«上一篇
文章快速检索     高级检索
下一篇»
  雷达学报  2018, Vol. 7 Issue (6): 730-739  DOI: 10.12000/JR18107
0

引用本文  

刘奇勇, 张群, 洪文, 等. 基于参数估计的下视稀疏阵列三维SAR运动误差补偿和成像处理方法[J]. 雷达学报, 2018, 7(6): 730-739. DOI: 10.12000/JR18107.
Liu Qiyong, Zhang Qun, Hong Wen, et al.. Dlsla 3d sar motion error compensation and imaging method based on parameter estimation[J]. Journal of Radars, 2018, 7(6): 730-739. DOI: 10.12000/JR18107.

基金项目

国家自然科学基金(61471386, 61871396),陕西省自然科学基础研究计划(2016JM4008)

通信作者

张群   zhangqunnus@gmail.com

作者简介

刘奇勇(1990–),男,湖南邵阳人,空军工程大学博士生,主要研究方向为SAR成像、线阵SAR 3维成像;
张 群(1964–),男,陕西合阳人,空军工程大学信息与导航学院教授,博士生导师,主要研究方向为雷达成像与目标识别。E-mail: zhangqunnus@gmail.com;
洪 文(1968–),女,上海人,中国科学院电子学研究所研究员,博士生导师,主要研究方向为极化/极化干涉SAR处理及应用、3维SAR信号处理、圆迹SAR信号处理以及稀疏微波成像技术;
苏令华(1979–),男,山东枣庄人,空军工程大学信息与导航学院讲师,主要研究方向为遥感图像处理、雷达信号处理、DSP算法设计;
梁 佳(1985–),男,陕西西安人,空军工程大学信息与导航学院讲师,主要研究方向为雷达成像

文章历史

收稿日期:2018-12-03
改回日期:2018-12-27
基于参数估计的下视稀疏阵列三维SAR运动误差补偿和成像处理方法
刘奇勇, 张群②③④, 洪文⑤⑥, 苏令华②③, 梁佳②③    
(空军工程大学研究生院   西安   710077)
(空军工程大学信息与导航学院   西安   710077)
(信息感知技术协同创新中心   西安   710077)
(复旦大学电磁波信息科学教育部重点实验室   上海   200433)
(微波成像技术国家重点实验室   北京   100190)
(中国科学院电子学研究所   北京   100190)
摘要:当载机存在偏航角速度时,载机航线会偏离理想航线,对稀疏阵列下视3维合成孔径雷达(DLSLA 3D SAR)成像产生影响。该文建立了载机在飞行过程中存在偏航角速度下的DLSLA 3D SAR成像模型,通过理论推导得到了信号的多普勒调频率表达式,多普勒调频率与目标被调制后的跨航向坐标有关,而与被调制后的方位向坐标无关。进一步,完成跨航向信号处理之后,在平台的速度和偏航角速度不准的情况下,利用参数化稀疏表征方法实现了平台的速度和偏航角速度的估计,并完成了方位向稀疏场景的重构,最后提出了一种形变校正方法。仿真实验验证了该算法的有效性。
关键词稀疏阵列下视3维合成孔径雷达    运动误差    多普勒调频率    参数化稀疏表征    
DLSLA 3D SAR Motion Error Compensation and Imaging Method Based on Parameter Estimation
Liu Qiyong, Zhang Qun②③④, Hong Wen⑤⑥, Su Linghua②③, Liang Jia②③    
(Air Force Engineering University Graduate College, Xi’an 710077, China)
(College of Information and Navigation, Air Force Engineering University, Xi’an 710077, China)
(Collaborative Innovation Center of Information Sensing and Understanding, Xi’an 710077, China)
(The Key Laboratory for Information Science of Electromagnetic Waves (Ministry of Education), Fudan University, Shanghai 200433, China)
(National Key Laboratory of Microwave Imaging Technology, Beijing 100190, China)
(Institute of Electronics, Chinese Academy of Sciences, Beijing 100190, China)
Foundation Item: The National Natural Science Foundation of China (61471386, 61871396), The Natural Science Foundation Research Program of Shaanxi Province (2016JM4008)
Abstract: In the presence of yaw angular velocity, a body will deviate from its ideal flight path, which will affect imaging of Downward-Looking Sparse Linear Array 3D Synthetic Aperture Radar (DLSLA 3D SAR). In this paper, an imaging model including yaw rate is established. Furthermore, Doppler frequency modulation, which is related to cross-track coordinates and not azimuth coordinates, was theoretically calculated. Thus, a cross-track signal could be reconstructed to obtain the cross-track coordinates before azimuth signal compression. Based on the parametric sparse representation, the velocity and yaw rate of the platform were estimated, and the azimuth signal was compressed. Moreover, a deformation correction method is proposed to correct image deformation. The simulation results demonstrate the validity of the proposed method.
Key words: Downward-Looking Sparse Linear Array 3D Synthetic Aperture Radar (DLSLA 3D SAR)    Motion error    Doppler frequency rate    Parametric sparse representation    
1 引言

