,是SAR成像系统面临的一个重要问题。

当前SAR对抗欺骗干扰的方法主要有两类。一类方法采用复杂的多通道/多基地SAR成像系统,使得不同通道间接收到的真实回波与欺骗干扰之间存在显著的差异,从而可以利用这些差异进行有效的干扰抑制,改善SAR成像系统的抗欺骗干扰性能[914]。这类系统的优势在于,多个接收通道/天线能够提供更多空间自由度时,并可工作在静默接收模式,这样的抗干扰手段使得干扰机难以察觉,因而难以及时地采取反制措施。但这类系统的实现通常比单通道系统具有更高的成本,在一定程度上限制了其应用。且这类方法不能在单通道SAR系统中有效工作。

另一方面,从干扰机自身的限制入手,可以在SAR成像端设计相应的方法进行对抗。利用欺骗干扰机难以在一个脉冲重复周期内完成干扰调制这一缺陷,SAR成像系统可以采用波形捷变的策略对抗欺骗干扰,主要方法包括脉冲相位扰动、随机初相、正交频分复用等[1521],使得成本相对于多通道/多基地的对抗手段更加低廉。此外,还可以利用干扰机量化精度不高的缺点,对接收到的数据进行处理以便抑制欺骗干扰[22]。但是,随着干扰机实时性能以及调制精度的不断提升,这类方法将面临失效的威胁,从而需要承担抗欺骗干扰手段升级的成本,使得SAR成像系统与干扰机陷入不断的循环竞争之中。

在单通道、固定波形的SAR平台假设下,进行欺骗干扰抑制所能利用的空间自由度与时间自由度均受到了限制,为算法设计带来了巨大的挑战。为了有效地解决这一问题,我们将这个复杂的问题分解为几个子问题,使得对欺骗干扰抑制问题的研究逐步深入。首先对SAR成像场景中散布的虚假目标进行辨识,实现成像信息的快速甄别。然后,考虑到真实目标与虚假目标位置重合的应用场景,进一步讨论了两者的分离重构问题。由于欺骗干扰通常针对SAR场景中包含敏感信息的人造目标进行保护覆盖,两者均具有稀疏特性,因此采用了基于动态合成孔径的解决方案。一方面采用超分辨预处理减小重构问题的求解空间;另一方面,在构造目标表征字典时进一步完善散射点的旁瓣以及相位信息,这使得我们能够同时进行超分辨重构与干扰分离处理。该方法能够直接应用于传统的单通道SAR系统中而不会引起高昂的升级成本。此外,值得注意的是,本文所涉及的方法是基于真实回波与欺骗干扰之间形成机理的本质性差异进行设计的,因此该方法并不会因为干扰机技术水平的提升而失效。

2 信号模型

SAR成像与欺骗干扰的几何模型如图1所示。慢时间的零点设置为SAR波束中心指向干扰机的时刻, $x$ 轴与SAR飞行的航迹平行, $z$ 轴垂直于地面向上, $y$ 轴则可以根据右手法则确定。

图 1 SAR成像与欺骗干扰几何模型 Fig.1 Geometric model of SAR imaging and deceptive jamming

对于任意散射点 $P\;$ ,其回波的支撑域为 $[ - T/$ $2 + \tau ,T/2 + \tau ] $ ,其中 $T\;$ 表示合成孔径时间, $\tau $ 表示SAR波束中心指向点 $P$ 的时刻。图1中的灰色区域表示SAR天线主瓣照射的区域,在条带模式下该区域随着SAR平台的移动以同样的速度 $v$ 移动,从而实现对地面场景的观测成像。

在成像场景中,为了在真实散射点 $P$ 的位置引入一个虚假的散射点 $P'$ ,需要对干扰机与待生成散射点之间的瞬时斜距差 $\Delta R({t_{\rm{a}}})$ 进行计算。利用 $\Delta R({t_{\rm{a}}})$ 对干扰机截获的SAR信号进行幅度、延时以及相位调制,该过程可以表述为:

