«上一篇
文章快速检索     高级检索
下一篇»
  雷达学报   2015, Vol. 4 Issue (5): 527-537  DOI: 10.12000/JR15022
0

引用本文 [复制中英文]

蒋海, 宋红军。一种改进的基于BiDirectional体制的MISO-SAR系统[J]. 雷达学报, 2015, 4(5): xx–xx. DOI: 10.12000/JR15022.
[复制中文]
Jiang Hai, Song Hong-jun. Improved MISO-SAR System Based on BiDirectional Imaging[J]. Journal of Radars, 2015, 4(5): xx–xx. DOI: 10.12000/JR15022.
[复制英文]

通信作者

蒋海 bradley0226@163.com

作者简介

蒋海(1986-),男,籍贯河北石家庄,现为中国科学院电子学研究所博士生,主要研究方向为新体制SAR系统设计和雷达信号处理。E-mail: bradley0226@163.com
宋红军(1968-),男,中国科学院电子学研究所研究员,博士生导师,研究方向为SAR 系统仿真、成像新体制研究、信号处理。E-mail: hjsong@mail.ie.ac.cn

文章历史

收稿:2015-02-11
改回:2015-04-30
网络优先出版:2015-06-17
一种改进的基于BiDirectional体制的MISO-SAR系统
蒋海①② , 宋红军     
中国科学院电子学研究所 北京 100190;
中国科学院大学 北京 100049
摘要:BiDirectional体制是德宇航在2012年提出的一种通过单星单次飞行实现秒级重访的新体制,基本原理是利用相控阵电扫描方式生成双波束天线方向图,同时发射两个脉冲照射方位向前后两块成像区域,将同时接收到的脉冲在多普勒域进行带通滤波分离,并分别成像。该文介绍了一种改进的基于BiDirectional体制的多发单收(Multi Input Single Output,MISO)SAR系统,将传统的双波束同发同收改进为分时先后发射和同时接收,利用发射时较优的方向图抑制方位模糊(AASR),获得了较好的效果。文中给出了频谱分离效果、AASR分析和系统设计流程,给出了改进前后的点目标1 维和2 维成像结果对比,证明了该改进的有效性,最后给出了BiDirectional体制与其它几种单星短时重访体制的对比结果。
关键词BiDirectional SAR     多发单收(MISO)     栅瓣     方位模糊比(AASR)    
Improved MISO-SAR System Based on BiDirectional Imaging
Jiang Hai①② , Song Hong-jun     
Institute of Electronics, Chinese Academy of Sciences, Beijing 100190, China;
University of Chinese Academy of Sciences, Beijing, 100049, China
Abstract: In 2012, the German Aerospace Center (DLR.) proposed a BiDirectional mode that can achieve several seconds of repeated time lags by single star and single flight. Its basic principle includes the generation of a double-beam antenna pattern by electronic beam steering and simultaneous emission of two pulses that irradiate the front and back imaging area. The two pulses, which are simultaneously received will be separated by band-pass filtering in the Doppler domain and imaged, respectively. This paper presents an improved Multi Input Single Output (MISO)-SAR system based on the BiDirectional mode which converts the traditional simultaneous dual beam emitting and receiving into time-division emitting and simultaneous receiving, respectively. This results in an improved emitting antenna pattern owning to the suppression of the Azimuth Ambiguity to Signal Ratio (AASR). The current paper describes the spectrum separation effects, AASR analysis, and the system design process. Therefore, to confirm effectiveness, point target 1-D and 2-D simulation results are compared before and after the improvement. Furthermore, the BiDirectional and other short-term repeated SAR modes are compared.
Key words: BiDirectional SAR     Multi Input Single Output (MISO)     Grating lobe     Azimuth Ambiguity to Signal Ratio (AASR)    
1 引言