3维合成孔径雷达(3-Dimensional Synthetic Aperture Radar, 3D SAR)成像能够克服传统2维SAR成像中存在的阴影和重叠效应[1],获得场景的3维成像结果[24]。与其他的3D SAR成像技术相比,例如:层析SAR成像[5]、干涉SAR成像[6]等,阵列3D SAR成像技术通过单次航过就能得到场景的3维图像[710],而且成像模式更加灵活,尤其是稀疏阵列下视3D SAR(Downward-Looking Sparse Linear Array 3D SAR, DLSLA 3D SAR)成像能够克服斜视中存在的阴影效应,得到了更加广泛的关注。

DLSLA 3D SAR系统的线阵长度受限于平台的尺寸,导致跨航向分辨率比较低,很多文章对提升DLSLA 3D SAR系统的跨航向分辨率进行了研究[11,12]。但是这些文章并未考虑载机飞行不理想的情况,实际情况下,载机的运动是会存在误差的。为补偿运动误差,文献[13]提出一种基于波数域的运动补偿方法,但是该方法需已知载机的运动参数。文献[14]提出一种基于多通道联合自聚焦的方法,该方法利用传统图像偏置(map drift)法实现图像的自聚焦,但是没有考虑多普勒调频空变的特点。事实上,DLSLA 3D SAR成像与传统的SAR成像中的运动误差补偿是存在不同的。传统SAR一般都是远距离成像,方位向合成孔径较长,合成孔径时间也比较长[15,16]。但是,DLSLA 3D SAR成像中,由于跨航向分辨率与平台高度成反比,要使其跨航向分辨率在可接受的范围内,载机平台的高度就不能太高,合成孔径长度也就不会太长,合成孔径时间也会较短。因此,在一个合成孔径时间内载机一般都可看成是平稳飞行的。

基于以上分析,本文研究载机飞行过程中存在偏航角速度时的DLSLA 3D SAR成像。首先建立载机存在偏航角速度下的DLSLA 3D SAR成像模型;其次,通过理论计算得到多普勒调频率的显示表达式,并且多普勒调频率与散射点被调制后的跨航向坐标有关,而与被调制后的方位向坐标无关;因此,可以先处理跨航向信号,再处理方位向信号;接着,在完成跨航向信号重构后,在平台运动参数存在误差的情况下,基于参数化稀疏表征方法实现了平台的速度和偏航角速度的估计,进一步利用所得到的参数构造方位补偿函数完成了方位向信号的处理,实现了运动误差的补偿;随后提出一种形变校正方法。仿真实验验证了所提算法的有效性。

2 DLSLA 3D SAR成像运动误差建模

DLSLA 3D SAR成像几何模型如图1所示。假设飞机以速度v平行于X轴(方位向)飞行,飞行高度为H。稀疏线性阵列布设在机翼下方,沿着Y轴(跨航向)排列,并且关于高度向Z轴(距离向)对称。阵列结构为两端的为发射阵元,数量为 ${N_{\rm t}}$ ,间隔为2d,中间的为接收阵元,数量为 ${N_{\rm r}}$ ,间隔为 ${N_{\rm t}}d$ ,则通过等效相位中心(Equivalent Phase Center, EPC)原理,可以得到等间隔的均匀EPC,数量为 $N = {N_{\rm t}} \times {N_{\rm r}}$ ,间隔为d。发射阵元采用时分的工作模式发射信号,则在利用EPC原理时,会引入双基等效为单基的距离误差 $\left(\left| {\overrightarrow {{A_{\rm t}}{P_k}} } \right| \!+\! \left| {\overrightarrow {{A_{\rm r}}{P_k}} } \right| \!-\! 2\left| {\overrightarrow {{A_{\rm n}}{P_k}} } \right|\right)$ ,同时不同时刻的EPC不在同一直线上,需要补偿运动引入的EPC误差,经过EPC误差和运动引起的EPC的误差补偿后,就可以利用EPC直接对信号处理[17]。由于发射阵元为偶数,因此,等效的EPC数量N也为偶数,实际上,在该阵列结构中,阵列的中心没有EPC,因此,可把该点看成均匀EPC丢失的点,并将其添加到EPC中,并EPC从左至右依次编号,并组成序列向量 ${{N}} = \left[ {1\ {\rm{ 2 }} ·\!·\!· {\rm{ }}N + 1} \right]$ ,而EPC稀疏采样得到的序列为 ${{P}} = \left[ {1\ {\rm{ 2 }} ·\!·\!· {\rm{ }}P} \,\right]$ ,每个采样序号p对应着EPC的序号为 ${n_p} \in {{N}}$ ,那么对于第p个降采样的EPC,其在慢时间 ${t_{{m_q}}}$ 时刻的坐标可以表示为 ${A_p}\left( {{x_{{m_q}}},{y_{{n_p}}},H} \right)$ ,其中 ${x_{{m_q}}} \!=\! v \cdot {t_{{m_q}}}$ , ${y_n} = \left( n - \right.$ $\left. N/2 \right) \cdot d $ , $q \in {{Q}} = \left[ {1\ {\rm{ 2 }}·\!·\!·{\rm{ }}Q} \right]$ , ${m_q} \in {{M}} = \left[ {1\ {\rm{ 2 }} ·\!·\!· {\rm{ }}M} \right]$ , ${{M}}$ 为慢时间的全采样序列。当机载平台存在偏航角 $\theta $ 时,载机的实际航线为图中实线所示,则第p个等效阵元到第k个散射点 ${P_k}\left( {{x_k},{y_k},{z_k}} \right)$ 的实际的瞬时距离如式(1)所示。

