«上一篇
文章快速检索     高级检索
下一篇»
  雷达学报  2018, Vol. 7 Issue (): 1-8  DOI: 10.12000/JR18083
0

引用本文  

段晓菲, 刘志文, 徐友根. 四元数域宽带鲁棒自适应波束形成[J]. 雷达学报, 2018, 7(): 1-8. DOI: 10.12000/JR18083.
Duan Xiaofei, Liu Zhiwen, and Xu Yougen. Robust quaternion-valued wideband adaptive beamforming[J]. Journal of Radars, 2018, 7(): 1-8. DOI: 10.12000/JR18083.

基金项目

国家自然科学基金(61490691, 61331019)

通信作者

刘志文   zwliu@bit.edu.cn

作者简介

段晓菲(1995–),女,北京理工大学硕士研究生,研究方向为阵列信号处理及其应用。E-mail: duanxx7@163.com;
刘志文(1962–),男,北京理工大学信息与电子学院教授,信号与图像处理研究所所长,博士生导师,研究方向为阵列信号处理及应用、医学信号与图像处理、可穿戴医学电子。E-mail: zwliu@bit.edu.cn;
徐友根(1975–),男,北京理工大学信息与电子学院教授,信号与图像处理研究所副所长,博士生导师,研究方向为阵列信号处理及其应用。E-mail: yougenxu@bit.edu.cn

文章历史

收稿日期:2018-09-29
改回日期:2018-11-23
网络出版:2018-12-13
四元数域宽带鲁棒自适应波束形成
段晓菲, 刘志文, 徐友根    
(北京理工大学信息与电子学院   北京   100081)
摘要:该文提出一种基于四元数的宽带鲁棒自适应波束形成方法。在利用四元数构造阵元输出的基础上,通过期望信号复包络对齐技术,建立四元数域宽带对合增广宽线性信号模型,以联合利用四元数阵列输出矢量的3种对合信息和2阶统计特性以及信号非圆信息,采用信号加干扰子空间投影方式,有效提取期望信号,抑制多个不相关干扰和噪声,进而实现四元数域宽带鲁棒自适应波束形成。同其它宽带波束形成方法相比,该方法对非圆信号的接收性能提升,可以实现阵列虚拟孔径扩展,有效克服指向误差带来的性能下降问题。计算机仿真结果验证了该方法的性能。
关键词宽带信号处理    鲁棒自适应波束形成    四元数    非圆信号    
Robust Quaternion-valued Wideband Adaptive Beamforming
Duan Xiaofei, Liu Zhiwen, Xu Yougen    
(School of Information and Electronics, Beijing Institute of Technology, Beijing 100081, China)
Foundation Item: The National Natural Science Foundation of China (61490691, 61331019)
Abstract: A robust quaternion-valued wideband adaptive beamformer is proposed, in which a quaternion is utilized to arrange the output of the array element. By exploiting the augmented envelope alignment technique, adopting the three involutions of quaternion, and incorporating the noncircular information of the signal simultaneously, a quaternion-valued wideband augmented signal model is established to achieve the robust adaptive beamforming based on signal subspace projection. Compared with other wideband beamformers, the proposed scheme exhibits a better performance in extracting noncircular signals by array aperture extension, and is insensitive to the pointing error. The simulation results verify the efficiency of the proposed beamformer.
Key words: Wideband array signal processing    Robust adaptive beamforming    Quaternion    Noncircular signal    
1 引言

自适应波束形成多点源干扰抑制技术在复杂电磁环境雷达目标检测中有着重要的应用前景。传统抑制多点源干扰的方法大都基于标量阵列,仅研究信号的空域和时域信息,对信号极化信息的利用非常有限。同时受到阵列孔径的限制,标量阵列难以分辨空间接近的信号,已不能满足自适应波束形成的研究。由矢量传感器构成的极化敏感阵列可同时获取并利用阵列空间、时域信息和入射信号的极化信息,实现空-时-极化域联合滤波,提高阵列信号处理性能,具有标量阵列难以企及的优势。当目标和干扰空-时差异较小时,利用信号极化状态的差异进行滤波可获得性能的提升。