其中, $ * $ 表示卷积运算, $\delta \left( \cdot \right)$ 表示单位冲激函数, $s({t_{\rm{r}}},{t_{\rm{a}}})$ 表示截获的SAR信号, $\Delta R({t_{\rm{a}}}) = R({t_{\rm{a}}} - \tau ) - $ ${R_{\rm{J}}}({t_{\rm{a}}}) $ , $R({t_{\rm{a}}} - \tau )$ ${R_{\rm{J}}}({t_{\rm{a}}})$ 分别表示散射点 $P$ 与干扰机 $J\,$ 的瞬时斜距。虚假点的慢时间支撑区为 $[ - T/2,T/2]$ ,这是由于SAR波束主瓣增益远大于旁瓣,干扰机通常只能在主瓣内进行有效干扰。而真实散射点的支撑区域为 $[ - T/2 + \tau ,T/2 + \tau ]$ ,与干扰机的支撑域并不重合,因此需要将真实回波特征进行拓展以产生虚假散射点。虽然在经由方位向相干处理后真实散射点与虚假散射点均能够在图像域得到有效的聚焦,但由于各自生成机理的不同,它们在时频域的分布特性存在差异。真实回波与欺骗干扰之间的关系可以描述为:

为了简化表示,分别用 $s({t_{\rm{a}}})$ $s'({t_{\rm{a}}})$ 表示 $s({t_{\rm{r}}},{t_{\rm{a}}})$ $s'({t_{\rm{r}}},{t_{\rm{a}}})$ ${f\!_{{\rm{dc}}}}$ 表示多普勒中心频率(仅在斜视模式下存在), $\gamma $ 表示多普勒调频率,它们分别由瞬时斜距关于慢时间的1次项与2次项决定。若将信号 $s\left( {{t_{\rm{a}}}} \right)$ 的多普勒谱表示为 $S\left( {{f\!_{\rm{a}}}} \right)$ ,则有

相比于 $S\left( {{f\!_{\rm{a}}}} \right)$ ,虚假多普勒谱 $S'\left( {{f\!_{\rm{a}}}} \right)$ 在多普勒维与慢时间维分别平移了 $\gamma \tau $ $ - \tau $ 。而式(3)中的最后一个指数项对于某一 $\tau $ 而言,是一个确定的常数项。由式(3)所示的时频特性分布如图2所示。

图 2 SAR真实回波与欺骗干扰时频分布 Fig.2 Time-frequency distribution of true SAR echoes and deceptive jamming

尽管不同真实散射点的回波分布在不同的慢时间支撑域,它们具有相同的多普勒特性,都沿慢时间轴分布在带宽为 ${B_{\rm{a}}}$ 的区域内,如图2中的粗实线所示。由于SAR天线主瓣的限制,欺骗干扰沿多普勒轴分布于 $ - T/2$ $T/2$ 之间的区域,如图2中的粗虚线所示。真实回波的支撑域与欺骗干扰的支撑域仅当真实点与虚假点位于与干扰机相同的方位单元内时能够完全重合。当散射点在方位维逐渐远离干扰机时,真实点与虚假点能够重合的公共区域逐渐减少直至消失。基于上述的时频分布特性差异,我们可以在单通道、固定波形SAR系统中,对欺骗干扰进行抑制。

3 虚假目标辨识 3.1 算法原理

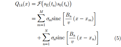
假设成像场景中包含 $M$ 个真实散射点和 $N$ 个虚假散射点,则SAR接收到的混合数据可以表示为[23]

为了最大化真实场景与欺骗干扰之间的差异性,需要采用两种不同的成像处理流程对混合数据进行处理。其中方位像1通过对第 $k$ 个距离单元内所有方位慢时间域的数据进行dechirp处理得到。Dechirp参考信号 ${s_0}({t_{\rm{a}}})$ 能够覆盖整个真实回波与欺骗干扰的时频分布区域,如图2中的点状线所示。由此得到的方位像为:

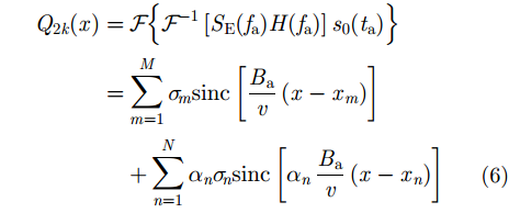
其中, $\cal{F}( \cdot )$ 表示傅里叶变换, $x = - {f\!_{\rm{a}}}v/\gamma $ 表示散射点方位维的位置, ${\sigma _{m(n)}}$ ${x_{m(n)}}$ 分别表示第 $m\left( n \right)$ 个散射点的散射系数与方位位置。式(5)中所有的真实目标点与虚假目标点能够达到相同的分辨率。

方位像2在进行dechirp处理前进行了频域滤波处理,在尽可能地抑制欺骗干扰的同时,最大限度地保留真实回波,从而可得

其中,SE(fa)表示sE(ta)的频谱, ${\cal{F}^{ - 1}}( \cdot )$ 表示逆傅里叶变换, $H({f\!_{\rm{a}}})$ 表示带通滤波器,其表达式为 $H({f\!_{\rm{a}}}) = $ ${\rm{rect}}({f\!_{\rm{a}}}/{B_{\rm{a}}}) $ , ${\alpha _n}$ 表示第 $n$ 个虚假散射点的带宽损失系数。 ${\alpha _n}$ 在sinc函数中的出现会导致成像分辨率的损失,它同时也出现在散射系数之前,引起其幅度的衰减。由于不同的时频分布特性, ${\alpha _n} \!=\! 1 - {{\Delta {x_n}} / {{L_{\rm{s}}}}}$ 是一个关于第 $n$ 个虚假散射点位置的函数,其中 $\Delta {x_n} = |{x_n} - {x_{\rm{J}}}|$ 表示第 $n$ 个虚假散射点与干扰机之间的距离, ${L_{\rm{s}}}$ 为合成孔径长度。当 $\Delta {x_n} = 0$ 时,产生的虚假散射点位于与干扰机相同的方位单元内,从而有 ${\alpha _n} = 1$ 。这是由于此时的欺骗干扰具有与真实回波相同的时频分布特性,因而其特征能够被滤波器完整地保留。当虚假散射点逐渐远离干扰机时, ${\alpha _n}$ 随着 $\Delta {x_n}$ 的增大而减小。当虚假目标点超出 $[ - {L_{\rm{s}}} + {x_{\rm{J}}},$ $ L_{\rm{s}} + {x_{\rm{J}}}]$ 的范围时,它将不再出现在成像结果中。

${Q_{2k}}(x)$ 中减去 ${Q_{1k}}(x)$ ,可以得到

$\Delta {Q_k}$ 表示为向量形式 ${\Delta }{{{Q}}_k} \in {\mathbb{R}^{1 \times L}}$ ,其中 $L$ 表示目标对应的方位采样单元数。针对不同的距离采样单元进行相同的操作,则可以得到仅包含虚假目标的2维SAR图像。将差分图像表示为 $\Delta {{I}} \!=\! {[{\Delta }{{{Q}}_1},{\Delta }{{{Q}}_2}, ·\!·\!· ,{\Delta }{{{Q}}_K}]^{\rm{T}}} \in {\mathbb{R}^{K \times L}}$ ,采用 $W \times \! W\;$ 的矩形窗对 $\Delta {{I}}$ 进行逐点处理,可以得到观测窗内子图像 $\Delta {{I}}'$ 的统计直方图 ${{h}} \in {\mathbb{R}^{1 \times \left( {W \times W} \right)}}$ 。统计直方图 ${{h}}$ 与参考直方图 ${{{h}}_o}$ 之间的匹配距离,即它们之间差值的 ${\ell _1}$ 范数被用于区分真实目标与虚假目标的差分特征,即