图 1 DLSLA 3D SAR成像几何模型 Fig.1 DLSLA 3D SAR imaging geometry model

其中, ${v_x} \!=\! v\cos \theta $ , ${v_y} \!=\! v\sin \theta $ , ${R_k} \!=\! \sqrt {{{(H \!-\! {z_k})}^2} \!+\! y_k^2} $

载机在运动过程中,偏航角变化呈正弦形式,而且,最大偏航角一般不会太大,会被控制在一定范围内。在该条件下,载机的偏航角变化可以近似成线性变化。基于此近似,假设偏航角速度为 $\omega $ ,初始偏航角为 ${\theta _0}$ ,则瞬时偏航角为 $\theta \approx \omega {t_{{m_q}}} + {\theta _0}$ 。根据瞬时距离的表达式,可得瞬时多普勒 ${f_{\rm{d}}}\left( {{t_m}} \right)$

其中, $\lambda $ 为发射信号的波长。进一步,可得多普勒调频率 $\gamma $

一般情况下,为了保持载机平稳飞行,偏航角速度 $\omega$ 非常小,也就是说,偏航角 $\theta $ 是缓变的。当偏航角速度为3°/s时, ${\omega ^2} = 0.0027$ ,因此,存在 ${\omega ^2}$ 因子的项可以忽略,则式(3)可近似为

信号的多普勒调频率 $\gamma $ 不仅与平台的速度和偏航角速度有关,还与散射点的方位向坐标和跨航向坐标有关,也就是说 $\gamma $ 是空变的。

同理,定义跨航向的频率 ${f_{{\rm{cd}}}}\left( {{y_n}} \right)$ 和跨航向信号的调频率 ${K_{\rm{c}}}$

因此,可得多普勒频率中心 ${f_{\rm{d}}}\left( 0 \right)$ 和跨航向频率中心 ${f_{{\rm{cd}}}}\left( 0 \right)$

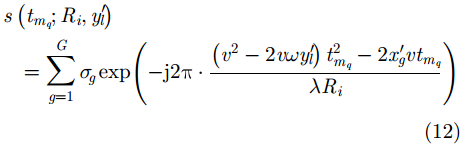
由式(7)—式(10)可知,第l个散射点在方位维-跨航向维平面聚焦后的位置为 $\left( {{{x'}\!\!\!\,_l},\ {{y'}\!\!\!\,_l}} \right)$ ,而不是 $\left( {{x_l},{y_l}} \right)$ ,即散射点的方位向坐标和跨航向坐标被调制了。且 $\gamma \approx {{ - 2\left( {{v^2} - 2v\omega {{y'}\!\!\!\,_l}} \right)} / {\left( {\lambda {R_i}} \right)}}$ 。则信号完成距离压缩后,第i个距离单元对应的方位向-跨航向2维信号可表示为

其中, $p \in {{P}}$ , L表示该距离单元内的散射点数, ${\sigma _l}$ 表示第l个散射点对应的系数。式(11)中,第1个指数项表征了方位向信息,第2个指数项表征了跨航向信息,而且跨航向信息中不包含方位向信息。因此,可先处理跨航向信号,再处理方位向信号。跨航向信号可以利用波束形成原理进行处理,接下来处理方位向信号。