传统针对矢量传感器接收数据的处理方法是将所有传感器的复矢量输出串联起来,形成一个长矢量输出来进行处理,将阵列局部各分量间的内在联系(极化信息)和分布在空间不同位置的传感器输出间的相互联系(空域信息)无差别地作为一个复数长矢量的元素进行组织和处理,模糊了极化信息和空域信息的差异性。近年来,基于四元数的电磁矢量传感器阵列信号处理方法受到广泛关注,四元数的实部和3个虚部系数对应矢量传感器各分量的复输出,能保持极化敏感阵列阵元各分量间固有正交特性,此时信号的极化域信息可以隐含在多虚部间特定的运算关系中,空域信息体现在空域导向矢量各元素间的幅相关系中,这种建模方式更为紧凑并有助于局部矢量特性的利用。在自适应波束形成领域,文献[1]针对交叉偶极子阵提出基于四元数域的Capon波束形成器。文献[2]研究了四元数域最小方差无失真响应波束形成。文献[3]研究了四元数域具有双路结构的干扰对消方法。文献[4]将最坏情况性能最优化自适应波束形成方法推广到四元数域。文献[5]针对相干干扰提出四元数域空间平滑方法。随后,文献[6]研究了四元数域宽线性自适应波束形成,结果表明利用四元数阵列输出的2阶统计特性可以提高滤波性能。文献[7]通过构造协方差矩阵和伪协方差矩阵,提出基于四元数域半宽线性自适应波束形成。文献[8]通过利用四元数域的对合信息提出了四元数域宽线性自适应波束形成方法。

同时,随着信号环境日趋复杂,信号频率分布范围不断拓宽,宽带信号具有携带目标信息量大、混响背景相关性弱等特点,已成为阵列信号处理研究的重要方向和热点问题。传统宽带自适应波束形成方法主要可分为时域、频域和空域3种。在时域处理中,通常采用抽头延迟线(Tapped Delay Lines, TDL)结构或者有限脉冲响应滤波器(Finite Impulse Response, FIR)组结构,其中Frost[9]提出的线性约束最小方差(Linear Constraint Minimum Variance, LCMV)波束形成器奠定了时域处理的基础。频域方法是基于离散傅里叶变换(Discrete Fourier Transformation, DFT)的分块处理方式,对阵元输出采样信号进行DFT,将其分解为若干个子带,然后分别针对每个子带进行窄带波束形成,最后对各子带输出进行逆DFT得到波束形成输出信号。空域方法是在扇形滤波器的基础上发展而来。与窄带波束形成器类似,宽带波束形成器对各种误差也非常敏感。文献[10]在LCMV波束形成器的基础上施加导数约束以展宽主瓣,避免信号相消现象的发生。文献[11]提出了基于特征矢量约束的低秩宽带LCMV波束形成,能有效提高宽带波束形成鲁棒性。

在实际应用中,非圆信号广泛存在,其同相分量与共轭分量之间存在很强的相关性,利用信号的非圆特性可以提高阵列信号处理系统的性能,实现孔径扩展[1215]。鉴于此,本文提出一种四元数域宽带鲁棒自适应波束形成方法(Quaternion Wideband Signal plus Interference Subspace Projection, QWSISP),在四元数框架下采用包络对齐技术处理宽带信号,利用四元数阵列输出矢量的3种对合矢量信息,联合信号非圆信息和2阶统计特性,建立四元数域对合增广信号模型,在此基础上有效提取期望信号,抑制多个不相关干扰和噪声,实现四元数域宽带鲁棒自适应波束形成。

2 四元数定义及性质[1619]

四元数 $q \in \mathbb{H}$ ( $\mathbb{R}$ , $\mathbb{C}$ $\mathbb{H}$ 分别表示实数集、复数集和四元数集)定义为