依照式(8)逐点计算直方图匹配距离,则可得到匹配距离矩阵 ${{D}} \in {\mathbb{R}^{K \times L}}$ 。与 $\Delta {{I}}$ 相比,欺骗干扰目标与真实目标之间的差异性得到了增强,从而通过设计合理的阈值,对虚假目标进行标识。

3.2 实验结果

对复杂场景进行仿真实验,可以有效验证所提方法在实际应用中的性能。该实验中,在图3(a)所示的真实场景中,欺骗干扰机在空地中引入了虚假的车辆目标,如图3(b)中I与III所示,并引入了虚假的建筑目标与田野,即目标II与IV,用以掩盖真实的地形信息。在包含欺骗干扰的成像结果图3(c)中,虚假目标能够与真实场景较好地融合,对真实场景实现有效地保护。图3(d)所示为所提算法对欺骗干扰进行辨识的结果,除了距离干扰机小于5% $ {L_{\rm{s}}}$ 范围的车辆与部分建筑未被有效辨识以外,其余的虚假目标均能够被有效地辨识。

图 3 SAR场景欺骗干扰辨识结果 Fig.3 Deceptive jamming identification result in a SAR scene
4 目标分离重构

当真实目标与虚假目标位置重合时,仅通过虚假目标辨识难以有效地排除欺骗干扰的影响,此时需要根据真实目标与虚假目标的信号混合模型构造优化问题,对两者分别进行分离重构。

4.1 算法原理[24,25]

对混合数据进行dechirp处理,可得到如图4所示的时频分布结果。

图 4 Dechirp后的SAR真实回波与欺骗干扰时频分布 Fig.4 Time-frequency distribution of true SAR echoes and deceptive jamming after dechirping

为了进行欺骗干扰抑制,需要对真实回波以及欺骗干扰的特征进行完整地或部分地保留。为此,定义如图4中点线框所示为动态合成孔径 $w\!\left( {{t_{\rm{a}}}} \right)$ ,即

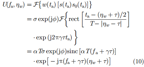
其中, ${\eta _w}$ 表示第 $w$ 个动态合成孔径的中心。当 ${\eta _w}$ 变化时,动态合成孔径的位置沿着慢时间轴移动,从而可以对混合数据的不同部分进行提取。提取得到的真实方位像为:

其中, $\phi = - {\rm{{{π}} }}\left( {4{R_0}/\lambda + 2{f\!_{{\rm{dc}}}}\tau - \gamma {\tau ^2}} \right)$ 。对于同一个真实散射点而言,不同的动态合成孔径提取了它的不同部分回波,由此得到的成像结果也会存在不同程度的幅度衰减与主瓣展宽,可用衰减系数 $\alpha $ 进行描述,即

需要注意的是, $\alpha $ 随着动态合成孔径的中心 ${\eta _w}$ 以及散射点的位置 $\tau $ 而变化。不同的 ${\eta _w}$ 将形成不同的方位像 $U({f\!_{\rm{a}}},{\eta _w})$ 。在所用不同的动态合成孔径内,同一散射点均能够以sinc函数的形式被聚焦于方位维 $ - \gamma \tau $ 的位置。但由于不同动态孔径内目标回波的带宽损失不同,由此引起的幅度衰减与主瓣展宽也不同。而不同散射点在同一动态合成孔径内的聚焦性能衰减也有所不同。

动态合成孔径内的虚假方位像为:

相应的虚假散射点衰减因子为:

$\alpha '$ 并不随着 $\tau $ 而变化,这意味着在同一动态合成孔径内的不同虚假散射点具有相同的幅度衰减与主瓣展宽,这与真实散射点的特性存在差异,从而可以利用这些差异进行目标重构。