近年来随着星载SAR技术的不断发展,SAR的重复访问应用不断受到人们关注,它可广泛应用于动目标检测,地形变化监测和干涉速度测量等[1, 2, 3]。普通SAR卫星的重访周期是小时量级,当需要进行冰山漂移监测、船速测量等应用时[4, 5],重访周期通常需要分钟甚至秒的量级,目前多采用多星星座或者多相位中心天线等方法实现。文献[1]中采用单通道BiDirectional模式,利用平面相控阵天线的主瓣和第1栅瓣,同发同收照射前后向不同区域,该模式首次在德宇航的TerraSAR-X卫星上进行了实测数据获取[6, 7, 8],得到了约5.9 s的重访周期。后来又相继提出了几种利用TerraSAR-X 和TanDEM-X编队飞行的BiDirectional工作模式,并且完成了一系列包括新加坡港口和乌普萨拉冰川等地区的实测数据获取任务[9, 10, 11]。BiDirectional SAR体制的另一个优点是对两个方向同时进行成像可以获得两段分离的多普勒频谱,后续可进行干涉或者动目标检测等应用[12, 13, 14]

传统BiDirectional SAR体制的主要缺点是由于双波束天线方向图的栅瓣导致系统方位模糊比(AASR)恶化,而不得不选取相同天线长度下比条带模式增大近一倍的PRF,或者减少实际处理的方位向多普勒带宽,引起分辨率的下降。以Terra SAR-X的新加坡港口飞行任务为例[6],系统PRF选取5860 Hz,方位向3 dB带宽只有2851 Hz,为了降低系统AASR,实际处理的方位向带宽仅为1995 Hz,导致测绘带宽仅有33 km。

本文介绍了一种改进的基于BiDirectional体制的多发单收(MISO)成像模式,发射时通过相控阵天线电扫描方式调整天线指向,以较短的时间间隔先后发射两个脉冲,分别照射后向和前向区域;接收时通过天线方向图的主瓣和第1栅瓣同时接收两个方向的回波脉冲至同一接收窗中,之后在多普勒域利用带通滤波器将两路回波分开,并分别进行成像和后续的动目标检测应用等。这种工作模式由双发射脉冲和单接收通道组成,因此称为改进的基于BiDirectional体制的MISO-SAR系统。

本文分为6节,第2节介绍改进的基于BiDirectional体制的MISO-SAR系统,第3节介绍该模式的AASR分析以及系统设计,第4节给出了改进后的点目标仿真成像结果,以及与传统BiDirectional SAR体制的对比,第5节给出了BiDirectional体制与另外几种单星短时重访体制的对比结果,第6节总结全文。

2 改进的MISO-SAR系统 2.1 相控阵天线方向图

为了实现天线在方位向和距离向的2维主动扫描,目前的星载SAR通常采用2维平板相控阵天线。由相控阵天线工作原理,其单程方向图为:

$G(\theta ) = {G_{\rm{e}}}(\theta ) \cdot \left| {{1 \over K}\sum\limits_{k = 0}^{K - 1} {{C_k},T \cdot \exp \left( {{\rm{j}}{{2\pi k} \over \lambda }{L_{{\rm{ae}}}}\sin \theta } \right)} } \right|$ (1)
其中,
${G_{\rm{e}}}(\theta ) = {G_0} \cdot \left| {{\mathop{\rm sinc}\nolimits} \left( {\frac{{{L_{{\rm{ae}}}}}}{\lambda }\sin \theta } \right)} \right|$ (2)
Ge(θ)表示天线阵元的方向图,K为T/R组件个数,Lae为天线阵元长度,在天线扫描时为避免栅瓣影响,应满足:
${L_{{\rm{ae}}}} \le \frac{\lambda }{{1 + \left| {\sin {\theta _{s,\max }}} \ \ \ \right|}}$ (3)
θs,max是天线最大扫描角度,以德国Terra SAR-X卫星为例[15, 16],其扫描角度范围为±0.75°,工作频率为9.65 GHz,对应工作波长为0.0311 m,相控阵天线由384个天线单元组成,排布成12(方位向)×32(距离向)的阵列,天线总长度为4.8 m×0.75 m,对应的单元间距为0.4 m×0.022 m[14]。天线主瓣和第1栅瓣的间隔角度可根据式(2)中的相位系数计算得出,如式(4)所示:
$\Delta \theta = \arcsin \frac{\lambda }{{{L_{{\rm{ae}}}}}}$ (4)