其中, ${q_r} \!=\! {\rm{Re}} \{ q\} \in \mathbb{R}$ , ${q_i} \!=\! {{\rm{Im}} ^{(i)}}\{ q\} \in \mathbb{R}$ , ${q_j} \!=\! {{\rm{Im}} ^{(j)}}\{ q\} $ $ \in \mathbb{R}$ ${q_k} = {{\rm{Im}} ^{(k)}}\{ q\} \in \mathbb{R}$ 分别为四元数 $q$ 的实部和3个虚部系数, $i,j,k$ 为虚数单位且满足关系如式(2)和式(3)

四元数 $q$ 的共轭和3种对合形式定义为

除式(1)外,四元数也可以表征为Cayley-Dickson形式

其中, ${q_1} \in \mathbb{C}$ ${q_2} \in \mathbb{C}$ ,即一个复数可以看作一个 $i - $ 部和 $k - $ 部为零的四元数。

类似地,四元数矩阵 ${Q} \in {\mathbb{H}^{M \times N}}$ 定义为

其中, ${{Q}_r},{{Q}_i},{{Q}_j},{{Q}_k} \in {\mathbb{R}^{M \times N}}$

${Q}$ 的共轭 ${{Q}^{\rm{*}}}$ ,转置 ${{Q}^{\rm{T}}}$ 和共轭转置 ${{Q}^{\rm{H}}}$ 分别为

四元数域函数的偏导数定义为

其中, ${q} \in {\mathbb{H}^{N \times 1}},f({q}) \in \mathbb{H}$

当一个方形矩阵 ${X} \in {\mathbb{H}^{N \times N}}$ 为Hermitian矩阵,即 ${{X}^{\rm{H}}} = {X}$ 时其特征分解定义为

其中, $\{ {\lambda _n}\} _{n = 1}^N \in \mathbb{R}$ 为特征值, $\{ {{u}_n}\} _{n = 1}^N \in {\mathbb{H}^{N \times 1}}$ 为相互正交的特征矢量。

3 四元数域宽带对合增广信号模型

假设波束形成阵列由 $L$ 个沿 $y$ 轴正方向排列的交叉偶极子构成,令位于坐标轴原点处的阵元为参考阵元,阵元间距为 $d$ 。设有 $M$ 个互不相关的宽带信号 $\left\{ {{s_m}(t + {\tau _{l,{\theta _m}}})} \right\}_{m = 0}^{M - 1}$ 分别以方位角 ${\theta _m}$ 、俯仰角 ${\phi _m}$ 、极化辅助角 ${\gamma _m}$ 和极化相位差 ${\eta _m}$ 从远场入射至该阵列,其中, ${s_0}(t + {\tau _{l,{\theta _0}}})$ 为期望信号,其他为干扰信号, ${\tau _{l,{\theta _m}}}$ 为第 $m$ 个信号波到达第 $l$ 个阵元相对于阵列参考阵元的时间延迟(其值为 $(ld\sin {\theta _m}\sin {\phi _m})/c$ ${\theta _m}$ , ${\phi _m}$ 有关,为了书写方便省去下标中 ${\phi _m}$ )。信号波长为 $\lambda $ ,载波频率为 ${f_0}$ 。噪声为空时圆白噪声。

$m$ 个信号的空域导向矢量矩阵可表示为

其中, $\varpi = 2{{π}}{f_0}$

$m$ 个信号的极化域导向矢量可表示为

将阵列划分为两个子阵,其中,子阵1包括所有指向 $x$ 轴的偶极子,子阵2包括所有指向 $y$ 轴的偶极子,得到这两个子阵第 $m$ 个信号的导向矢量分别为

两个子阵的复数域输出分别为

其中, ${{A}_{1,0}}$ ${{A}_{2,0}}$ 为两个子阵对应于期望信号 ${s_0}(t,{\tau _{{\theta _0}}})$ 的阵列流形矩阵, ${{A}_{1,m}}$ ${{A}_{2,m}}$ 为两个子阵对应于第 $m$ 个干扰信号 ${s_m}(t,{\tau _{{\theta _m}}})$ 的流形矩阵, ${{n}_1}(t)$ ${{n}_2}(t)$ 为两个子阵的噪声矢量。