4.2 初步分离重构

真实目标与虚假目标的初步分离重构仅考虑散射点的幅度信息。将 $u\left( {{t_{\rm{a}}}} \right)$ 表示为向量形式则有 ${{{u}}_w} \in {\mathbb{C}^{1 \times L}}$ 。通过不同的动态孔径处理,可以得到观测矩阵 ${{U}} = {[{{{u}}_1}, ·\!·\!· ,{{{u}}_w}, ·\!·\!· ,{{{u}}_W}]^{\rm{T}}} \in {\mathbb{C}^{W \times L}}$ 。散射点在不同动态孔径中的幅度衰减特征可以描述为 ${{A}},{{A}}' \in {\mathbb{C}^{W \times L}}$ ,它们各自的元素分别为 $\alpha $ $\alpha '$

通常情况下,我们在SAR图像中更加关注于人造目标的解译,而这类目标通常也是欺骗干扰机保护的重点。人造目标通常由平板、二面角、三面角、圆柱体的典型结构组成,具有稀疏的孤立散射中心。与此同时,为了保证欺骗干扰的效率,干扰机产生的虚假目标通常是由有限的散射点组成,因此在图像域也具有稀疏特性。在真实目标与虚假目标的粗分离重构中,仅考虑它们各自的幅度特征,因而需要采用超分辨预处理对稀疏散射点的位置进行估计,以便简化后续的干扰抑制问题。假设由预处理估计得到的散射点稀疏位置集合为 ${D_{\rm{t}}} = \{ {\tau _{\rm{t}}}|{\tau _{\rm{t}}} \in $ ${D_{\rm{p}}}\quad {\rm{or}}\quad {\tau _{\rm{t}}} \in {D_{\rm{q}}}\} $ ,其中 ${D_{\rm{p}}}$ ${D_{\rm{q}}}$ 分别表示真实目标与虚假目标的位置集合。则欺骗干扰抑制问题可以描述为:

其中, $D = \left[ {1,L} \right]$ 表示对应某目标所有可能的散射点的完全集合, ${{p}},{{q}} \in {\mathbb{C}^{1 \times L}}$ 分别表示真实与虚假目标的方位1维像,矩阵 ${{P}} = {\rm{diag}}({{p}})$ , ${{Q}} = {\rm{diag}}({{q}})$ 。稀疏位置的估计缩小了优化问题的可行域,使得SAR欺骗干扰抑制问题能够更加高效地求解。利用凸优化工具箱,可以直接对式(14)进行求解,从而获得真实目标与虚假目标的分离重构结果,实现初步的单通道SAR欺骗干扰抑制。

4.3 精细分离重构

SAR系统同时对真实目标回波以及欺骗干扰进行接收,可将第 $w$ 个动态合成孔径内的方位像描述为:

其中, ${{ω}}$ 表示模型误差, ${{{G}}\!_w},{{{H}}\!_w} \in {\mathbb{C}^{L \times L}}$ 用于描述包含幅度、旁瓣、相位信息的真实散射点与虚假散射点理论方位像,它们各自的列向量分别由完整的式(10)与式(12)决定。随着目标点的位置逐渐远离干扰机, ${{{G}}\!_w}$ ${{{H}}\!_w}$ 之间的相干性下降,算法对真实点与虚假点的分离重构质量也随之提升[25]

基于 ${{p}}$ ${{q}}$ 的稀疏特性假设,可以对目标重构问题描述如下:

其中, $\varepsilon $ 为可以容忍的误差阈值。将(16)转换为一个无约束的优化问题,可得

其中, $\rho $ 为惩罚因子,它可以在稀疏度与重构误差之间做出权衡。 ${\ell _1}$ 范数对方位像的散射点幅度进行叠加,因此与 ${\ell _2}$ 范数的惩罚项在幅度上具有相同的量级,从而使得 $\rho $ 不依赖于SAR系统的相干处理增益。式(17)与形态学分量分析问题类似[26],因此可令 ${{{M}}\!_w} = [{{{G}}\!_w},{{{H}}\!_w}]$ , ${{z}} = {[{{p}};{{q}}]^{\rm{T}}}$ ,从而有