3 基于参数化稀疏表征的平台参数估计方法

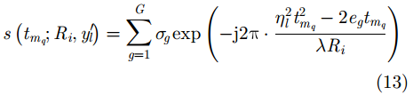
完成距离压缩和跨航向信号重构后,位于第i个距离单元、第l个跨航向单元的方位向信号可表示为

其中,G表示位于该单元中的散射点数。令 $\eta _l^2 = {v^2} - 2v\omega {y'\!\!\!\,_l}$ , ${e_g} = {x'\!\!\!\,_g}v$ ,则式(12)可减化为

根据式(13),方位向稀疏字典可构造为

其中,B表示方位向场景离散网格数,且列向量 ${{{φ}} _{{\rm{ }}b}}\left( {{\eta _l}} \right)$ 可具体表示为

其中, ${\left[ {{{{φ}} _{{\rm{ }}b}}\left( {{\eta _l}} \right)} \right]_q}$ 表示列向量 ${{{φ}} _{{\rm{ }}b}}\left( {{\eta _l}} \right)$ 的第q个元素, ${e_b} = {x_b} v$ , ${x_b}$ 表示第b个方位向离散网格点坐标。得到稀疏字典后,在存在噪声的情况下,信号可以稀疏表示为

其中,

${\left[ \cdot \right]^{\rm{T}}}$ 表示转置操作。向量 ${{ρ}}$ 为各网格点构成的基向量对应的系数, ${{w}} = {\left[ {{w_1}{\rm{ }}{w_2}{\rm{ }}\ ·\!·\!· \ {w_Q}} \right]^{\rm{T}}}$ 表示噪声。由于 ${{Φ}}\! \left( {{\eta _l}} \right)$ 与因子 ${\eta _l}$ 有关,因此,当 ${\eta _l}$ 的值比较准确时,通过求解式(16)能够重构出准确的方位向信号。如果 ${\eta _l}$ 与其真实值之间存在较大的误差,则会导致重构得到的信号不准确。综上所述,在重构稀疏信号的同时,还需要估计与补偿函数有关的参数,这样的问题可以称之为参数化稀疏恢复问题

其中, $\varepsilon $ 表示容差范围。本文采用交替迭代的思想求解优化模型如式(17),首先给运动参数赋初值,然后根据该初值得到信号的稀疏解;其次利用上一步得到的稀疏解更新运动参数,接下来,再利用更新的运动参数去求解稀疏解。通过循环迭代,得到上述优化模型的解。

在第p次迭代中,参数的初始值 ${{\overset{\frown}{\eta }} _l}^{\!\!\left( p \right)}$ 给定,参数 ${\eta _l}$ 的第p次迭代的解可以作为第 $p + 1$ 次迭代时的初始值,则第p次迭代的稀疏解可通过求解式(18)优化模型得到

其中, ${{\overset{\frown}{{ρ}}} ^{\left( p \right)}}$ 表示第p次迭代得到的稀疏解, ${\left\| \cdot \right\|_0}$ ${\left\| \cdot \right\|_2}$ 分别表示 ${l_0}$ ${l_2}$ 范数, $\zeta > 0$ 为正则化参数。本文采用迭代阈值法求解式(18)。

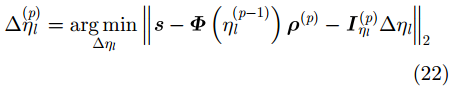
得到稀疏解 ${{\overset{\frown}{{ρ}}} ^{\left( p \right)}}$ 后, ${\eta _l}$ 的更新可以通过重构误差最小化实现,优化问题可描述为

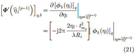
为实现参数 ${\eta _l}$ 的更新,字典矩阵 ${{Φ}} \left( {{\eta _l}} \right)$ 可用其1阶泰勒级数展开进行近似

其中, $\Delta {\eta _l}$ 表示参数 ${\eta _l}$ 的1阶增量, $ {{Φ}}\!\, '\left( {{{\overset{\frown}{\eta }}_l}^{\left( {p - 1} \right)}} \right)$ ${\left. { = \displaystyle\frac{{\partial {{Φ}}\! \left( {{\eta _l}} \right)}}{{\partial {\eta _l}}}} \right|_{{\eta _l} = {{\overset{\frown}{\eta }}_l}^{\!\!\left( {p - 1} \right)}}}$ ,根据式(15),稀疏字典中各元素的值为