分别对两个子阵输出进行延时操作使得期望信号包络对齐并且记时延 ${\tau _{l,{\theta _0}}}$ 后的信号为 ${{x}_1}(t,{\theta _0})$ ${{x}_2}(t,{\theta _0})$

其中, ${{{1}}_L}$ $L \times 1$ 维全1矢量。

${{a}_{1,0}} = {{A}_{1,0}}{{{1}}_L}$ , ${{a}_{2,0}} = {{A}_{2,0}}{{{1}}_L}$ ,则式(21)和式(22)可化简为

采用Cayley-Dickson表示形式,将阵列各分量输出与四元数4个部分一一对应,得整个阵列的四元数域输出

其中, ${{a}_0} = {{a}_{1,0}} + i{{a}_{2,0}}$ 为期望信号的四元数域导向矢量, ${{A}_m} = {{A}_{1,m}} + i{{A}_{2,m}}$ 为干扰信号的四元数域阵列流形矩阵, ${n}(t) = {{n}_1}(t) + i{{n}_2}(t)$ 为四元数域噪声矢量。

根据四元数性质

其中, $a = {a_r} + j{a_j} \in \mathbb{H}$ , ${a_r} \in \mathbb{R}$ , ${a_j} \in \mathbb{R}$

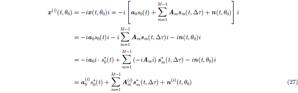
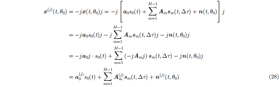
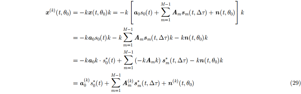
利用四元数3种对合形式,结合式(26)的性质,可得到 ${x}(t,{\theta _0})$ $i - $ 部对合矢量 ${{x}^{(i)}}(t,{\theta _0})$ , $j - $ 部对合矢量 ${{x}^{(j)}}(t,{\theta _0})$ $k - $ 部对合矢量 ${{x}^{(k)}}(t,{\theta _0})$ 如下

其中, ${a}_0^{(i)}$ , ${a}_0^{(j)}$ ${a}_0^{(k)}$ 分别为 ${a}_0^{}$ $i - $ 部、 $j - $ 部和 $k - $ 部对合矢量; ${A}_m^{(i)}$ , ${A}_m^{(j)}$ ${A}_m^{(k)}$ 分别为 ${A}_m^{}$ $i - $ 部、 $j - $ 部和 $k - $ 部对合矩阵; ${{n}^{(i)}}(t,{\theta _0})$ , ${{n}^{(j)}}(t,{\theta _0})$ ${{n}^{(k)}}(t,{\theta _0})$ 分别为 ${n}(t,{\theta _0})$ $i - $ 部、 $j - $ 部和 $k - $ 部对合矢量。

为了更加全面地挖掘与利用四元数输出矢量的2阶统计特性,同时增大阵列输出孔径扩展能力,对四元数信号进行宽线性处理,构造四元数域宽带增广输出矢量

假设期望信号和干扰均为完全非圆信号,即

其中, ${\beta _m} \in [0,2{{π}})$ $s_m^{}(t)$ 的非圆相位。

将式(31)带入式(30)中化简,可得

其中, $\tilde {{a}}_0^{}$ , ${\tilde {{A}}_m}$ $\tilde {{n}}(t,{\theta _0})$ 分别为四元数域期望信号增广矢量、第 $m$ 个干扰信号阵列流形增广矩阵和增广噪声矢量。