代入TerraSAR-X天线参数,得到Dq=4.4°,将天线方位向扫描角度设为2.2°,就可以得到对称的主瓣和第1栅瓣方向图,如图 1所示。

图 1 TerraSAR-X天线方向图仿真(扫描角2.2°) Fig.1 Simulation diagram of TerraSAR-X antenna pattern (steering angle 2.2°)
2.2 改进的几何关系图

在传统的BiDirectional成像模式下,每个脉冲被双波束天线方向图(如图 1所示)发射到方位向的两个不同区域,回波脉冲被相同天线方向图同时接收。而在改进的MISO-SAR模式中,雷达在发射脉冲时,通过相控阵天线电扫描的方法,两个子脉冲使用不同的天线方向图,分时间先后进行发射,照射前后向不同区域,如图 2(a)所示。而在接收时与传统BiDirectional体制相同,回波脉冲被天线主瓣和第1栅瓣同时接收,如图 2(b)所示。

图 2 改进的MISO-SAR体制几何关系图 Fig.2 Improved imaging geometry of MISO-SAR

图 3显示了改进后的方位向天线方向图。要在相同的扫描角度下,使发射天线方向图没有栅瓣,而接收天线方向图有栅瓣:首先需要使相控阵天线阵元间距满足条件${L_{{\rm{ae}}}} \le \lambda /\left( {1 + \left| {\sin {\theta _{s,\max }}} \right|} \right)$,发射天线方向图没有栅瓣;其次,在生成接收天线方向图时,将每n个相邻的阵元移相器设为相同参数,等效增大了阵元间距Lae,使其不满足条件Lae≤l/$\left( {1 + \left| {\sin {\theta _{s,\max }}} \right|} \right)$,从而使接收天线方向图出现栅瓣,在图 3(b)中,n=10。传统BiDirectional体制的收发双程方向图为图 3(b)的平方,而改进后的MISO-SAR双程方向图为图 3(a)图 3(b)的乘积。可以看出,性能良好的发射天线方向图可以抑制接收方向图的栅瓣,图 3中主瓣和第1栅瓣的角度间隔为8.952°,因此方位向上后向和前向波束指向分别为-4.476°和4.476°。主瓣和第1栅瓣的增益相同,均比发射天线方向图的主瓣低约3.7 dB。此外,由于前后向脉冲修改为分时发射,导致接收开窗时间延长,有一定可能性会减小测绘带的宽度,这取决于波位选取的结果。

图 3 MISO-SAR相控阵天线方向图 Fig.3 MISO-SAR phased array antenna pattern
2.3 频谱分离效果

根据TerraSAR-X卫星在传统BiDirectional体制下的实际参数[6],前后向多普勒中心为±19.2 kHz,方位向3 dB带宽2851 Hz进行频谱分离效果仿真,图 4示意了选取不同PRF时,分离前后向波束频谱的效果。3幅图中的PRF分别选取6470 Hz,5792 Hz和5120 Hz。

图 4 不同PRF取值下前后向频谱分离效果 Fig.4 The effects of spectrum separation under different PRFs

在PRF=6470 Hz时,栅瓣被折叠进离主瓣很近的位置,这引起了前后向的频谱混叠,难以将其分开;PRF=5792 Hz时,栅瓣移向右侧,主瓣和栅瓣轮廓可大致在频谱中区分开;PRF=5120 Hz时,栅瓣移到了便于频谱分离非常好的位置,频谱分离可以通过带通滤波器来选出需要处理的频带,其中心频率分别为前后向的多普勒中心频率。