其中, ${\left[ \cdot \right]_{q,b}}$ 表示矩阵的第q行第b列的元素。令 ${{{I}}_{{\eta _l}}}^{\!\!\!\!\left( p \right)} = {{Φ}} '\!\left( {{{\overset{\frown}{\eta }}_l}^{\!\!\left( {p - 1} \right)}} \right){{{ρ}}^{\left( p \right)}}$ ,式(19)所述问题可为

式(22)可利用最小二乘法求解,进而,参数可以利用式(23)进行更新。

其中, ${\mu ^{\left( p \right)}}$ 为第p次迭代时的步进。为避免出现局部极小值的情况,加入步进因子 ${\mu ^{\left( p \right)}}$ 调节增量,使 $\left| {{\mu ^{\left( p \right)}} \Delta {\eta _l}^{\!\!\!\!{{\left( p \right)}}}} \right| \in \left[ {0.01,10} \right]$ , ${\mu ^{\left( p \right)}}$ 的取值可通过搜索法得到,假设候选值 ${\mu ^{\left( p \right)}} \in [0.1, - 0.1,1, - 1,10, - 10, $ $ 100,- 100,1000, ·\!·\!· ]$ 。第p+1次迭代增量的模要小于第p次的迭代增量的模,即 $ \left| {{\mu ^{\left( {p + 1} \right)}} \Delta {\eta _l}^{\!\!\!\!{{\left( {p + 1} \right)}}}} \right| <$ $ \left| {{\mu ^{\left( p \right)}} \Delta {\eta _l}^{\!\!\!\!{{\left( p \right)}}}} \right|$ ,大概迭代2~4次后, ${\mu ^{\left( p \right)}}$ 值就可以取1,因为,此时参数 ${\eta _l}$ 的估计值已经很接近其准确值,不会再出现局部极小值问题。

通过以上方法,循环更新 ${{ρ}}$ ${\eta _l}$ ,最终可以得到 ${\eta _l}$ 的准确值。当得到两个不同的 ${\eta _l}$ 的值后,根据 $\eta _l^2 = {v^2} - 2v\omega {y'\!\!\!\,_l}$ ,就能计算出平台的速度 $\hat v$ 和偏航角速度 $\hat \omega $ 。算法的循环终止条件为 $\left| {{{\left| {{{{ρ}}^{\left( {p + 1} \right)}}} \right|}_1} - {{\left| {{{{ρ}}^{\left( p \right)}}} \right|}_1}} \right| <$ $ {\varepsilon _\rho }$ , ${\varepsilon _\rho }$ 为收敛阈值。

4 形变校正

由于聚焦后的3维图像在方位向-跨航向平面存在形变,因此,需对各个高度维的方位向和跨航向平面进行形变校正。

首先,根据方位向处理之前的信号,可得第k个散射点的回波起始时间 ${T_{k\_{\rm{s}}}}$ 或者回波终止时间 ${T_{k\_{\rm{e}}}}$

其次,根据第k个散射点的坐标 $\left( {{{x'}\!\!\!\,_k},{{y'}\!\!\!\,_k},{z_k}} \right)$ 和估计得到的平台的速度 $v$ ,计算该散射点理论上的回波起始时间 ${T_{k'\_{\rm s}}}$ 或者回波终止时间 ${T_{k'\_{\rm{e}}}}$

其中, ${L_{{\rm{sar}}}}$ 为合成孔径长度。根据实际回波时间和理论上的回波时间,可以得到散射点的实际的方位向坐标和被调制后的方位向坐标之间的关系

根据式(9)、式(10)和式(26),可计算出散射点的准确坐标 $\left( {{x_k},{y_k},{z_k}} \right)$ ,并且估计出初始偏航角的值。在完成形变校正之后,就能得到准确的3维场景图像。

本文所提算法的完整流程图如图2所示。

图 2 所提方法流程图 Fig.2 The flow chart of the proposed method
5 仿真实验和分析

本节利用仿真数据和DEM数据来验证本文所提方法的有效性。

5.1 DLSLA 3D SAR成像孤立点目标实验

首先进行孤立点目标仿真实验。点目标模型如图3所示,所有点目标的反射系数均设为1。当载机的飞行速度为60 m/s,所得到的阵列尺寸为4.3 m×1.0 m(阵列方向×方位向),为保证方位向信号不出现模糊,脉冲重复频率至少为120 Hz;由于DLSLA 3D SAR成像系统采用MIMO时分工作方式,因此,跨航向信号需要16个脉冲周期才能得到一个全孔径的EPC,则系统的脉冲重复频率至少为1920 Hz。为了在较短的合成孔径时间内采样足够的信号,系统的脉冲重复频率设为5000 Hz。实验仿真参数如表1所示,EPC之间的间隔设为半个波长,载机平台存在偏航角运动误差。