令四元数域宽带对合增广波束形成器权矢量为 ${w} \in {\mathbb{H}^{4L \times 1}}$ ,对阵列输出进行加权求和,得到波束形成的输出

4 四元数域宽带鲁棒自适应波束形成

四元数域宽带对合增广波束形成器输出总功率为

其中, $\tilde {{R}}$ 为增广输出矢量 $\tilde {{x}}(t,{\theta _0})$ 的协方差矩阵。实际中,可采用 $K$ 次独立快拍数 $\left\{ {\tilde {{x}}({t_k},{\theta _0})} \right\}_{k = 1}^K$ 估计阵列输出样本协方差矩阵

利用Capon准则设计波束形成器如式(36)所示

通过拉格朗日乘子法,得到最优权矢量

其中, $\mu = {\left(\tilde{ a}_0^{\rm{H}}\tilde{ R}_{}^{ - 1}\tilde{ a}_0^{}\right)^{ - 1}}$

对增广协方差矩阵 $\tilde {{R}}$ 进行特征分解,得到

其中, ${\lambda _l} \in \mathbb{R}$ $\tilde {{R}}$ 的特征值, ${{u}_l} \in {\mathbb{H}^{4L \times 1}}$ 为特征值 ${\lambda _l}$ 对应的特征矢量。其中, $\left\{ {{\lambda _l}} \right\}_0^{{M_s} - 1}$ 对应于 $\tilde {{R}}$ ${M_s}$ 个大特征值, $\left\{ {{\lambda _l}} \right\}_{{M_s}}^{4L - 1}$ 对应于 $\tilde {{R}}$ $4L - {M_s}$ 个小特征值。

由于 ${u}_l^{\rm{H}}\tilde {{a}}_0^{} = 0,\;\,l = {M_s},{M_s} + 1, ·\!·\!· ,4L - 1$ ,由此有

对于大特征值个数 ${M_s}$ 的确定,使用“功率准则”。设 ${M_x}$ 表示满足式(40)条件的 $\tilde {{R}}$ 的特征值数量

其中, ${\hat \lambda _{\max }}$ 表示 $\tilde {{R}}$ 的最大特征值,那么 ${M_s} = 4L - {M_x}$

5 仿真实验

通过计算机仿真实验来验证算法有效性。采用一个六元交叉偶极子构成的等距线阵,阵源间距为信号最高频对应波长的1/2。所有入射信号的中心频率均为2.4 GHz,带宽均为80 MHz,采样频率为200 MHz。噪声为零均值空间白高斯随机过程。

实验1 通过研究波束形成器输出信号波形与真实期望信号波形来验证所提算法的有效性。假设有一个宽带BPSK(严格非圆)期望信号和两个宽带BPSK干扰入射至该阵列,期望信号的方位角、俯仰角、极化辅助角、极化相位差和非圆相位分别为(30°,30°,15°,50°,10°),两个干扰的对应参数分别为(0°,60°,45°,–10°,–30°)和(–45°,–10°,5°, 0°,55°)。输入信噪比为10 dB,输入干噪比也为10 dB,快拍数为640。如图1所示。从图中可见,该波束形成器能从干扰和噪声中提取出期望信号。

图 1 六元阵列输出波形比较 Fig.1 Output waveform of six-element array

实验2 在实验1的基础上,把六元交叉偶极子阵减少为两元交叉偶极子阵,并增加了1个干扰,参数为(60°,15°,0°,–60°,60°),其他条件不变,通过仿真可以证明两元交叉偶极子阵能有效抑制3个干扰信号,增强期望信号,具有孔径扩展能力,如图2所示。

图 2 两元阵列输出波形比较 Fig.2 Output waveform of two-element array

实验3 本实验考察该波束形成器输出波形与期望信号复包络波形归一化后两者的偏差程度,用均方根误差RMSE来衡量。定义为

其中, ${T_r}$ 为独立重复实验总次数, $K$ 为快拍数, ${y_i}({t_k})$ 为第 $tt$ 次实验中第 $k$ 个快拍归一化后的输出波形, $s({t_k})$ 为真实期望信号波形。