这是一个求根LASSO问题,它对惩罚因子 $\rho $ 的取值依赖性并不明显。利用凸优化工具包直接对该问题进行求解,则可以对真实与虚假的目标方位像进行重构。进而对包含目标的所有距离单元进行类似处理,即可实现目标的分离重构。

4.4 实验结果

仿真实验基于机载SAR平台进行,雷达工作在正侧视条带成像模式。平台参数如表1所示。仿真场景设置如图5所示。其中虚像框内的目标分别标记为目标1,后续的分析将针对该目标进行。

图 5 SAR场景设置与欺骗干扰结果 Fig.5 SAR scenario setup and deceptive jamming results
表 1 SAR参数设置 Tab.1 SAR parameter setting

根据SAR系统参数可知, ${L_{\rm s}} = 300$ m。因此,场景中的真实目标与虚假目标各自以15 m的间隔均匀分布在 $2{L_{\rm s}}$ 的方位范围内。真实目标设置为N形,虚假目标为Z形。真实目标与虚假目标的各自的成像结果分别如图5(a)图5(b)所示。真实目标与虚假目标的散射点具有相同的幅度,但它们之间的相位会存在 $ - {{π}} /8$ ${{π}} /8$ 之间的随机误差。由此产生的虚假目标能够与真实目标之间发生叠加,使得对真实目标的辨识更加困难。欺骗干扰结果如图5(c)所示。

构造式(18)中的优化问题进行目标重构。在求解过程中,我们令 $\rho = 1$ 以便对稀疏性与剩余误差进行同等加权。求解优化问题,对真实目标与虚假目标分别重构,可以得到图6所示的重构结果。在该重构结果中,真实目标与虚假目标均能够得到较好的重构,且由于重构字典中充分考虑了目标点的点散布函数,因此可以对目标实现超分辨重构。

图 6 基于动态合成孔径的目标1重构结果 Fig.6 Reconstruction results of target 1 based on dynamic synthetic aperture
5 结束语

本文针对目前日益复杂的SAR工作电磁环境,在有限的空间自由度(单通道)与时间自由度(固定波形)的条件下,基于真实回波与欺骗干扰形成机理的本质特征差异,探讨了有效的虚假目标辨识方法与目标分离重构方法。干扰辨识方法通过不同的成像处理流程对两者的差异特征进行了选择性增强,并计算特征统计直方图的匹配距离对特征进行增强从而实现虚假目标的有效辨识,从而对SAR图像的筛选提供帮助,也缩小了目标分离重构算法的可行域。进一步利用动态合成孔径对混合的真实SAR回波以及欺骗干扰进行观测,建立目标重构的优化求解问题,实现了对真实目标以及虚假目标的超分辨分离重构,达到欺骗干扰抑制的目的。仿真实验表明,目标的关键信息能够在重构过程中较好地保留,从而保证欺骗干扰环境下对真实目标信息的有效获取。

在抗欺骗干扰实际应用中,需要根据具体场景的不同对算法进行取舍。对于不具有稀疏特性的虚假目标,可以利用差异特征增强的方法对其进行辨识。对于稀疏的虚假目标,也可以先通过虚假目标辨识减小目标分离重构问题的求解可行域,提高求解效率。然后根据计算资源以及重构性能的需求不同,采用不同精度目标分离重构算法对欺骗干扰进行分离,从而保证欺骗干扰环境下单通道SAR的信息获取能力。