图 3 3维孤立点目标模型 Fig.3 3D isolated targets model
表 1 平台和天线的参数 Tab.1 Parameters of platform and antenna

仿真实验中,假设平台自身的速度和偏航角速度估计值的误差分别为2 m/s和2°/s,并且在距离压缩后的信号中加入噪声,使得到的信号的信噪比为5 dB,跨航向利用波束形成原理对信号进行压缩。方位向的降采样率为0.8,图4(a)为直接构造稀疏字典矩阵对信号进行重构后得到的3维成像结果,此处称为直接成像方法,可见,方位向仍然存在展宽现象,方位向信号采用迭代阈值法进行重构。这是因为平台的运动参数值不准确,导致所构造的方位向稀疏字典矩阵与理想的稀疏字典矩阵不完全匹配。进一步,利用所提出的参数化稀疏表征方法估计平台的运动参数,得到平台的速度和偏航角速度的估计结果分别为60.08 m/s和2.09°/s,再根据得到的运动参数构造方位向稀疏字典矩阵对信号进行处理,成像结果如图4(b)所示,可见,方位向聚焦效果良好。这说明所提的参数化稀疏表征方法能够准确估计平台的运动参数,并完成方位向信号处理,实现平台运动误差的补偿。

图 4 成像结果 Fig.4 Imaging result

图5图4(a)和图4(b)红色矩形区域内两个目标的方位向截面图,图5中红色线条代表图4(b)对应的方位向截面图,蓝色线条代表图4(a)对应的方位向截面图,可见,基于参数化稀疏表征的方法能够实现方位向的压缩,而直接法由于采用的平台运动参数不准,导致构造的稀疏字典与信号不匹配,因此存在一定的展宽现象。表2图5中两种方法对应的3 dB宽度。其中提升倍数的定义为:直接法的3 dB宽度/参数化稀疏表征法的3 dB宽度。可见,所提方法的聚焦效果有明显的改善。

图 5 方位向截面图 Fig.5 The azimuth sectional image
表 2 图5中两种结果对应3 dB宽度 Tab.2 The 3 dB width of the two methods in Fig. 5

因此,接下来分析图像的形变校正问题。图6(a)图4(b)在方位向-跨航向平面上的投影结果,可见,聚焦所得散射点坐标的方位向坐标和跨航向坐标与其真实值确实存在偏差,而且矩形区域内目标坐标的偏差比椭圆形区域内的目标坐标的偏差更加严重。这可从方位向坐标和跨航向坐标被调制的公式看出,当目标的真实坐标越大时,坐标受到调制的影响也越严重。图6(b)为经过形变校正之后的结果,通过将图6(b)图6(a)进行对比可以发现,校正后目标所在的位置与其真实值非常接近,而且不同区域的图像所发生的形变都能够得到准确的校正。即所提形变校正方法是有效的,利用所提方法能够校正图像所产生的形变。并且,根据形变校正方法得到的初始偏航角为2.92°。

图 6 方位向-跨航向平面投影图 Fig.6 2D projection onto azimuth and cross-track plane

进一步,得到图6(b)中所示的5个目标形变校正前后的坐标,如表3所示,表明所提形变校正方法是有效的,利用本形变校正方法对图像进行处理能够明显改善图像性能。

表 3 形变校正前后的方位向、跨航向坐标 Tab.3 The azimuth and cross-track coordinates before and after deformation correction
5.2 DLSLA 3D SAR成像分布式目标仿真

在本节仿真实验中,分布式场景及其在方位向-跨航向平面上的投影图分别如图7(a)图7(b)所示。仿真参数如表1所示,在笛卡尔坐标系中,仿真场景的大小为200 m×200 m×35 m。散射点的方位向坐标均匀分布在[–100 m, 100 m],间隔为1 m。散射点的跨航向坐标均匀分布在[–100 m, 100 m],间隔也为1 m。根据系统参数,可算出跨航向的瑞利分辨率为5.42 m。为了评价所提算法的抗噪性能,在距离压缩后的信号中加入噪声,使信号的信噪比为5 dB,跨航向利用波束形成原理对信号进行压缩。在进行仿真时,方位向重构时的降采样率设为0.8。假设平台自身的速度和偏航角速度估计值的误差分别为2 m/s和2°/s,方位向信号采用迭代阈值法进行重构,由本节所提方法得到的场景3维成像结果如图8(a)所示,图8(b)为未进行运动误差补偿得到3维成像结果。从图8(b)可以看出,未进行运动误差补偿的成像结果中存在一些细节丢失的现象,而所提的方法能够得到完全聚焦的3维图像,平台的速度和偏航角速度的估计值分别为59.91 m/s和2.06°/s。进一步,得到图8(a)8(b)在方位向-跨航向2维平面上的投影结果,分别如图9(a)9(b)所示。从图8可见,两种方法得到图像在方位维-跨航向维平面都发生了形变,而且图9(b)还存在展宽现象。最后,根据所提形变校正方法,图9(a)经过形变校正后得到的结果如图10所示,可见,图像的形变得到了校正,并且偏航角的初始值的估计值为3.06°。即本文所提方法对分布式场景也是有效的。