进行比较的方法包括四元数域Capon(QCapon)方法[8]、导数约束(DCMV)方法[9]和低秩宽带约束(WLCMV)方法[11]。仿真所采用的信号与实验1相同,图中给出的结果均为500次蒙特卡罗实验的平均结果。图3为波形估计偏差随输入信噪比的变化曲线,其中,输入干噪比为10 dB,快拍数为640。图4为波形估计偏差随快拍数的变化曲线,其中,输入信噪比为15 dB,输入干噪比为10 dB。从图中所示结果可以看出,QWSISP波束形成器的性能要优于其他方法。

图 3 波形估计偏差随输入信噪比变化曲线 Fig.3 RMSE curves versus SNR
图 4 波形估计偏差随快拍数变化曲线 Fig.4 RMSE curves versus snapshot number

实验4 本实验考察输出波形与期望信号复包络波形归一化后存在指向误差时的均方根误差RMSE。指向误差为2°,其他条件与实验3相同。图5为存在指向误差情况下波形估计偏差随输入信噪比的变化曲线(一方面,宽带信号由于采用主特征投影波束形成方法,其性能受到主特征值个数也即有效秩影响,不同的有效秩选择对结果有所不同。宽带信号采用功率准则选择有效秩,其性能不一定最优,但如果通过尝试的方法选择更有效的有效秩参数,就可以在信噪比高时使得输出波形与期望信号波形接近,如图6所示。另一方面,当信噪比越高时,波束形成受模型误差的影响一般越大,所以随着信噪比的提高,波束形成的性能未必相应提高)。图7为存在指向误差情况下波形估计偏差随快拍数的变化曲线。从图中所示结果可以看出QWSISP方法具有较好鲁棒性。

图 5 有误差情况下波形估计偏差随输入信噪比变化曲线 Fig.5 RMSE curves versus SNR under error conditions
图 6 有误差情况下波形估计偏差随输入信噪比变化曲线 Fig.6 RMSE curves versus SNR under error conditions
图 7 有误差情况下波形估计偏差随快拍数变化曲线 Fig.7 RMSE curves versus snapshot number under error conditions
6 结论

本文提出一种基于四元数域宽带鲁棒自适应波束形成方法,即QWSISP方法。本方法充分挖掘和利用四元数域阵列输出矢量的对合信息,联立入射信号非圆信息和四元数2阶统计特性,有效地提取出期望信号,抑制干扰和噪声,增大阵列虚拟孔径,实现了宽带条件下的鲁棒波束形成。本文所提方法可应用于多点源干扰背景下的雷达目标检测。