参考文献
[1] Liu Y C, Wang W, Pan X Y, et al. Inverse omega-K algorithm for the electromagnetic deception of synthetic aperture radar[J]. IEEE Journal of Selected Topics in Applied Earth Observations and Remote Sensing, 2016, 9(7): 3037-3049. DOI:10.1109/JSTARS.2016.2543961 (0)
[2] Zhao B, Zhou F, Shi X R, et al. Multiple targets deception jamming against ISAR using electromagnetic properties[J]. IEEE Sensors Journal, 2015, 15(4): 2031-2038. DOI:10.1109/JSEN.2014.2368985 (0)
[3] Shi X R, Zhou F, Zhao B, et al. Deception jamming method based on micro-Doppler effect for vehicle target[J]. IET Radar, Sonar & Navigation, 2016, 10(6): 1071-1079. DOI:10.1049/iet-rsn.2015.0371 (0)
[4] Zhao B, Zhou F, and Bao Z. Deception jamming for squint SAR based on multiple receivers[J]. IEEE Journal of Selected Topics in Applied Earth Observations and Remote Sensing, 2015, 8(8): 3988-3998. DOI:10.1109/JSTARS.2014.2322612 (0)
[5] Zhao B, Huang L, Zhou F, et al. Performance improvement of deception jamming against SAR based on minimum condition number[J]. IEEE Journal of Selected Topics in Applied Earth Observations and Remote Sensing, 2017, 10(3): 1039-1055. DOI:10.1109/JSTARS.2016.2614957 (0)
[6] 徐少坤. SAR欺骗式干扰技术研究[D]. [硕士论文], 国防科学技术大学, 2007.
Xu Shao-kun. Research on SAR deception jamming methods[D]. [Master dissertation], National University of Defense Technology, 2007. (0)
[7] 陈志勇, 付耀文, 黎湘. 实时SAR欺骗干扰系统研究[J]. 信号处理, 2009, 25(8A): 546-548.
Chen Zhi-yong, Fu Yao-wen, and Li Xiang. A study on the realtime deceptive jamming system to SAR[J]. Signal Processing, 2009, 25(8A): 546-548. (0)
[8] 汪连栋, 柏仲干, 王国良. 考虑失配的SAR欺骗干扰分析与仿真[J]. 航天电子对抗, 2006, 22(4): 30-32.
Wang Lian-dong, Bai Zhong-gan, and Wang guo-liang. Simulation and analysis of deception jamming effects against SAR considering mis-matched filter effection[J]. Aerospace Electronic Warfare, 2006, 22(4): 30-32. DOI:10.3969/j.issn.1673-2421.2006.04.010 (0)
[9] Li C and Zhu D Y. The detection of deception jamming against SAR based on dual-aperture antenna cross-track interferometry[C]. Proceedings of 2006 CIE International Conference on Radar, Shanghai, China, 2006: 1–4. DOI: 10.1109/ICR.2006.343274. (0)
[10] Qin J M, Yang J, He Z H, et al.. Analysis of target loss due to suppressing SAR jamming using dual-channel cancellation[C]. Proceedings of 2006 CIE International Conference on Radar, Shanghai, China, 2006: 1–4. DOI: 10.1109/ICR.2006.343324. (0)
[11] 张双喜, 孙光才, 刘艳阳, 等. 基于四通道SAR欺骗式干扰抑制算法[J]. 现代雷达, 2011, 33(2): 22-26, 30.
Zhang Shuang-xi, Sun Guang-cai, Liu Yan-yang, et al. Deception interference supression algorithm based on four-channel for SAR[J]. Modern Radar, 2011, 33(2): 22-26, 30. DOI:10.3969/j.issn.1004-7859.2011.02.006 (0)
[12] Sun B Z and Li J W. A new interference elimination method for multi-satellite SAR system[C]. Proceedings of 2008 IEEE International Geoscience and Remote Sensing Symposium, Boston, MA, USA, 2008: IV-1316–IV-1319. DOI: 10.1109/IGARSS.2008.4779973. (0)
[13] Xiong W, Zhang G, Wen F Q, et al. Trilinear decomposition-based spatial-polarisational filter method for deception jamming suppression of radar[J]. IET Radar, Sonar & Navigation, 2016, 10(4): 765-773. DOI:10.1049/iet-rsn.2015.0348 (0)