图 4中我们可以看到,频谱的分离效果与PRF不成线性关系,当PRF选为前后中心频率差的约1/(n+0.5)时(n为正整数),可以使栅瓣中心距离主瓣中心最远,从而带来混叠的极小值。本仿真参数中n取7,可得到PRF=19.2k×2/7.5=5120 Hz,即图 4(c)所示的较好效果。在BiDirectional体

制中,PRF只有选在某些离散值附近时才能达到较好的频谱分离效果。

3 AASR分析和系统设计 3.1 AASR分析

对于改进后的MISO-SAR系统,后向和前向区域的AASR可分别进行计算,如式(5),式(6)所示:

${\rm{AAS}}{{\rm{R}}_{\rm{b}}} = {{\sum\limits_{k \ne 0} {\smallint _{ - {B_{\rm{a}}}{\rm{/}}2 + {f_{{\rm{dc}},{\rm{b}}}}}^{{B_{\rm{a}}}{\rm{/}}2 + {f_{{\rm{dc}},{\rm{b}}}}}} \left[ {{G_{{\rm{t}},{\rm{b}}}}(f{_{\rm{a}}} + k \cdot {\rm{PRF}}) + {G_{{\rm{t}},{\rm{f}}}}(f{_{\rm{a}}} + k \cdot {\rm{PRF}})} \right] \cdot {G_{\rm{r}}}(f{_{\rm{a}}} + k \cdot {\rm{PRF}}){\rm{d}}{f_{_{\rm{a}}}}} \over {{\rm{ }}\smallint _{ - {B_{\rm{a}}}/2 + {f_{{\rm{dc}},{\rm{b}}}}}^{{B_{\rm{a}}}/2 + {f_{{\rm{dc}},{\rm{b}}}}}\left[ {{G_{{\rm{t}},{\rm{b}}}}({f_{\rm{a}}}) + {G_{{\rm{t}},{\rm{f}}}}({f_{\rm{a}}})} \right] \cdot {G_{\rm{r}}}({f_{\rm{a}}}){\rm{d}}{f_{\rm{a}}}}}$ (5)
${\rm{AAS}}{{\rm{R}}_{\rm{f}}} = {{\sum\limits_{k \ne 0} {\smallint _{ - {B_{\rm{a}}}{\rm{/}}2 + {f_{{\rm{dc}},{\rm{f}}}}}^{{B_{\rm{a}}}{\rm{/}}2 + {f_{{\rm{dc}},{\rm{f}}}}}} \left[ {{G_{{\rm{t}},{\rm{b}}}}({f_{\rm{a}}} + k \cdot {\rm{PRF}}) + {G_{{\rm{t}},{\rm{f}}}}({f_{\rm{a}}} + k \cdot {\rm{PRF}})} \right] \cdot {G_{\rm{r}}}({f_{\rm{a}}} + k \cdot {\rm{PRF}}){\rm{d}}{f_{\rm{a}}}} \over {\smallint _{ - {B_{\rm{a}}}{\rm{/}}2 + {f_{{\rm{dc}},{\rm{f}}}}}^{{B_{\rm{a}}}{\rm{/}}2 + {f_{{\rm{dc}},{\rm{f}}}}}\left[ {{G_{{\rm{t}},{\rm{b}}}}({f_{\rm{a}}}) + {G_{{\rm{t}},{\rm{f}}}}({f_{\rm{a}}})} \right] \cdot {G_{\rm{r}}}({f_{\rm{a}}}){\rm{d}}{f_{\rm{a}}}{\rm{ }}}}{\rm{ }}$ (6)
其中,fa=2vsinq/r 是多普勒频率,Ba是处理的多普勒带宽,Gr是接收天线方向图,k是模糊阶数,Gt,bGt,f分别代表发射天线后向和前向的方向图,fdc,bfdc,f分别代表后向和前向的多普勒中心频率,对于图 3所示的前后向对称的情况,第1栅瓣是进入主瓣中模糊能量的最主要部分,系统的AASR性能与2.3节所示的频谱分离效果有关。