参考文献
[1] Gou X M, Xu Y G, Liu Z W, et al.. Quaternion-capon beamformer using crossed-dipole arrays[C]. Proceedings of the 4th IEEE International Symposium on Microwave, Antenna, Propagation and EMC Technologies for Wireless Communications, Beijing, China, 2011: 34–37. DOI: 10.1109/MAPE.2011.6156140. (0)
[2] Tao J W and Chang W X. The MVDR beamformer based on hypercomplex processes[C]. Proceedings of 2012 International Conference on Computer Science and Electronics Engineering, Hangzhou, China, 2012: 273–277. DOI: 10.1109/ICCSEE.2012.430. (0)
[3] Tao J W and Chang W X. A novel combined beamformer based on hypercomplex processes[J]. IEEE Transactions on Aerospace and Electronic Systems, 2013, 49(2): 1276-1289. DOI:10.1109/TAES.2013.6494413 (0)
[4] Zhang X R, Liu W, Xu Y G, et al. Quaternion-valued robust adaptive beamformer for electromagnetic vector-sensor arrays with worst-case constraint[J]. Signal Processing, 2014, 104: 274-283. DOI:10.1016/j.sigpro.2014.04.006 (0)
[5] Liu Z W, Wang Y X, Zhang X R, et al. Spatially smoothed Quaternion-Capon beamforming in the presence of coherent interferences[J]. Journal of Beijing Institute of Technology, 2016, 25(2): 225-230. DOI:10.15918/j.jbit1004-0579.201625.0210 (0)
[6] Took C C and Mandic D P. A quaternion widely linear adaptive filter[J]. IEEE Transactions on Signal Processing, 2010, 58(8): 4427-4431. DOI:10.1109/TSP.2010.2048323 (0)
[7] Zhang X R, Liu Z W, Fan Z Y, et al.. Quaternion-valued robust adaptive beamformer based on widely linear processing[C]. Proceedings of the 19th International Conference on Digital Signal Processing, Hong Kong, China, 2014: 719–724. DOI: 10.1109/ICDSP.2014.6900758. (0)
[8] 刘志文, 王荔, 徐友根. 四元数域对合增广宽线性自适应波束形成[J]. 电子与信息学报, 2017, 39(7): 1525-1531.
Liu Zhi-wen, Wang Li, and Xu You-gen. Quaternion-valued widely linear adaptive beamforming via involution augmentation[J]. Journal of Electronics & Information Technology, 2017, 39(7): 1525-1531. DOI:10.11999/JEIT160988 (0)
[9] Frost O L. An algorithm for linearly constrained adaptive array processing[J]. Proceedings of the IEEE, 1972, 60(8): 926-935. DOI:10.1109/PROC.1972.8817 (0)
[10] Meng E and Cantoni A. Derivative constraints for broad-band element space antenna array processors[J]. IEEE Transactions on Acoustics, Speech, and Signal Processing, 1983, 31(6): 1378-1393. DOI:10.1109/TASSP.1983.1164219 (0)
[11] Buckley K M. Spatial/spectral filtering with linearly constrained minimum variance beamformers[J]. IEEE Transactions on Acoustics, Speech, and Signal Processing, 1987, 35(3): 249-266. DOI:10.1109/TASSP.1987.1165142 (0)
[12] Chevalier P and Blin A. Widely linear MVDR beamformers for the reception of an unknown signal corrupted by noncircular interferences[J]. IEEE Transactions on Signal Processing, 2007, 55(11): 5323-5336. DOI:10.1109/TSP.2007.899394 (0)
[13] Wang G H, Lie J P, and See C M S. A robust approach to optimum widely linear MVDR beamformer[C]. Proceedings of 2012 IEEE International Conference on Acoustics, Speech and Signal Processing, Kyoto, Japan, 2012: 2593–2596. DOI: 10.1109/ICASSP.2012.6288447. (0)
[14] Xu Y G, Ma J Y, Liu Z W, et al. A class of diagonally loaded robust Capon beamformers for noncircular signals of interest[J]. Signal Processing, 2014, 94: 670-680. DOI:10.1016/j.sigpro.2013.07.013 (0)
[15] Chevalier P, Delmas J P, and Oukaci A. Optimal widely linear MVDR beamforming for noncircular signals[C]. Proceedings of 2009 IEEE International Conference on Acoustics, Speech and Signal Processing, Taipei, China, 2009: 3573–3576. DOI: 10.1109/ICASSP.2009.4960398. (0)
[16] Hamilton W R. On a new species of imaginary quantities connected with a theory of quaternions[J]. Proceedings of the Royal Irish Academy, 1843, 2: 424-434. (0)
[17] Ward J P. Quaternions and Cayley Numbers: Algebra and Applications[M]. Dordrecht: Kluwer, 1997: 54–102. DOI: 10.1007/978-94-011-5768-1. (0)
[18] Ell T A and Sangwine S J. Quaternion involutions and anti-involutions[J]. Computers & Mathematics with Applications, 2007, 53(1): 137-143. DOI:10.1016/j.camwa.2006.10.029 (0)
[19] Jiang M D, Li Y, and Liu W. Properties of a general quaternion-valued gradient operator and its applications to signal processing[J]. Frontiers of Information Technology & Electronic Engineering, 2016, 17(2): 83-95. DOI:10.1631/FITEE.1500334 (0)