[14] Wang B, Gui G L, Zhang S, et al.. Deceptive jamming suppression based on coherent cancelling in multistatic radar system[C]. Proceedings of 2016 IEEE Radar Conference (RadarConf), Philadelphia, PA, USA, 2016: 1–5. DOI: 10.1109/RADAR.2016.7485304. (0)
[15] Soumekh M. SAR-ECCM using phase-perturbed LFM chirp signals and DRFM repeat jammer penalization[J]. IEEE Transactions on Aerospace and Electronic Systems, 2006, 42(1): 191-205. DOI:10.1109/TAES.2006.1603414 (0)
[16] 赵宗锋. 基于信号波形设计的SAR抗干扰技术研究[D]. [硕士论文], 国防科学技术大学, 2007.
Zhao Zong-feng. SAR anti-jamming based on waveform design[D]. [Master dissertation], National University of Defense Technology, 2007. (0)
[17] 李江源, 王建国. 利用复杂调制LFM信号的SAR抗欺骗干扰技术[J]. 电子与信息学报, 2008, 30(9): 2111-2114.
Li Jiang-yuan and Wang Jian-guo. The anti-jamming technology for SAR cheat jamming using complex modulated LFM signal[J]. Journal of Electronics & Information Technology, 2008, 30(9): 2111-2114. DOI:10.3724/SP.J.1146.2007.00231 (0)
[18] 冯祥芝, 许小剑. 随机线性调频斜率SAR抗欺骗干扰方法研究[J]. 系统工程与电子技术, 2009, 31(1): 69-73.
Feng Xiang-zhi and Xu Xiao-jian. Study of countermeasures to deceptive jamming using random linear modulation frequency ratio SAR[J]. Systems Engineering and Electronics, 2009, 31(1): 69-73. DOI:10.3321/j.issn:1001-506X.2009.01.018 (0)
[19] Li W, Lu X Q, Da X Y, et al.. Anti-jamming method based on orthogonal codes jittered and random initial phase for SAR[C]. Proceedings of 2007 IET International Conference on Radar Systems, Edinburgh, U.K., 2007: 1–5. DOI: 10.1049/cp: 20070651. (0)
[20] Feng Q Q, Xu H P, Wu Z F, et al.. Deceptive jamming suppression for SAR based on time-varying initial phase[C]. Proceedings of 2016 IEEE International Geoscience and Remote Sensing Symposium (IGARSS), Beijing, China, 2016: 4996–4999. DOI: 10.1109/IGARSS.2016.7730303. (0)
[21] Hossain M A, Elshafiey I, Alkanhal M A, et al.. Anti-jamming capabilities of UWB-OFDM SAR[C]. Proceedings of the 8th European Radar Conference, Manchester, U.K., 2011: 313–316. (0)
[22] 罗双才, 唐斌. 一种基于盲分离的欺骗干扰抑制算法[J]. 电子与信息学报, 2011, 33(12): 2801-2806.
Luo Shuang-cai and Tang Bin. An algorithm of deception jamming suppression based on blind signal separation[J]. Journal of Electronics & Information Technology, 2011, 33(12): 2801-2806. DOI:10.3724/SP.J.1146.2011.00380 (0)
[23] Zhao B, Huang L, He C L, et al.. SAR deception jamming identification via differential feature enhancement[C]. Proceedings of 2016 CIE International Conference on Radar, Guangzhou, China, 2016: 1–5. DOI: 10.1109/RADAR.2016.8059174. (0)
[24] Zhao B, Huang L, and Zhang J H. Single channel SAR deception jamming suppression via dynamic aperture processing[J]. IEEE Sensors Journal, 2017, 17(13): 4225-4230. DOI:10.1109/JSEN.2017.2695001 (0)
[25] Zhao B, Huang L, Li J, et al. Target reconstruction from deceptively jammed single-channel SAR[J]. IEEE Transactions on Geoscience and Remote Sensing, 2018, 56(1): 152-167. DOI:10.1109/TGRS.2017.2744178 (0)
[26] Elad M, Starck J L, Querre P, et al. Simultaneous cartoon and texture image inpainting using morphological component analysis (MCA)[J]. Applied and Computational Harmonic Analysis, 2005, 19(3): 340-358. DOI:10.1016/J.ACHA.2005.03.005 (0)