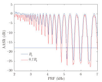
图 5显示了系统AASR与PRF取值的关系,从中可以看到AASR呈现周期性的震荡,而极大值在0 dB左右保持稳定,这对应前后向频谱完全混叠无法分离的情况,有效能量近似等于模糊能量,反映了后向和前向天线方向图的一致性。AASR的极小值随着PRF的增大而减小,这反映了前后向频谱可以通过多普勒带通滤波器进行分离。图 3(b)中的主瓣和第1栅瓣的增益相同,系统具有前后对称性,因此前向和后向区域的AASR相等。与传统BiDirectional体制相比,MISO-SAR体制的AASR性能较优,因为图 2中发射天线方向图抑制了接收天线的栅瓣接收能量。如图 5所示,为了预期的AASR性能(如横线所示的-18 dB),传统BiDirectional体制要选取超过6500 Hz的PRF,而MISO-SAR系统中只需5100 Hz就可以满足要求。与传统SAR成像类似,图 6显示了在相同情况下,降低方位向的多普勒处理带宽,可以提高AASR性能,但会降低方位向分辨率。

图 5 MISO-SAR和BiDirectional模式下的AASR与PRF关系图 Fig.5 AASRs of BiDirectional and MISO-SAR modes under different PRFs

图 6 MISO-SAR模式不同多普勒处理带宽下AASR与PRF关系图 Fig.6 MISO-SAR AASRs of different processed Doppler band under different PRFs
3.2 系统设计

基于BiDirectional体制的MISO-SAR系统设计需求主要包括分辨率、测绘幅宽、模糊、NESZ、斜视角和供电等。需要确定的参数包括发射带宽、PRF的选取,天线俯仰向、方位向尺寸及增益,T/R组件个数、间距和平均功率的确定等。其中,发射带宽和处理的多普勒带宽由需要的几何地距分辨率和方位向分辨率分别决定;天线的T/R组件个数可根据前向和后向斜视角计算,由方位向天线长度可以得到T/R组件的间距;在PRF的选取过程中,首先通过前后向的扫描角度,估计前后向的多普勒中心,根据多普勒带宽确定频谱分离所需的PRF,通过几何关系图计算一组PRF数值,均能避免星下点回波和发射窗干扰,二者折中后得到最终结果,此外,PRF的选取需要在满足系统AASR要求的前提下,尽量降低PRF的取值,以获得尽可能宽的测绘带。由于每一脉冲回波都应落在脉冲间隔内,且应避开较强的星下点回波,因而每一个波位的PRF都是独立选定的;最后由系统所需的NESZ来确定平均功率。

图 7所示,基于BiDirectional体制的MISO-SAR系统设计的核心是PRF的选取,PRF决定了频谱的分离效果和处理的多普勒带宽,最大的难点在于图 5的约束,即为了满足AASR的指标要求,PRF只能在某些离散的数值附近选取,如果与星下点回波或接收窗冲突,则需要进行反复的修改。

图 7 基于BiDirectional体制的MISO-SAR系统设计流程 Fig.7 System design process of MISO-SAR mode based on BiDirectional mode
4 原始数据处理和仿真

为了验证改进的BiDirectional体制MISO-SAR模式的有效性,本节进行点目标仿真对比,仿真参数如表 1所示。

表 1 MISO-SAR仿真参数 Tab. 1 Simulation parameters of MISO-SAR mode

在相同天线长度情况下,图 8图 10显示了改进的MISO-SAR体制对方位向不同的两个点目标成像结果,图 9图 11是采用相同参数,在传统BiDirectional体制下的成像结果。在图 8中PRF取5120 Hz,两个点目标的多普勒中心分别为-3746 Hz和3746 Hz,可较好地被多普勒带通滤波器分离并进行脉冲压缩。图 10中PRF选择5490 Hz时,两段频谱无法被完整分离开,而且脉冲压缩结果较差,图 10(c)中的方位模糊已可被判为弱小目标。与图 9图 11进行对比,可明显看出改进的MISO-SAR体制比传统BiDirectional体制具有更好的频谱分离度,以及更好的AASR性能。