图 7 成像场景示意图 Fig.7 The ideal scene
图 8 分布式场景DLSLA 3D SAR成像结果 Fig.8 3D imaging result of scene
图 9 方位向-跨航向平面投影图 Fig.9 2D projection onto azimuth and cross-track plane
图 10 形变校正后的方位向-跨航向平面投影图 Fig.10 2D projection onto azimuth and cross-track plane after deformation correction.

进一步,为评价形变校正方法对分布式场景的校正性能,得到了理想场景图7(b)中标示出的4个目标形变校正前后的方位向、跨航向坐标,如表4所示。提升倍数的定义为:|实际坐标值–校正前的坐标值|/|实际坐标值–校正后的坐标值|。可见,形变校正后的坐标相比校正前的坐标得到了很大的改善。即本形变校正方法对分布式场景也有效。

表 4 形变校正前后的方位向、跨航向坐标 Tab.4 The azimuth and cross-track coordinates before and after deformation correction
6 结论

DLSLA 3D SAR成像在载机存在偏航角速度的情况下会对成像产生影响。当载机存在偏航角速度时,信号多普勒调频不仅与平台的速度和偏航角速度有关,还与被调制后的跨航向坐标有关,而与被调制后的方位向坐标无关。因此可以先处理跨航向信号得到目标被调制后的跨航向坐标,再处理方位向信号。本文所提基于参数化稀疏表征的方法能够实现平台速度和偏航角速度的估计,并完成方位向信号重构,所提的形变校正方法能够校正图像的形变。仿真结果验证了本文所提方法的有效性。