图 8 PRF选择5120 Hz时MISO-SAR体制下仿真结果 Fig.8 Simulation results of MISO-SAR mode,PRF=5120 Hz
图 9 PRF选择5120 Hz时传统BiDirectional体制下仿真结果 Fig.9 Simulation results of traditional BiDirectional mode,PRF=5120 Hz
图 10 PRF选择5490 Hz时MISO-SAR体制下仿真结果 Fig.10 Simulation results of MISO-SAR mode,PRF=5490 Hz
图 11 PRF选择5490 Hz时传统BiDirectional体制下仿真结果 Fig.11 Simulation results of traditional BiDirectional mode,PRF=5490 Hz

同时给出在上述两种PRF取值在改进的MISO-SAR体制下的2维成像结果对比。如图所示,图 12为PRF选择5120 Hz时的结果,图 13为PRF选择5490 Hz时的结果,图 13(a)为原始数据实部图,图 13(b)为多普勒频谱分离结果,图 13(c)为前向的成像结果。可以看出,图 12中达到了较好的频谱分离效果,因此得到了较好的成像效果;而图 13中PRF不合适导致频谱混叠严重,虽然针对点目标完成了成像,但混叠的频谱能量在下边区域造成了严重的模糊,无法应用于场景目标的成像。传统BiDirectional体制下的2维仿真结果与其类似,不再赘述。

图 12 PRF选择5120 Hz时BiDirectional体制下2维仿真结果 Fig.12 2-D simulation results of BiDirectional mode,PRF=5120 Hz
图 13 PRF选择5490 Hz时BiDirectional体制下2维仿真结果 Fig.13 2-D simulation results of BiDirectional mode,PRF=5490 Hz
5 与其它单星重访体制的对比

除了本文讨论的BiDirectional体制外,还有几种其它形式的单星短时重访SAR体制,本节对这几种体制进行研究总结,并与BiDirectional体制进行对比。

5.1 条带多视

单星短时重访的实现可以采用将方位向视角跨度分割为nL份多视视角的方法。文献[17]中叙述了此方法用于方位向动目标测速的原理。图 14左边显示了单视条带SAR的合成孔径时间,右边显示了方位向两视处理后,降低后的每视合成孔径时间Tint,m,在nL视数下,波束边沿处(即波束最前沿和最后沿)实现的方位向重访间隔tlag,m为:

${t_{{\rm{lag,m}}}} = \frac{{{r_0} \cdot \Delta {\theta _{3\,{\rm{dB}}}}}}{{{V_{\rm{g}}}}} \cdot \left( {1 - \frac{1}{{{n_L}}}} \right)$ (7)
图 14 条带单视和条带多视 Fig.14 Sing-look stripmap and 2-look stripmap acquisition

在${n_L} \to \infty $时,理论上的最大重访时间间隔tmax为:

${t_{{\rm{max}}}} = \frac{{{r_0} \cdot \Delta {\theta _{3\,{\rm{dB}}}}}}{{{V_{\rm{g}}}}} = {T_{{\mathop{\rm int}} }}$ (8)

如果按照TerraSAR-X新加坡港口飞行任务中的参数设置[18]:最大理论重访时间间隔tmax为0.44 s,两视时重访时间间隔为0.22 s。条带多视的缺点是相对较小的重访时间间隔,以及多视数共享合成孔径时间,降低了方位向分辨率。定义图像重叠时间Tovl 为前后向图像的重叠区域在方位向上的长度。在条带多视体制下,Tovl,m不被几何关系图所限制,等于完整获取的图像长度。

5.2 顺次前/后斜视条带

另一种单星短时重访体制可以通过先前斜视条带扫描,接后斜视条带扫描来实现,该体制可称为顺次前/后斜视条带体制(Sequential)。如图 15所示,前后斜视角度需要限定在一个范围内,在TerraSAR-X卫星上,前斜视角范围${\psi _{{\rm{fore}}}}$和后斜视角范围${\psi _{{\rm{aft}}}}$均被限制在0.75°。此种体制下的重访时间间隔为:

${t_{{\rm{lag}},{\rm{s}}}} = \frac{{{r_0} \cdot ({\psi _{{\rm{fore}}}} - {\psi _{{\rm{aft}}}} \ )}}{{{V_{\rm{g}}}}}$ (9)
图 15 顺次前/后斜视条带法 Fig.15 Sequential fore/aft stripmap acquisition

根据TerraSAR-X的参数设置计算可得tlag,s为2 s。图像重叠时间为:

${T_{{\rm{ovl}},{\rm{s}}}} = \frac{{{r_0} \cdot ({\psi _{{\rm{fore}}}} - {\psi _{{\rm{aft}}}} - \Delta {\theta _{3\,{\rm{dB}}}} \ )}}{{{V_{\rm{g}}}}}$ (10)

在新加坡港口示例中的图像重叠时间Tovl,s 为1.6 s,对应11.1 km地距。本体制的缺点是重叠图像长度受限,而且重访时间间隔受扫描斜视角度的范围限制。优势是保持了原有条带SAR的特点和方位向分辨率。

5.3 绳针式前/后斜视条带

克服顺次前/后斜视条带体制中图像重叠限制的办法是采用绳针式(Toggling)前/后斜视条带体制。图 16显示了绳针式前/后斜视条带体制的原理,飞行方向为从左向右,红色区域采用前斜视,蓝色区域采用后斜视,不断交替进行数据采集。图像重叠区域等于图像采集长度,不受限制。绳针式前/后向条带体制下的时间间隔tlag,t 等于顺次前/后斜视条带体制下的tlag,s,在新加坡示例参数下的tlag,t也为2 s。该体制的缺点是相对于条带SAR体制,PRF扩大了2倍。

图 16 绳针式前/后斜视条带法 Fig.16 Toggling fore/aft stripmap acquisition
5.4 几种重访体制的对比

表 2总结了这几种不同的短时重访SAR体制,具体数值均为通过新加坡港口飞行参数计算得出。

表 2 几种短时重访SAR体制对比 Tab. 2 Comparison of some short-term repetition SAR modes

表 2可以看出,BiDirectional和改进的MISO体制的斜视角范围、重访时间间隔都是最大的,有助于进行速度测量、动目标检测等应用,图像重叠区无限制,方位分辨率不降低。与条带SAR作比较,BiDi/MISO体制的信噪比由于扫描角的原因(图 1),主瓣和栅瓣增益均降低了3.7 dB;在顺次和绳针式前/后斜视条带体制下,扫描角度在±0.75°时,增益降低0.5 dB;两视条带体制下,SNR不变。注意到,PRF翻倍以后,因为工作周期保持不变,绳针前/后斜视条带体制和BiDi/MISO体制的SNR分别又降低了3 dB,分别为-3.5 dB和-6.7 dB。

6 总结

本文提出了一种改进的基于BiDirectional体制的MISO-SAR系统,可在单颗卫星上实现秒级的重访应用。通过相控阵天线电扫描方式分时发射两个子脉冲照射不同的方位向区域,采用同一接收窗混叠接收两路回波,在多普勒域进行带通滤波分离,进而分别成像和后续处理。与传统的BiDirectional体制比较,改进的MISO-SAR体制利用较好的发射方向图压制了接收方向图的栅瓣,在相同情况下具有更好的频谱分离效果和更优的AASR性能。该体制可以用于港口船只检测和船速测量等,对同一地区通过不同入射角的两次成像可以获得更多地物细节,有助于目标识别和分类。

参考文献
[1] Frasier S J and Camps A J. Dual-beam interferometry for ocean surface current vector mapping[J]. IEEE Transactions on Geoscience and Remote Sensing, 2001, 39(2): 401-414.(2)
[2] D’Aria D, De Zan F, Giudici D, et al.. Burst-mode SARs for wide-swath surveys[J]. Canadian Journal of Remote Sensing, 2007, 33(1): 27-38.(1)
[3] Xu Wei and Deng Yun-kai. Investigation on electronic azimuth beam steering in the spaceborne SAR imaging modes[J]. Journal of Electromagnetic Waves and Applications, 2011, 25: 2076-2088.(1)
[4] Baumgartner S V and Krieger G. Large along-track baseline SAR-GMTI: first results with the TerraSAR-X/TanDEM-X satellite constellation[C]. IEEE Geoscience and Remote Sensing Symposium, Vancouver, Canada, 2011: 1319-1322.(1)
[5] Mittermayer J, Wollstadt S, Baumgartner S, et al.. Approach to velocity and acceleration measurement in the Bi-Directional SAR imaging mode[C]. IEEE Geoscience and Remote Sensing Symposium, Munich, Germany, 2012: 5618-5621.(1)
[6] Mittermayer J, Wollstadt S, Prats-Iraola P, et al.. Bidirectional SAR imaging mode[J]. IEEE Transactions on Geoscience and Remote Sensing, 2013, 51(1): 601-614.(3)
[7] Mittermayer J, Schättler B, and Younis M. TerraSAR-X commissioning phase execution summary[J]. IEEE Transactions on Geoscience and Remote Sensing, 2010, 48(2): 649-659.(1)
[8] Suchandt S, Runge H, Breit H, et al.. Automatic extraction of traffic flows using TerraSAR-X alongtrack interferometry[J]. IEEE Transactions on Geoscience and Remote Sensing, 2010, 48(2): 807-819.(1)
[9] Hueso Gonzalez J, Bachmann M, and Hofmann H. TanDEM-X commissioning phase status[C]. IEEE Geoscience and Remote Sensing Symposium, Honolulu, Hawaii, 2010: 2633-2635.(1)
[10] Mittermayer J, Younis M, Metzig R, et al.. TerraSAR-X system performance characterization and verification[J]. IEEE Transactions on Geoscience and Remote Sensing, 2010, 48(2): 660-676.(1)
[11] Mittermayer J and Runge H. Conceptual studies for exploiting the TerraSAR-X dual receive antenna[C]. IEEE Geoscience and Remote Sensing Symposium, Toulouse, France, 2003: 2140-2142.(1)
[12] Romeiser R, Suchandt S, Runge H, et al.. First analysis of TerraSAR-X along-track InSAR-derived current fields[J]. IEEE Transactions on Geoscience and Remote Sensing, 2010, 48(2): 820-829.(1)
[13] Krieger G, Moreira A, Fiedler H, et al.. TanDEM-X: a satellite formation for high resolution SAR interferometry[J]. IEEE Transactions on Geoscience and Remote Sensing, 2007, 45(11): 3317-3341.(1)
[14] Bamler R and Eineder M. Accuracy of differential shift estimation by correlation and split-bandwidth interferometry for wideband and delta-k SAR systems[J]. IEEE Geoscience and Remote Sensing Letters, 2005, 2(2): 151-155.(2)
[15] Stangl M, Werninghaus R, and Zahn R. The TerraSAR-X active phased array antenna[C]. IEEE International Symposium on Phased Array Systems and Technology, Boston, USA, 2003: 70-75.(1)
[16] Suess M, Riegger S, Pitz W, et al.. TERRASAR-X-Design and performance[C]. Proceedings of EUSAR, Koln, Germany, 2002: 133-136.(1)
[17] Ouchi K. On the multilook images of moving targets by synthetic aperture radars[J]. IEEE Transactions on Antennas and Propagation, 1985, 33(8): 823-827.(1)
[18] Prats P, Marotti L, Wollstadt S, et al.. Investigations on tops interferometry with TerraSAR-X[C]. IEEE Geoscience and Remote Sensing Symposium, Honolulu, Hawaii, 2010: 2629-2632.(1)