参考文献
[1] Budillon A, Evangelista A, and Schirinzi G. Three-dimensional SAR focusing from multipass signals using compressive sampling[J]. IEEE Transactions on Geoscience and Remote Sensing, 2011, 49(1): 488-499. DOI:10.1109/TGRS.2010.2054099 (0)
[2] Zhu X X and Bamler R. Very high resolution spaceborne SAR tomography in urban environment[J]. IEEE Transactions on Geoscience and Remote Sensing, 2010, 48(12): 4296-4308. DOI:10.1109/TGRS.2010.2050487 (0)
[3] Peng X M, Tan W X, Hong W, et al. Airborne DLSLA 3-D SAR image reconstruction by combination of polar formatting and L1 regularization[J]. IEEE Transactions on Geoscience and Remote Sensing, 2016, 54(1): 213-226. DOI:10.1109/TGRS.2015.2453202 (0)
[4] 徐宗本, 吴一戎, 张冰尘, 等. 基于L1/2正则化理论的稀疏雷达成像 [J]. 科学通报, 2018, 63(14): 1306-1319.
Xu Zong-ben, Wu Yi-rong, Zhang Bing-chen, et al. Sparse radar imaging based on L1/2 regularization theory [J]. Chinese Science Bulletin, 2018, 63(14): 1306-1319. DOI:10.1360/N972018-00372 (0)
[5] 毕辉, 张冰尘, 洪文. 基于RIPless理论的层析SAR成像航迹分布优化方法[J]. 航空学报, 2016, 37(2): 680-687.
Bi Hui, Zhang Bingchen, and Hong Wen. Track distribution optimization method based on TomoSAR via RIPless theory[J]. Acta Aeronautica et Astronautica Sinica, 2016, 37(2): 680-687. DOI:10.7527/S1000-6893.2015.0131 (0)
[6] 侯丽英, 林赟, 洪文. 干涉圆迹SAR的目标三维重建方法研究[J]. 雷达学报, 2016, 5(5): 538-547.
Hou Li-ying, Lin Yun, and Hong Wen. Three-dimensional reconstruction method study based on interferometric circular SAR[J]. Journal of Radars, 2016, 5(5): 538-547. DOI:10.12000/JR16009 (0)
[7] 李烈辰, 李道京, 张清娟. 基于压缩感知的三孔径毫米波合成孔径雷达侧视三维成像[J]. 电子与信息学报, 2013, 35(3): 552-558.
Li Lie-chen, Li Dao-jing, and Zhang Qing-juan. Three-aperture millimeter-wave SAR side-looking three-dimensional imaging based on compressed sensing[J]. Journal of Electronics & Information Technology, 2013, 35(3): 552-558. DOI:10.3724/SP.J.1146.2012.01016 (0)
[8] 张清娟, 李道京, 李烈辰. 连续场景的稀疏阵列SAR侧视三维成像研究[J]. 电子与信息学报, 2013, 35(5): 1097-1102.
Zhang Qing-juan, Li Dao-jing, and Li Lie-chen. Research on continuous scene side-looking 3D imaging based on sparse array[J]. Journal of Electronics & Information Technology, 2013, 35(5): 1097-1102. DOI:10.3724/SP.J.1146.2012.01136 (0)
[9] 田鹤, 李道京, 潘洁, 等. 基于修正均匀冗余阵列正反编码的稀疏阵列SAR下视三维成像处理[J]. 电子与信息学报, 2017, 39(9): 2203-2211.
Tian He, Li Dao-jing, Pan Jie, et al. Downward-looking 3D imaging processing of sparse array SAR based on modified uniformly redundant arrays positive and negative coding[J]. Journal of Electronics & Information Technology, 2017, 39(9): 2203-2211. DOI:10.11999/JEIT161209 (0)
[10] 李道京, 侯颖妮, 滕秀敏, 等. 稀疏阵列天线雷达技术及其应用[M]. 北京: 科学出版社, 2014.
Li Dao-jing, Hou Ying-ni, Teng Xiu-min, et al.. Sparse Array Antenna Radar Imaging Technology and Application[M]. Beijing: Science Press, 2014. (0)
[11] Bao Q, Han K Y, Peng X M, et al. DLSLA 3-D SAR imaging algorithm for off-grid targets based on pseudo-polar formatting and atomic norm minimization[J]. Science China Information Sciences, 2016, 59(6): 062310 DOI:10.1007/s11432-015-5477-5 (0)
[12] Liu Q Y, Zhang Q, Luo Y, et al. Fast algorithm for sparse signal reconstruction based on off-grid model[J]. IET Radar, Sonar & Navigation, 2018, 12(4): 390-397. DOI:10.1049/iet-rsn.2017.0319 (0)
[13] 丁振宇, 谭维贤, 王彦平, 等. 基于波数域子孔径的机载三维SAR偏航角运动误差补偿[J]. 雷达学报, 2015, 4(4): 467-473.
Ding Zhen-yu, Tan Wei-xian, Wang Yan-ping, et al. Yaw angle error compensation for airborne 3-D SAR based on wavenumber-domain subblock[J]. Journal of Radars, 2015, 4(4): 467-473. DOI:10.12000/JR15016 (0)
[14] 杨泽民, 孙光才, 邢孟道, 等. 基于多通道联合自聚焦技术的机载三维SAR运动补偿[J]. 电子与信息学报, 2012, 34(7): 1581-1588.
Yang Ze-min, Sun Guang-cai, Xing Meng-dao, et al. Motion compensation for airborne 3-D SAR based on joint multi-channel auto-focusing technology[J]. Journal of Electronics & Information Technology, 2012, 34(7): 1581-1588. DOI:10.3724/SP.J.1146.2011.01365 (0)
[15] Chen Y C, Li G, Zhang Q, et al. Motion compensation for airborne SAR via parametric sparse representation[J]. IEEE Transactions on Geoscience and Remote Sensing, 2017, 55(1): 551-562. DOI:10.1109/TGRS.2016.2611522 (0)
[16] 刘云龙, 李焱磊, 周良将, 等. 一种机载SAR快速几何精校正算法[J]. 雷达学报, 2016, 5(4): 419-424.
Liu Yun-long, Li Yan-lei, Zhou Liang-jiang, et al. A fast precise geometric calibration method for airborne SAR[J]. Journal of Radars, 2016, 5(4): 419-424. DOI:10.12000/JR16064 (0)
[17] 王力宝, 许稼, 皇甫堪, 等. MIMO-SAR等效相位中心误差分析与补偿[J]. 电子学报, 2009, 37(12): 2688-2693.
Wang Li-bao, Xu Jia, Huangfu Kan, et al. Analysis and compensation of equivalent phase center error in MIMO-SAR[J]. Acta Electronica Sinica, 2009, 37(12): 2688-2693. DOI:10.3321/j.issn:0372-2112.2009.12.015 (0)